PRAVILNIK O ENERGETSKOJ EFIKASNOSTI ZGRADA("Sl. glasnik RS", br. 61/2011) |
Ovim pravilnikom bliže se propisuju energetska svojstva i način izračunavanja toplotnih svojstava objekata visokogradnje, kao i energetski zahtevi za nove i postojeće objekte.
Odredbe ovog pravilnika ne primenjuju se na: zgrade za koje se ne izdaje građevinska dozvola; zgrade koje se grade na osnovu privremene građevinske dozvole, kao i zgrade koje se grade na osnovu građevinske dozvole za pripremne radove; radionice, proizvodne hale, industrijske zgrade koje se ne greju i ne klimatizuju; zgrade koje se povremeno koriste tokom zimske i letnje sezone (manje od 25% vremena trajanja zimske odnosno letnje sezone).
Pojedini izrazi upotrebljeni u ovom pravilniku imaju sledeće značenje:
1) automatika i kontrola sistema zgrade je skup opreme, softvera i inženjerskih servisa za automatsku kontrolu, nadzor, optimizaciju, intervencije i menadžment tehničkih sistema u zgradi, a u cilju obezbeđivanja energetski efikasnog, ekonomičnog i sigurnog upravljanja instalacijama zgrade;
2) broj izmena vazduha, n [h-1] je časovni broj izmena unutrašnjeg vazduha spoljnim vazduhom, obračunat za zapreminu zgrade unutar termičkog omotača V [m3];
3) bruto razvijena građevinska površina jeste zbir površina svih nadzemnih etaža zgrade, merenih u nivou podova svih delova objekta - spoljne mere obodnih zidova (sa oblogama, parapetima i ogradama). U bruto građevinsku površinu ne računaju se površine u okviru sistema dvostrukih fasada, staklenika, površine koje čine termički omotač zgrade u bruto razvijenu građevinsku površinu ne obračunava se kod heterogenih zidova debljina termoizolacije preko 5 cm, a kod homogenih zidova debljina zida veća od 30 cm uz postizanje, ovim pravilnikom propisanih uslova energetske efikasnosti zgrada;
4) vazdušni komfor predstavlja uslove kojima se obezbeđuje potrebna količina čistog vazduha u zgradi odnosno kojima se obezbeđuje kvalitet vazduha koji je bez rizika po zdravlje korisnika;
5) godišnja emisija ugljen dioksida, CO2 [kg/a] je masa emitovanog ugljen dioksida u spoljnu sredinu tokom jedne godine, koja nastaje kao posledica energetskih potreba zgrade;
6) godišnja isporučena energija Ean,del [kWh/a] je energija dovedena tehničkim sistemima zgrade tokom jedne godine za pokrivanje energetskih potreba za grejanje, hlađenje, ventilaciju, potrošnu toplu vodu, rasvetu i pogon pomoćnih sistema;
7) godišnja potrebna energija za ventilaciju, Qan,V [kWh/a] je računski određena potrebna energija za pripremu vazduha sistemom mehaničke (prinudne) ventilacije, delimične klimatizacije ili klimatizacije tokom jedne godine za održavanje uslova komfora u zgradi;
8) godišnja potrebna energija za zagrevanje sanitarne tople vode, Qan,W [kWh/a] je računski određena količina energije koju je potrebno obezbediti sistemu za pripremu STV tokom jedne godine;
9) godišnja potrebna energija za hlađenje zgrade, Qan,C [kWh/a] je računski određena potrebna količina toplote koju rashladnim sistemom treba odvesti iz zgrade tokom godine da bi se obezbedilo održavanje unutrašnjih projektnih temperatura;
10) godišnja potrebna energija za osvetljenje, EL [kWh/a] je računski određena količina energije koju treba obezbediti tokom jedne godine za osvetljenje u zgradi;
11) godišnja potrebna primarna energija koja se koristi u zgradi, Qan,PR [kWh/a] jeste zbir primarnih energija potrebnih za rad svih ugrađenih tehničkih sistema za KGH i pripremu STV u periodu jedne godine;
12) godišnja potrebna toplotna energija, Qan,tot [kWh/a] je zbir godišnje potrebne toplotne energije i godišnjih toplotnih gubitaka sistema za grejanje i pripremu potrošne tople vode u zgradi;
13) godišnja potrebna toplota za grejanje zgrade, Qan,H [kWh/a] je računski određena količina toplote koju grejnim sistemom treba dovesti u zgradu tokom godine da bi se obezbedilo održavanje unutrašnjih projektnih temperatura;
14) godišnji gubici sistema hlađenja, Qan,Cls [kWh/a] su gubici energije sistema hlađenja tokom jedne godine koji se ne mogu iskoristiti za održavanje unutrašnje temperature u zgradi;
15) godišnji toplotni gubici sistema grejanja, Qan,Hls [kWh/a] su gubici energije sistema grejanja tokom jedne godine koji se ne mogu iskoristiti za održavanje unutrašnje temperature u zgradi;
16) godišnji toplotni gubici sistema za pripremu sanitarne tople vode, Qan,Wls [kWh/a] su gubici energije sistema za pripremu potrošne tople vode tokom jedne godine koji se ne mogu iskoristiti za zagrevanje vode;
17) granična površina A [m2] jeste površina termičkog omotača (spoljne mere) preko koga se vrši razmena toplote;
18) grejana zapremina zgrade Ve [m3] je zapremina obuhvaćena termičkim omotačem zgrade;
19) dvostruka fasada predstavlja sistem (u funkciji tehničke instalacije) koji se sastoji od dve nezavisne termičke opne između kojih struji vazduh;
20) elaborat energetske efikasnosti (u daljem tekstu: elaborat EE) je elaborat koji obuhvata proračune, tekst i crteže, izrađen u skladu sa ovim pravilnikom i sastavni je deo tehničke dokumentacije koja se prilaže uz zahtev za izdavanje građevinske dozvole;
21) električna snaga uređaja KGH, Pel [kW] je zbir nazivnih (priključnih) električnih snaga uređaja za grejanje, hlađenje, ventilaciju i klimatizaciju u zgradi (pumpe, ventilatori, kompresori, regulatori i sl.) u zimskom režimu rada, sa indeksom (H - eng. heating), ili letnjem režimu rada, sa indeksom (C - eng. cooling);
22) element zgrade jeste tehnički sistem zgrade ili deo omotača zgrade;
23) energetska sanacija zgrade jeste izvođenje građevinskih i drugih radova na postojećoj zgradi, kao i popravka ili zamena uređaja, postrojenja, opreme i instalacija istog ili manjeg kapaciteta, a kojima se ne utiče na stabilnost i sigurnost objekta, ne menjaju konstruktivni elementi, ne utiče na bezbednost susednih objekata, saobraćaja, ne utiče na zaštitu od požara i zaštitu životne sredine, ali kojima može da se menja spoljni izgled uz potrebne saglasnosti, u cilju povećanja energetske efikasnosti zgrade;
24) energetska svojstva zgrade podrazumevaju proračunatu ili izmerenu količinu energije koja je potrebna kako bi bile zadovoljene energetske potrebe koje odgovaraju uobičajenom načinu korišćenja zgrade i koje uključuju pre svega energiju za grejanje, hlađenje, ventilaciju, pripremu STV i osvetljenje;
25) energetski efikasna zgrada je zgrada koja troši minimalnu količinu energije uz obezbeđenje potrebnih uslova komfora u skladu sa ovim pravilnikom;
26) energetski pasoš zgrade je dokument koji prikazuje energetska svojstva zgrade i koji ima propisani sadržaj i izgled prema Pravilniku o energetskoj sertifikaciji zgrada, a izdaje ga ovlašćena organizacija koja ispunjava propisane uslove za izdavanje a o energetskim svojstvima objekata;
27) energija iz obnovljivih izvora predstavlja energiju iz obnovljivih nefosilnih izvora, kao što su energija vetra, Sunčevog zračenja, geotermalna energija, energija podzemnih i površinskih voda, biomasa i ostalo;
28) zapreminski gubici toplote, qV [W/m3] su zbir transmisionih i ventilacionih gubitaka po jedinici zapremine grejanog prostora zgrade i jednaki su specifičnom toplotnom protoku po jedinici zapremine, koji pri projektnim uslovima odaju uređaji za grejanje u prostorijama;
29) zvučni komfor predstavlja uslove u kojima je nivo buke u prostoriji takav da ne izaziva osećaj neprijatnosti;
30) zgrada je građevina s krovom i zidovima u kojoj se koristi energija radi ostvarivanja određenih termičkih parametara sredine, namenjena boravku ljudi, odnosno smeštaju životinja, biljaka i stvari, obavljanju neke delatnosti, a sastoji se od građevinskih elemenata, tehničkih sistema i uređaja i ugrađene opreme; zgradama se smatraju i delovi zgrade koji su projektovani ili namenjeni za zasebno korišćenje i odvojeni termičkim omotačem od ostalih delova zgade;
31) zgrada sa više energetskih zona je zgrada koja ima više posebnih delova za koje je, shodno ovom pravilniku, potrebno izraditi posebne energetske sertifikate (u daljem tekstu: energetske pasoše) i to:
(1) koja se sastoji od delova koji čine tehničko-tehnološke i funkcionalne celine, koje imaju različitu namenu pa shodno tome imaju mogućnost odvojenih sistema grejanja i hlađenja ili se razlikuju po unutrašnjoj projektnoj temperaturi za više od 4°C,
(2) kod koje je više od 10% neto površine zgrade u kojoj se održava kontrolisana temperatura druge namene,
(3) kod koje delovi zgrade, koji su tehničko-tehnološke i funkcionalne celine, imaju različite termotehničke sisteme i/ili bitno različite režime korišćenja termotehničkih sistema;
32) indeks izgrađenosti parcele jeste odnos (količnik) bruto građevinske površine izgrađene ili planirane zgrade i ukupne površine građevinske parcele. U indeks izgrađenosti parcele se ne računaju površine pod staklenicima, duplim fasadama, slojevima termoizolacije debljim od 5 cm pod uslovom da se proračunom dokumentuje poboljšanje energetskih karakteristika postojeće zgrade primenom mera iz ovog pravilnika;
33) indeks zauzetosti parcele jeste odnos gabarita horizontalne projekcije izgrađene ili planirane zgrade i ukupne površine građevinske parcele izražene u procentima. U indeks zauzetosti parcele se ne računaju površine pod staklenicima, duplim fasadama i slojevima termoizolacije debljim od 5 cm pod uslovom da se proračunom dokaže poboljšanje energetskih karakteristika postojeće zgrade primenom ovih mera;
34) koeficijent ventilacionih gubitaka toplote, HV [W/K] su ventilacioni gubici toplote kroz omotač zgrade podeljeni razlikom temperatura unutrašnje i spoljne sredine, određene prema SRPS EN ISO 13790;
35) koeficijent grejanja εH, (COP - eng. coefficient of performance), predstavlja odnos između dobijene toplotne energije i uložene energije (utrošene električne energije) ((kWh)H/(kWh)E), kada rashladne mašine ili generatori hlađenja rade kao toplotne pumpe (obrnut proces);
36) koeficijent hlađenja εC je odnos odnos između energije hlađenja i uložene pogonske energije;
37) koeficijent transmisionih gubitaka toplote, HT [W/K] su transmisioni gubici toplote kroz omotač zgrade podeljeni razlikom temperatura unutrašnje i spoljne sredine, određene prema SRPS EN ISO 13790;
38) kratkotrajno korišćenje zgrade podrazumeva korišćenje zgrade kraće od 25% projektovanog perioda korišćenja za grejanje ili hlađenje;
39) nova zgrada je zgrada projektovana u skladu sa ovim pravilnikom;
40) obimnija obnova jeste izvođenje građevinskih i drugih radova na adaptaciji ili sanaciji na postojećoj zgradi kada je: ukupna predračunska vrednost radova na obnovi veća od 25% vrednosti zgrade, isključujući vrednost zemljišta na kojoj se zgrada nalazi; više od 25% površine omotača zgrade podrvgnuto energetskoj sanaciji uz poštovanje oblikovne i funkcionalne celovitosti delova zgrade;
41) omotač zgrade čine svi elementi zgrade koji razdvajaju unutrašnji od spoljašnjeg prostora;
42) pasivna zgrada je zgrada u kojoj godišnja potrošnja energije za grejanje po jedinici korisne površine ne prelazi 15 kWh/m2;
43) period grejanja, HD (eng. heating days) je broj dana od početka do kraja grejanja zgrade. Početak i kraj grejanja za svaku lokaciju određen je temperaturom granice grejanja, koja je obuhvaćena pri određivanju broja Stepen dana HDD ("Heating degree days");
44) pomoćni sistem jeste skup tehničke opreme i uređaja koje koriste termotehnički sistemi zgrade (KGH i STV), a kojima je potrebno napajanje električnom energijom;
45) postojeća zgrada je zgrada izgrađena na osnovu građevinske dozvole ili drugog odgovarajućeg akta, kao i svaka druga zgrada koja se koristi u skladu sa Zakonom o planiranju i izgradnji;
46) primarna energija predstavlja energiju iz obnovljivih i neobnovljivih izvora koja nije pretrpela bilo kakvu konverziju ili proces transformacije;
47) referentne vrednosti date ovim pravilnikom su vrednosti u odnosu na koje se vrši poređenje izračunatih vrednosti energetskih svojstava zgrada;
48) referentni klimatski podaci jesu skup odabranih klimatskih parametara koji su karakteristični za neko geografsko područje;
49) sanitarna topla voda je topla voda dobijena grejanjem vode iz vodovodne mreže;
50) svetlosni komfor predstavlja uslove koji omogućavaju dobro viđenje, tačno i brzo opažanje uz minimalno naprezanje očiju;
51) spoljna projektna temperatura, θe [°C] je proračunska temperatura spoljnog vazduha za izračunavanje toplotnih gubitaka i toplotnog opterećenja sa indeksima: zimska (H) i letnja (C);
52) staklenik je zastakljeni korisni deo zgrade koji predstavlja pasivni prijemnik sunčeve energije;
53) stvarni klimatski podaci jesu klimatski podaci dobijeni statističkom obradom prema meteorološkoj stanici najbližoj lokaciji zgrade;
54) termička masa predstavlja delove termičkog omotača i strukture zgrade od materijala i u debljini koji omogućavaju akumulaciju toplote;
55) termički omotač zgrade čine svi elementi zgrade koji razdvajaju grejani od negrejanog dela zgrade, odnosno, celine zgrade sa različitim uslovima komfora ili delova zgrade kod kojih dolazi do prekida grejanja usled privremenog nekorišćenja nekog prostora;
56) termotehnički sistem zgrade obuhvata sve potrebne instalacije, postrojenja i opremu za klimatizaciju, grejanje i hlađenje (u daljem tekstu: KGH sistemi), kao i sistem za pripremu STV;
57) termičko zoniranje zgrade obuhvata grupisanje pojedinih delova zgrade u skladu sa njihovim potrebama za održavanjem određenih termičkih uslova;
58) tehnički sistem zgrade čine sve potrebne instalacije, postrojenja i oprema koja se ugrađuje u zgradu ili samostalno izvodi i namenjeni su za grejanje, hlađenje, ventilaciju, klimatizaciju, pripremu sanitarne tople vode (u daljem tekstu: STV), osvetljenje i proizvodnju električne energije (kogeneracija i fotonaponski sistemi);
59) tehničko-tehnološka i funkcionalna celina zgrade predstavlja poseban deo zgrade koji je projektovan tako da se koristi nezavisno od ostalih posebnih delova zgrade;
60) toplotni komfor predstavlja psihološko stanje koje odgovara ugodnom osećaju toplotnih uslova u prostoru, odnosno, kojima je postignuta toplotna ravnoteža organizma. Objektivni parametri toplotnog komfora su: temperatura vazduha, srednja temperatura zračenja površina, brzina kretanja vazduha i vlažnost vazduha;
61) unutrašnja projektna temperatura, θi [°C] je zadata temperatura unutrašnjeg vazduha za izračunavanje toplotnih gubitaka i toplotnog opterećenja sa indeksima: zimska zimska (H) i letnja (C);
62) uslovi komfora su svi oni uslovi u zgradi (termički, vazdušni, vizuelni i zvučni) u kojima se neka osoba oseća ugodno;
63) faktor oblika ƒo = A/Ve, (m-1), je odnos između površine termičkog omotača zgrade (spoljne mere) i njime obuhvaćene bruto zapremine zgrade;
64) faktor dnevne svetlosti (eng. daylight factor) je odnos osvetljenosti prirodnim svetlom u prostoriji i nivoa osvetljenosti spolja, izražen u procentima.
Ovaj pravilnik primenjuje se na:
1) izgradnju novih zgrada;
2) rekonstrukciju, dogradnju, obnovu, adaptaciju, sanaciju i energetsku sanaciju postojećih zgrada;
3) rekonstrukciju, adaptaciju, sanaciju, obnovu i revitalizaciju kulturnih dobara i zgrada u njihovoj zaštićenoj okolini sa jasno određenim granicama katastarskih parcela i kulturnih dobara, upisanih u Listu svetske kulturne baštine i objekata u zaštićenim područjima, u skladu sa aktom o zaštiti kulturnih dobara i sa uslovima organa, odnosno organizacije nadležne za poslove zaštite kulturnih dobara;
4) zgrade ili delove zgrada koje čine tehničko-tehnološku ili funkcionalnu celinu, a koje se prodaju ili daju u zakup.
Energetska svojstva i načini izračunavanja toplotnih svojstava utvrđuju se za sledeće kategorije zgrada:
1) stambene zgrade sa jednim stanom;
2) stambene zgrade sa dva ili više stanova;
3) upravne i poslovne zgrade;
4) zgrade namenjene obrazovanju i kulturi;
5) grade namenjene zdravstvu i socijalnoj zaštiti;
6) zgrade namenjene turizmu i ugostiteljstvu;
7) zgrade namenjene sportu i rekreaciji;
8) zgrade namenjene trgovini i uslužnim delatnostima;
9) zgrade mešovite namene;
10) zgrade za druge namene koje koriste energiju.
Energetska efikasnost zgrade je ostvarena ako su ispunjena sledeća svojstva zgrade:
1) obezbeđeni minimalni uslovi komfora sadržani u Prilogu 5 - Uslovi komfora, koji je odštampan uz ovaj pravilnik i čini njegov sastavni deo;
2) potrošnja energije za grejanje, hlađenje, pripremu tople sanitarne vode, ventilaciju i osvetljenje zgrade ne prelazi dozvoljene maksimalne vrednosti po m2 sadržane u Prilogu 6 - Metodologija određivanja energetskih performansi zgrada: određivanje godišnje potrebne toplote za grejanje, ukupne godišnje finalne i primarne energije, godišnje emisije CO2, referentni klimatski podaci i preporučene vrednosti ulaznih parametara za proračun, koji je odštampan uz ovaj pravilnik i čini njegov sastavni deo.
Kod obezbeđivanja efikasnog korišćenja energije u zgradama uzima se u obzir vek trajanja zgrade, klimatski uslovi lokacije, položaj i orijentacija zgrade, njena namena, uslovi komfora, materijali i elementi strukture zgrade i omotača, ugrađeni tehnički sistemi i uređaji, kao i izvori energije i kogeneracija i mogućnost za korišćenje obnovljivih izvora energije.
Za postizanje energetske efikasnosti zgrada definiše se:
1) orijentacija i funkcionalni koncept zgrade;
2) oblik i kompaktnost zgrade (faktor oblika);
3) toplotno zoniranje zgrade;
4) način korišćenja prirodnog osvetljenja i osunčanja;
5) optimizacija sistema prirodne ventilacije;
6) optimizacija strukture zgrade;
7) uslovi za korišćenje pasivnih i aktivnih sistema;
8) uslovi za korišćenje voda;
9) parametri za postizanje energetske efikasnosti postojećih i novoprojektovanih zgrada.
Parametri iz stava 1. ovog člana sadržani su u Prilogu 4 - Tehnički zahtevi za postizanje energetske efikasnosti zgrada, koji je odštampan uz ovaj pravilnik i čini njegov sastavni deo.
Uz ispunjenje energetske efikasnosti zgrade potrebno je zadovoljiti i sve uslove komfora:
1) vazdušni komfor;
2) toplotni komfor;
3) svetlosni komfor;
4) zvučni komfor.
Uslovi iz stava 1. ovog člana sadržani su u Prilogu 5.
Higrotermička svojstva građevinskih materijala sadržana su u Tabeli 3.4.1.2 - Higrotermičke osobine građevinskih materijala i proizvoda Priloga 3 - Toplotna zaštita i difuzija vodene pare, koji je odštampan uz ovaj pravilnik i čini njegov sastavni deo.
Za potrebe proračuna difuzije vodene pare može da se koristi i srpski standard SRPS EN ISO 10456.
Toplotna, parodifuzijska i svojstva nepropustljivosti za vazduh građevinskih elemenata sadržana su u Prilogu 3.
Najveće dopuštene vrednosti koeficijenata prolaza toplote, Umax [W/(m2xK)], elemenata termičkog omotača zgrade, odnosno elemenata između dve susedne termičke zone, sadržane su u Tabeli 3.4.1.3 - Najveće dozvoljene vrednosti koeficijenta prolaza toplote, Umax [W/(m2xK)], za elemente termičkog omotača zgrade Priloga 3.
Ove vrednosti se primenjuju i na unutrašnje građevinske konstrukcije koje se graniče sa prostorijama u kojima je temperatura vazduha pri projektnoj temperaturi spoljašnjeg vazduha (period grejanja) niža od 12 °C.
Način provere toplotne akumulativnosti sadržan je u Tački 3.2 - Toplotna akumulativnost Priloga 3.
Način provere difuzije vodene pare kroz građevinske elemente sadržan je u Tačka 3.3 - Difuzija vodene pare Priloga 3.
Toplotna svojstva i svojstva nepropustljivosti za vazduh zgrade ili dela zgrade koja se proveravaju su:
1) koeficijent transmisionog gubitka toplote, HT [W/K];
2) koeficijent ventilacionog gubitka toplote, HV [W/K];
3) specifični transmisioni toplotni gubitak, H'T [W/(m2xK)];
4) ukupni zapreminski gubici toplote, qV [W/m3];
5) efektivna toplotna akumulativnost zgrade, C [Wh/K];
6) broj izmena vazduha zgrade, ili dela zgrade, n [1/h].
Pri projektovanju termotehničkih sistema potrebno je predvideti elemente sistema grejanja, klimatizacije i ventilacije sa visokim stepenom korisnosti datim u Prilogu 6 i Prilogu 7 - Energetski pokazatelji za rashladne agregate koji se koriste za potrebe hlađenja u zgradama, koji je odštampan uz ovaj pravilnik i čine njegov sastavni deo.
Sisteme centralnog grejanja potrebno je projektovati i izvoditi tako da bude omogućena centralna i lokalna regulacija i merenje potrošnje energije za grejanje.
Kotlove i cevnu mrežu sistema centralnog grejanja je potrebno projektovati i izvoditi tako da stepen korisnosti odgovara vrednostima sadržanim u Prilogu 6.
Cirkulacione pumpe razgranatih sistema, kod kojih se primenjuje kvantitativna regulacija potrebno je opremiti kontrolerom broja obrtaja povezanim sa sistemom kontrole prema stvarnim zahtevima prostora.
Sistem mehaničke pripreme vazduha potrebno je projektovati i izvoditi tako da bude omogućeno korišćenje toplote otpadnog vazduha.
Sistem veštačkog dovoda vazduha potrebno je projektovati i izvoditi sa mogućnošću promene količine svežeg vazduha prema stvarnim zahtevima prostora, sa ograničenjem minimuma potrebnog za ventilaciju u skladu sa namenom prostorije.
Za centralnu ventilaciju zgrada mogu se koristiti reverzibilne toplotne pumpe za grejanje prostora zimi i za delimično hlađenje leti.
Kanale za usis svežeg vazduha potrebno je projektovati i izvoditi sa izolacijom od usisa do ulaska u klima komoru, u svrhu otklanjanja efekta toplotnog mosta i toplotnih gubitaka.
Kanale za distribuciju pripremljenog vazduha potrebno je projektovati i izvoditi sa izolacijom u delu zgrade koji nije klimatizovan, kao i sve delove kanalske mreže gde može doći do kondenzacije vlage iz okolnog vazduha.
Dozvoljena je ugradnja rashladnih agregata sa efikasnošću jednakom ili većom od vrednosti sadržanih u Prilogu 7.
Vazdušne klimatizacione uređaje projektovati i izvoditi tako da mogu da koriste prirodno hlađenje, sa adijabatskom kontrolom.
U zgrade se ugrađuju toplotno izolovani rezervoari u grejnim sistemima ili sistemima za toplu vodu koji ispunjavaju zahteve utvrđene srpskim standardom SRPS EN 15332.
Razvodna mreža tople vode mora biti ugrađena unutar termičkog omotača zgrade, po pravilu smeštena u instalacionom kanalu i izolovana u skladu zahtevima datim u Prilogu 6.
Energetski efikasni tehnički sistemi za osvetljenje koji se ugrađuju u zgradu moraju da ispune i zahteve utvrđene srpskim standardom SRPS EN 15193 - Energetske performanse zgrada - Energetski zahtevi za osvetljenje.
Efikasno korišćenje energije za rasvetu obezbeđuje se prvenstveno korišćenjem dnevnog svetla, a ako to nije moguće, onda treba koristiti energetski efikasne svetiljke i pripadajuće elemente. U nestambenim zgradama pored toga treba obezbediti regulaciju osvetljenosti u zavisnosti od inteziteta dnevne svetlosti i prisustva korisnika u prostoriji.
III NAČIN IZRAČUNAVANJA TOPLOTNIH SVOJSTAVA ZGRADA
Utvrđivanje ispunjenosti uslova energetske efikasnosti zgrade vrši se izradom elaborata EE, koji je sastavni deo tehničke dokumentacije koja se prilaže uz zahtev za izdavanje građevinske dozvole ili uz zahtev za izdavanje rešenja kojim se odobrava izvođenje radova na adaptaciji ili sanaciji objekta, kao i energetskoj sanaciji.
Proračun energetskih svojstava zgrade vrši se za sledeće kategorije:
1) godišnja potrebna energija za grejanje;
2) godišnja potrebna energija hlađenja;
3) godišnja potrebna energija za ventilaciju;
4) godišnja potrebna energija za pripremu sanitarne tople vode;
5) godišnja potrebna energija za osvetljenje;
6) godišnji gubici tehničkih sistema;
7) godišnja isporučena energija;
8) godišnja potrebna primarna energija;
9) godišnja emisija CO2.
Tehnički i drugi zahtevi za proračune energetskih svojstava zgrade utvrđeni srpskim standardima sadržani su u Prilogu 2 - Metodologija proračuna potrebne energije za grejanje i hlađenje u zgradama, iskazivanje energetskih performansi zgrada i monitoring i verifikacija energetskih performansi zgrada, koji je odštampan uz ovaj pravilnik i čini njegov sastavni deo, a fizičke veličine, oznake, jedinice i indeksi koji se koriste u proračunu potrebne energije za grejanje i hlađenje u zgradama sadržani i su u Prilogu 1 - Fizičke veličine, oznake, jedinice i indeksi, koji je odštampan uz ovaj pravilnik i čini njegov sastavni deo.
Godišnja potrošnja energije za grejanje i hlađenje, pripremu sanitarne tople vode, ventilaciju i osvetljenje računa se u skladu sa srpskim standardima SRPS EN ISO 13790, SRPS EN 15316, SRPS EN 15241, SRPS EN 15243, SRPS EN 15316-3, SRPS EN 15193, kao i nacionalnim specifičnostima datim u Prilogu 6.
Godišnja potrošnja energije za grejanje, hlađenje, pripremu sanitarne tople vode, ventilaciju i osvetljenje zgrade određuje se proračunom uz korišćenje propisanog softverskog paketa za datu lokaciju.
Godišnja potrebna energija koja je osnov za utvrđivanje usklađenosti karakteristika zgrade sa propisanim zahtevima izračunava se za projektovane uslove korišćenja zgrade.
Emisija CO2, koja nastaje prilikom rada tehničkih sistema određuje se na osnovu podataka za specifične emisije CO2 za pojedine energente, tako što se godišnja potrebna primarna energija za rad tehničkih sistema, izračunata za određeni energent, preračunava prema faktorima konverzije za specifične emisije CO2, sadržanim u Prilogu 6.
Pokazatelji emisije CO2, proizašli kao posledica rada tehničkih sistema tretiranih u ovom pravilniku, iskazuju se u obliku godišnjih emisija CO2 (kg), ili godišnjih emisija CO2 po jedinici neto površine unutar termičkog omotača zgrade, AN (kg/ m2a).
Elaborat EE se izrađuje primenom Nacionalnog softvera za izračunavanje pokazatelja energetske efikasnosti zgrade, a na osnovu metodologije sadržane Prilogu 6.
Elaborat EE izrađuje se na osnovu:
1) klimatskih karakteristika lokacije
(1) spoljnih projektovanih temperatura gradova u Republici Srbiji sadržanih u Tabela 3.3.4.1 - Spoljne projektne temperature, θH'e [°C], za mesta u Republici Srbiji Priloga 3;
(2) broja stepen dana i srednje temperature grejnog perioda za gradove u Republici Srbiji sadržanih u Tabela 6.3 - Broj stepen dana za grejanje HDD i srednja temperatura grejnog perioda θH,mn za mesta u Republici Srbiji Priloga 6;
(3) srednje mesečne sume zračenja i srednja mesečna temperatura sadržanih u Tabela 6.9 - Srednje sume Sunčevog zračenja i srednja mesečna temperatura spoljnog vazduha Priloga 6;
2) podataka o lokaciji - situacioni plan zgrade sa položajem zgrada u neposrednom okruženju i prikazom vrsta obrada površina;
3) podataka o građevinskim materijalima, elementima i sistemima potrebnim za proračune sadržanim su u Prilogu 3;
4) podataka o mašinskoj i elektro opremi, uređajima i instalacijama.
Elaborat EE sadrži:
1) podatke navedene u članu 22. ovog pravilnika;
2) tehnički opis primenjenih tehničkih mera i rešenja u projektu usklađenih sa ovim pravilnikom i to:
(1) funkcionalne i geometrijske karakteristike zgrade,
(2) primenjene materijale,
(3) ugrađene sisteme,
(4) vrste izvora energije za grejanje, hlađenje i ventilaciju,
(5) termotehničke instalacije,
(6) sisteme rasvete,
(7) upotrebu i učešće obnovljivih izvora energije;
3) proračune sadržane u Prilogu 3 i Prilogu 6, kojima se potvrđuje da projektovani građevinski elementi i zgrada, ili deo zgrade kao celina, sa pripadajućim tehničkim sistemima, ispunjavaju zahteve ovog pravilnika;
4) potrebnu godišnju potrošnju energije za rad tehničkih sistema u zgradi (finalna energija) sadržanu u Tabeli 6.1.a - Metodologija za određivanje ukupne godišnje potrebne energije Priloga 6;
5) godišnju vrednost korišćenja ukupne primarne energije sadržane u Tabeli 6.12 - Faktori pretvaranja za proračunavanje godišnje primarne energije za pojedine vrste izvora toplote Priloga 6;
6) vrednosti emisije CO2, proračunate preko faktora datih u Tabeli 6.13 - Specifične emisije CO2 za pojedine vrste energenata Priloga 6.
Navedene računske vrednosti se dobijaju korišćenjem nacionalnog softverskog paketa propisanog za tu namenu, a rezultati se iskazuju na standardnom izlaznom formatu propisanog softverskog paketa.
Do dana izbora programskog paketa iz člana 23. stav 2. ovog pravilnika, proračun i izražavanje energetskog razreda zgrade vrši se na osnovu potrebne energije za grejanje QH,nd [kWh/(m2a)].
Od dana izbora programskog paketa iz stava 1. ovog člana, vršiće se proračun potrošnje energije za grejanje, hlađenje, pripremu sanitarne tople vode, ventilaciju i osvetljenje.
Do dana izbora programskog paketa iz stava 1. ovog člana za proračun energetskih svojstava zgrade, odnosno godišnje potrošnje energije, elaborat EE sadrži:
1) karakteristike omotača objekta usklađene sa vrednostima koeficijenata prolaza toplote i vrednostima specifičnog transmisionog gubitka, sadržane u Prilogu 3 i Prilogu 6, kao i svim ostalim tehničkim uslovima sadržanim u ovom pravilniku;
2) potrošnju energije za grejanje objekta usklađenu sa vrednostima datim u Tabela 6.11a i Tabela 6.11b i proračunatu prema uputstvima datim u Prilogu 6.
Ovaj pravilnik stupa na snagu osmog dana od dana objavljivanja u "Službenom glasniku Republike Srbije", a primenjuje se od 30. septembra 2012. godine.
FIZIČKE VELIČINE, OZNAKE, JEDINICE I INDEKSI
Tabela 1.1 - Fizičke veličine, oznake i jedinice
Fizička veličina |
Oznaka |
Oznaka |
Energetski koeficijent uređaja / postrojenja |
ep |
- |
Širina |
b |
m |
Temperatura |
θ |
°C |
Emisivnost, stepen emisivnosti |
ε |
- |
Površina |
A |
m2 |
Korisna površina zgrade |
AN |
m2 |
Dužina |
ℓ |
m |
Linijski koeficijent prolaza toplote |
ψ |
W/(m•K) |
Relativna vlažnost vazduha |
ø |
% |
Broj izmena vazduha |
n |
h-1 |
Broj izmena vazduha pri razlici pritisaka od 50 Pa |
n50 |
h-1 |
Masa |
m |
kg |
Koeficijent tačkastog prolaza toplote |
c |
W/K |
Gustina |
ρ |
kg/m3 |
Debljina sloja |
d |
m |
Specifični toplotni kapacitet |
c |
J/(kg•K) |
Štefan-Boltzman-ova konstanta (= 5,67x10-8) |
σ |
W/(m2•K4) |
Temperatura, unutra (vazduh) |
θ i |
°C |
Temperatura, unutrašnja površina |
θ si |
°C |
Temperatura, spolja (vazduh) |
θ e |
°C |
Temperatura, spoljna površina |
θ se |
°C |
Razlika temperatura |
Δθ, ΔT |
K |
Temperaturski faktor (faktor temperature) |
f Rsi |
- |
Temperaturska provodnost |
a |
m2/s |
Karakteristika toplotne (termičke) provodnosti |
L |
W/K |
Karakteristika toplotne provodnosti, osnovna |
L 0 |
W/K |
Karakteristika toplotne provodnosti, 2D-proračun |
L 2D |
W/K |
Karakteristika toplotne provodnosti, 3D-proračun |
L 3D |
W/K |
Termodinamička temperatura (T = θ + 273,15) |
T |
K |
Koeficijent transmisionih gubitaka toplote |
HT |
W/K |
Koeficijent ventilacionih gubitaka toplote |
HV |
W/K |
Zapremina, neto |
V |
m3 |
Zapremina, bruto |
Ve |
m3 |
Koeficijent prolaza toplote |
U |
W/(m2•K) |
Koeficijent prolaza toplote, prozor |
UW |
W/(m2•K) |
Koeficijent prolaza toplote, okvir prozora |
Uf |
W/(m2•K) |
Koeficijent prolaza toplote, zastakljenje |
Ug |
W/(m2•K) |
Otpor prolazu toplote (= 1/У) |
RT |
m2•K/W |
Otpor prolazu toplote, gornja granična vrednost |
R'T |
m2•K/W |
Otpor prolazu toplote, donja granična vrednost |
R"T |
m2•K/W |
Toplotna otpornost vazdušnog sloja / prostora |
Rg |
m2•K/W |
Toplotna otpornost negrejanog prostora |
Ru |
m2•K/W |
Toplotna provodljivost |
λ |
W/(m•K) |
Količina toplote |
Q |
J ≡ W•s ≡ N•m |
Protok toplote (toplotni fluks) |
F |
W |
Specifični toplotni protok (specifični toplotni fluks) |
q |
W/m2 |
Koeficijent prelaza toplote |
h |
W/(m2•K) |
Koeficijent prelaza toplote, unutrašnji |
hi |
W/(m2•K) |
Koeficijent prelaza toplote, spoljni |
he |
W/(m2•K) |
Otpor prelazu toplote, unutrašnji |
Rsi |
m2•K/W |
Otpor prelazu toplote, spoljašnji |
Rse |
m2•K/W |
Vreme |
t |
s |
Tabela 1.2 - Indeksi
Indeks |
Značenje |
Poreklo značenja (engl.) |
a |
Vazduh |
air |
an |
godišnje |
annual |
B |
bruto |
|
c |
karakteristično |
characteristic |
C |
hlađenje |
cooling |
del |
isporučeno |
delivered |
e |
spolja |
external |
el |
električna energija |
electric |
f |
ventilator, okvir |
fan, frame |
g |
tle, staklo |
ground, glazing |
h |
časovna |
hourly |
H |
grejanje, grejano |
heating, heated |
i |
unutrašnje |
internal |
j |
nabrajanje |
|
L |
osvetljenje |
lighting |
ls |
gubici |
losses |
m |
mesečni |
monthly |
N |
neto |
net |
P |
snaga |
power |
s |
solarni |
solar |
se |
spoljašnja površina |
external surface |
seas |
sezonska |
seasonal |
sh |
zasenčenje |
shading |
si |
unutrašnja površina |
internal surface |
T |
transmisija |
transmission |
tot |
ukupno |
total |
u |
negrejano |
unheated |
v |
ventilisano |
ventilated |
V |
ventilacija, zapremina |
ventilation, volume |
w |
prozor |
window |
W |
topla voda |
hot water |
x |
dodatno |
extra |
METODOLOGIJA PRORAČUNA POTREBNE ENERGIJE ZA GREJANJE I HLAĐENJE U ZGRADAMA, ISKAZIVANJE ENERGETSKIH PERFORMANSI ZGRADA I MONITORING I VERIFIKACIJA ENERGETSKIH PERFORMANSI ZGRADA
Tabela 2.1 - Definicije i terminologija
Oznaka standarda: |
Naziv standarda / primena: |
SRPS EN ISO 7345 |
Toplotna izolacija - Fizičke veličine i definicije |
SRPS EN ISO 9288 |
Toplotna izolacija - Prenos toplote zračenjem - Fizičke veličine i definicije |
SRPS EN ISO 9251 |
Toplotna izolacija - Uslovi prenosa toplote i svojstva materijala - Rečnik |
SRPS EN 12792 |
Ventilacija zgrada - Simboli, terminologija i grafički simboli |
Uslovi toplotnog komfora i kvalitet unutrašnjeg vazduha određeni su standardom SRPS EN ISO 7730 i dokumentom CR 1752 (Tehnički izveštaj), kao i standardom SRPS EN 15251.
Tabela 2.2 - Ključni standardi
Standard |
Opis: |
SRPS EN ISO 13790 |
Ukupna potrebna energija za grejanje i hlađenje (uzimajući u obzir gubitke i dobitke toplote). |
SRPS EN 15315 |
Primarna energija i emisija CO2. |
SRPS EN 15217 |
Smernice za iskazivanje energetske performanse (za energetski sertifikat) i smernice za iskazivanje zahteva (za regulativu). Sadržaj i oblik Sertifikata o energetskoj performansi. |
SRPS EN 15378 |
Pregledi (kontrole) uređaja za obezbeđenje tople vode. |
SRPS EN 15240 |
Pregledi (kontrole) uređaja za pripremu vazduha za klimatizaciju. |
SRPS EN 15239 |
Pregledi (kontrole) uređaja za ventilaciju. |
SRPS EN 15193 |
Energetske performanse zgrada - Energetski zahtevi za osvetljenje |
Tabela 2.3 - Standardi podrške ključnim standardima
Standard |
Naziv na engleskom jeziku |
Naziv na srpskom jeziku |
|---|---|---|
Standardi neophodni za primenu standarda SRPS EN ISO 13790 |
||
SRPS EN ISO 13789 |
Thermal performance of buildings - Transmission and ventilation heat transfer coefficients - Calculation method |
Toplotne performanse zgrada - Transmisioni i ventilacioni koeficijenti prolaza toplote |
SRPS EN 15232 |
Calculation methods for energy efficiency improvements by the application of integrated building automation systems |
Metodi proračuna za poboljšavanje energetske efikasnosti primenom integrisanih sistema automatike u zgradama |
SRPS EN 15241 |
Ventilation for buildings - Calculation methods for energy losses due to ventilation and infiltration in commercial buildings |
Ventilacija zgrada - Metodi proračuna gubitaka energije usled ventilacije i infiltracije u komercijalnim (poslovnim) zgradama |
SRPS EN 15243 |
Ventilation for buildings - Calculation of room temperatures and of load and energy for buildings with room conditioning systems |
Ventilacija zgrada - Proračun temperatura prostorije i opterećenja i energije za zgrade sa sistemima za klimatizaciju prostorija |
SRPS EN 15316-1 |
Heating systems in buildings - Method for calculation of system energy requirements and system efficiencies - Part 1: General |
Sistemi grejanja u zgradama - Metod proračuna energetskih potreba sistema i efikasnosti sistema |
SRPS EN 15316-2-1 |
Heating systems in buildings - Method for calculation of system energy requirements and system efficiencies Part 2-1 Space heating emission systems |
Sistemi grejanja u zgradama - Metod proračuna energetskih potreba sistema i efikasnosti sistema - Deo 2-1: Sistemi sa zračenjem toplote u prostor |
SRPS EN 15316-4 |
Heating systems in buildings - Method for calculation of system energy requirements and system efficiencies Part 4: Space heating generation systems |
Sistemi grejanja u zgradama - Metod proračuna energetskih potreba sistema i efikasnosti sistema - Deo 4: Sistemi koji generišu toplotu u prostoru |
SRPS EN 15316-3 |
Heating systems in buildings - Method for calculation of system energy requirements and system efficiencies - Part 3: Domestic hot water systems |
Sistemi grejanja u zgradama - Metod proračuna energetskih zahteva (potreba) sistema i efikasnosti sistema - Deo 3: Sistemi za sanitarnu toplu vodu |
SRPS ISO 13600 |
Technical energy systems - Basic concepts |
Tehnički energestki sistemi - Osnovni koncepti |
Metode za obezbeđivanje podataka o građevinskim elementima i sistemima - PRORAČUNI |
||
SRPS EN 1745 |
Masonry and masonry products - Methods for determining design thermal values |
Zidane konstrukcije i proizvodi za zidanje - Metode određivanja projektnih toplotnih vrednosti |
SRPS EN 410 |
Glass in building - Determination of luminous and solar characteristics of glazing |
Staklo u zgradarstvu - Određivanje svetlosnih i solarnih karakteristika zastakljenja (ostakljenja, stakla) |
SRPS EN 673 |
Glass in building - Determination of thermal transmittance (U value) - Calculation method |
Staklo u građevinarstvu - Određivanje toplotne propustljivosti (koeficijenta prolaza toplote) (У vrednost) - Metod proračuna |
SRPS EN ISO 10077-1 |
Thermal performance of windows, doors and shutters - Calculation of thermal transmittance - Part 1: General |
Toplotne performanse prozora, vrata i zaklona - Proračun koeficijenta prolaza toplote - Deo 1: Opšte |
SRPS EN ISO 10077-2 |
Thermal performance of windows, doors and shutters - Calculation of thermal transmittance - Part 2: Numerical method for frames |
Toplotne performanse prozora, vrata i zaklona - Proračun koeficijenta prolaza toplote - Deo 2: Numerički metod za okvire |
SRPS EN ISO 6946 |
Building components and building elements - Thermal resistance and thermal transmittance - Calculation method |
Komponente i elementi zgrade - Toplotna otpornost i koeficijent prolaza toplote |
SRPS EN 15241 |
Ventilation for buildings - Calculation methods for energy requirements due to ventilation systems in buildings |
Ventilacija zgrada - Metode proračuna energetskih zahteva koji proizilaze iz sistema za ventilaciju u zgradama |
SRPS EN 15242 |
Ventilation for buildings - Calculation methods for the determination of air flow rates in buildings including infiltration |
Ventilacija zgrada - Metode proračuna za određivanje nivoa protoka vazduha u zgradama, uključujući infiltraciju |
SRPS EN 15243 |
Ventilation for buildings - Calculation of room temperatures and of load and energy for buildings with room conditioning systems |
Ventilacija zgrada - Metode proračuna temperatura u prostorijama i opterećenja i energije za zgrade sa sistemima za klimatizaciju |
SRPS EN ISO 10211 |
Thermal bridges in building construction - Heat flows and surface temperatures - Detailed calculations |
Toplotni mostovi u konstrukciji zgrade - Toplotni protoci i površinske temperature - Detaljni proračuni |
SRPS EN ISO 13370 |
Thermal performance of buildings - Heat transfer via the ground - Calculation methods |
Toplotne karakteristike zgrada - Prenošenje toplote preko tla - Metode proračuna |
SRPS EN 13947 |
Thermal performance of curtain walling - Calculation of thermal transmittance |
Toplotne performanse zid-zavesa - Proračun koeficijenta prolaza toplote |
SRPS U.J5.520 |
Toplotna tehnika u građevinarstvu - Proračun difuzije vodene pare u zgradama |
|
SRPS U.J5.530 |
Toplotna tehnika u građevinarstvu - Proračun faktora prigušenja oscilacija temperature i proračun kašnjenja oscilacija temperature kroz spoljašnje pregrade zgrada u letnjem periodu |
|
Metode za obezbeđivanje podataka o građevinskim elementima i sistemima - ISPITIVANJA |
||
SRPS EN 12412-2 |
Thermal performance of windows, doors and shutters - Determination of thermal transmittance by hot box method - Part 2: Frames |
Toplotne performanse prozora, vrata i zaklona - Određivanje koeficijenta prolaza toplote metodom tople kutije (hot-box metod) |
SRPS EN ISO 12567 |
Thermal performance of windows and doors - Determination of thermal transmittance by hot box method |
Toplotne performanse prozora i vrata - Određivanje koeficijenta prolaza toplote metodom tople kutije |
SRPS EN 1026 |
Prozori i vrata - Propustljivost vazduha - Metod ispitivanja |
|
SRPS EN ISO 12569 |
Thermal insulation in buildings - Determination of air change in buildings - Tracer gas dilution method |
Toplotna izolacija u zgradama - Određivanje izmene vazduha u zgradama - Metod sa razređenim gasnim tragom |
SRPS EN 13829 |
Thermal performance of buildings - Determination of air permeability of buildings - Fan pressurization method |
Termičke performanse zgrada - Određivanje vazdušne propustljivosti zgrada - Metod ventilatora pod pritiskom |
SRPS ISO 9869 |
Thermal insulation - Building elements - In-situ measurement of thermal resistance and thermal transmittance |
Toplotna izolacija - Elementi zgrade - merenja toplotne otpornosti i koeficijenta prolaza toplote na licu mesta |
SRPS U.A2.020 |
Ispitivanje građevinskih materijala - Određivanje koeficijenta provodljivosti toplote metodom grejne ploče |
|
SRPS U.A2.023 |
Toplotna tehnika u građevinarstvu - Merenje difuzije vodene pare malim mernim posudama |
|
SRPS U.A2.024 |
Toplotna tehnika u građevinarstvu - Merenje difuzije vodene pare pomoću komora |
|
SRPS U.J5.060 |
Toplotna tehnika u visokogradnji - Laboratorijske metode ispitivanja koeficijenta prolaza toplote u građevinskim konstrukcijama zgrada |
|
SRPS U.J5.062 |
Toplotna tehnika u visokogradnji - Terenske metode ispitivanja koeficijenta prolaza toplote u građevinskim konstrukcijama zgrada |
|
SEPS U.J5.082 |
Toplotna tehnika u građevinarstvu - Merenje specifičnih toplotnih gubitaka zgrada ili delova zgrada |
|
SRPS U.J5.100(1) |
Toplotna tehnika u građevinarstvu - Vazdušna propustljivost stana |
|
Napomena 1: Ispitivanja mogu da vrše od strane ATS akreditovane laboratorije, u okviru obima akreditacije. Priznavanje stranih dokumenata o usaglašenosti regulišu odgovarajući domaći propisi. |
||
TOPLOTNA ZAŠTITA I DIFUZIJA VODENE PARE
U ovom prilogu definisani su osnovni - opšti principi fizike zgrade u delu koji se odnosi na toplotnu zaštitu, toplotnu akumulativnost i difuziju vodene pare, koje treba slediti pri projektovanju, izgradnji i rekonstrukciji (revitalizaciji) zgrada ili delova zgrada.
3.1 Toplotna zaštita i gubici toplote - metodologija
Metodologija koja se primenjuje za određivanje parametara toplotne zaštite zgrade ili dela zgrade zasnovana je na sledećim osnovnim svojstvima: koeficijenti prolaza toplote građevinskih elemenata; koeficijenti transmisionog gubitka toplote; ventilacioni gubici toplote (infiltracija vazduha); specifični transmisioni gubici toplote; ukupni zapreminski gubici toplote. U primeni propisane metodologije neophodno je poznavanje opštih principa fizike zgrade, koji se pre svega odnose na: kontrolu unutrašnjih površinskih temperatura; proračun difuzije vodene pare; proračun toplotne akumulativnosti.
Tabela 3.1.1 - Metodologija za određivanje parametara toplotne zaštite zgrade ili dela zgrade
Veličina |
Način proračuna |
Opis / kriterijum |
|||||
Koeficijent prolaza toplote građevinskog elementa, |
|
Ocena: |
|||||
Koeficijent transmisionog gubitka toplote, HT [W/K] |
HT = S(Fxi • Ui • Ai) + HTB |
Prenos toplote kroz termički omotač zgrade (ili dela zgrade); uticaj toplotnih mostova |
|||||
Koeficijent ventilacionog gubitka toplote, HV [W/K] |
HV = ra • cp •V • n |
Broj izmena vazduha |
|||||
Specifični transmisioni gubitak toplote, H'T [W/(m2•K)] |
|
Ocena: H'T ≤ H'T,max |
|||||
Ukupni zapreminski gubici toplote, qV [W/m3] |
|
Ukupni gubici toplote - transmisioni i ventilacioni |
Proračuni fizičkih veličina navedenih u Tabeli 3.1.1 sastavni su deo elaborata EE, koji predstavlja deo projektne dokumentacije i izrađuje se u skladu sa važećim standardima i propisima.
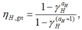
Proračun toplotne akumulativnosti netransparentnih spoljnih građevinskih elemenata zgrada (spoljni zidovi, krovovi) za letnji period vrši se u skladu sa standardom SRPS U.J5.530, korišćenjem sledećih veličina: faktor prigušenja amplitude oscilacije temperature, η [-]; kašnjenje oscilacije temperature, ν [h]. Ove veličine ograničene su najmanjim dozvoljenim vrednostima, datim u tabeli 3.2.1 i tabeli 3.2.2.
Tabela 3.2.1 - Najmanje dozvoljene vrednosti faktora prigušenja amplitude oscilacije temperature, νmin [-]
Građevinski element |
νmin [-] |
Ravni krovovi |
25 |
Svi spoljni zidovi, osim onih koji su na severnoj strani |
15 |
Spoljni zidovi na severnoj strani |
10 |
Tabela 3.2.2 - Najmanje dozvoljene vrednosti kašnjenja oscilacije temperature, ηmin [h]
Građevinski element |
ηmin [h] |
Ravni krovovi hladnjača |
14 |
Ravni krovovi, osim ravnih krovova hladnjača |
10 |
Spoljni zidovi i kosi krovovi ka zapadnoj i jugozapadnoj strani |
8 |
Spoljni zidovi i kosi krovovi ka južnoj i jugoistočnoj strani |
7 |
Spoljni zidovi i kosi krovovi na istočnoj, severoistočnoj i severozapadnoj strani |
6 |
Ukoliko je za krovove ν > 45, ne postavljaju se zahtevi za vrednost η [h]. Ukoliko je za zidove ν > 35, ne postavljaju se zahtevi za vrednost η [h].
Za spoljne netransparentne ventilisane građevinske elemente (osim za slabo ventilisane) ne postavljaju se zahtevi za vrednost ν [-] ukoliko je površinska masa elementa bez obloge veća (ili jednaka) 100 kg/m2. Ukoliko je površinska masa elementa bez obloge manja od 100 kg/m2, koeficijent prolaza toplote elementa mora da bude manji od 0,35 W/(m2xK).
Sve transparentne (i polutransparentne) površine u boravišnim prostorijama, osim one koje su na severu, severoistoku i severozapadu (pri azimutu: 0 - 45° i 315 - 360°), moraju da imaju netransparentnu zaštitu od direktnog Sunčevog zračenja u letnjem periodu. Orijentacija, j (azimut i nagib), zastakljene površine se, pojednostavljeno, određuje prema tabeli 6.10.
Detaljni postupci za proračun toplotne akumulativnosti građevinskih elemenata sadržani su u standardu SRPS EN ISO 13786.
Proračuni fizičkih veličina i parametara kojima se proverava toplotna akumulativnost građevinskog elementa sastavni su deo elaborata EE, koji predstavlja deo projektne dokumentacije i izrađuje se u skladu sa važećim standardima i propisima.
Difuzija vodene pare izračunava se za spoljne građevinske konstrukcije i konstrukcije koje se graniče sa negrejanim prostorijama, osim za konstrukcije koje se neposredno graniče sa terenom (pod na tlu, ukopani zidovi, ukopane tavanice). Sve građevinske konstrukcije zgrade moraju biti projektovane i izgrađene na način da se vodena para u projektnim uslovima na njihovim površinama ne kondenzuje.
Zgrada mora biti projektovana i izgrađena na način da se kod namenskog korišćenja vodena para koja zbog difuzije prodire u građevinsku konstrukciju, ne kondenzuje. U slučaju da dođe do kondenzacije vodene pare u konstrukciji, ona se nakon računskog perioda isušivanja mora sasvim osloboditi iz građevinske konstrukcije. Vlaga koja se kondenzuje u konstrukciji ne sme dovesti do oštećenja građevinskih materijala (na primer korozija, pojava buđi).
Za izračunavanje higrotermičkih karakteristika građevinskih elemenata i konstrukcija, difuzije vodene pare, kondenzacije i isušenja, kao i opasnosti od površinske kondenzacije (orošavanje), primenjuje se standard SRPS EN ISO 13788, u opcijama: 1) složeni godišnji kumulativni proračun; 2) Glaser-ov postupak. Ukoliko se proračun vrši na osnovu Glaser-ovog postupka, koristi se metod proračuna prema SRPS U.J5.520.
Higrotermičke karakteristike materijala usvajaju se prema Tabeli 3.4.1.2 ovog pravilnika. U tabeli 3.4.1.2 dat je pregled osnovnih higrotermičkih osobina građevinskih materijala. Uporedo se mogu koristiti i podaci prema tabelama standarda SRPS EN ISO 10456, za srednju temperaturu za primenu u građevinarstvu jednaku 23°C i pri praktičnom sadržaju vlage koji odgovara korišćenju građevinskog materijala. Ovo su proračunske - projektne vrednosti, navedene kao prosečne vrednosti za primenu u građevinarstvu. Niže vrednosti koeficijenata toplotne provodljivosti i higrotermičke osobine novih materijala dokazuju se ispitivanjima. Ispitivanja se vrše u skladu sa važećim standardima i propisima. Procedure za izdavanje dokaza o usaglašenosti na osnovu stranih isprava i znakova usaglašenosti regulisane su važećim domaćim propisima.
Proračuni fizičkih veličina i parametara kojima se proverava difuzija vodene pare građevinskog elementa sastavni su deo elaborata EE, koji predstavlja deo projektne dokumentacije i izrađuje se u skladu sa važećim standardima i propisima.
3.3.1 Dozvoljena temperatura unutrašnje površine
Dozvoljena temperatura unutrašnje površine spoljne građevinske konstrukcije na bilo kom mestu (i na mestima toplotnih mostova) mora da bude veća od temperature tačke rose, θs [°C], za date projektne uslove (temperatura i relativna vlažnost vazduha u prostoriji).
Minimalna toplotna otpornost za sprečavanje orošavanja unutrašnje površine, Rmin [m2K/W], građevinske konstrukcije izvan zone toplotnog mosta (osnovni deo građevinskog elementa) izračunava se za uslove perioda grejanja (zimski period), na sledeći način:
Rmin ≥ Rsi • |
θi - θe |
- (Rsi - Rse) |
θi - θs |
Pri čemu je Rse = 0,04 m2K/W, a vrednost Rsi se, zbog mogućnosti pojave sprečenog strujanja vazduha (nameštaj, zakloni i sl.) usvaja sa (najmanje) Rsi = 0,25 m2K/W. Za transparentne građevinske elemente primenjuje se uobičajena vrednost: Rsi = 0,17 m2K/W.
Na mestima toplotnih mostova za ocenu opasnosti od orošavanja merodavna je temperature tačke rose, θs [°C], određena prema tabeli 3.3.1.1 pri vrednosti θsi,crit = θs.
Tabela 3.3.1.1 - Temperature tačke rose, θs [°C], u zavisnosti od relativne vlažnosti vazduha, φi [%], i temperature vazduha θi [°C]
θi [°C] |
θs [°C] |
|||||||||||||
φi [%] |
||||||||||||||
30 |
35 |
40 |
45 |
50 |
55 |
60 |
65 |
70 |
75 |
80 |
85 |
90 |
95 |
|
30 |
10,5 |
12,9 |
14,9 |
16,8 |
18,4 |
20,0 |
21,4 |
22,7 |
23,9 |
25,1 |
26,2 |
27,2 |
28,2 |
29,1 |
29 |
9,7 |
12,0 |
14,0 |
15,9 |
17,5 |
19,0 |
20,4 |
21,7 |
23,0 |
24,1 |
25,2 |
26,2 |
27,2 |
28,1 |
28 |
8,8 |
11,1 |
13,1 |
15,0 |
16,6 |
18,1 |
19,5 |
20,8 |
22,0 |
23,2 |
24,2 |
25,2 |
26,2 |
27,1 |
27 |
8,0 |
10,2 |
12,2 |
14,1 |
15,7 |
17,2 |
18,6 |
19,9 |
21,1 |
22,2 |
23,3 |
24,3 |
25,2 |
26,1 |
26 |
7,1 |
9,4 |
11,4 |
13,2 |
14,8 |
16,3 |
17,6 |
18,9 |
20,1 |
21,2 |
22,3 |
23,3 |
24,2 |
25,1 |
25 |
6,2 |
8,5 |
10,5 |
12,2 |
13,9 |
15,3 |
16,7 |
18,0 |
19,1 |
20,3 |
21,3 |
22,3 |
23,2 |
24,1 |
24 |
5,4 |
7,6 |
9,6 |
11,3 |
12,9 |
14,4 |
15,8 |
17,0 |
18,2 |
19,3 |
20,3 |
21,3 |
22,3 |
23,1 |
23 |
4,5 |
6,7 |
8,7 |
10,4 |
12,0 |
13,5 |
14,8 |
16,1 |
17,2 |
18,3 |
19,4 |
20,3 |
21,3 |
22,2 |
22 |
3,6 |
5,9 |
7,8 |
9,5 |
11,1 |
12,5 |
13,9 |
15,1 |
16,3 |
17,4 |
18,4 |
19,4 |
20,3 |
21,2 |
21 |
2,8 |
5,0 |
6,9 |
8,6 |
10,2 |
11,6 |
12,9 |
14,2 |
15,3 |
16,4 |
17,4 |
18,4 |
19,3 |
20,2 |
20 |
1,9 |
4,1 |
6,0 |
7,7 |
9,3 |
10,7 |
12,0 |
13,2 |
14,4 |
15,4 |
16,4 |
17,4 |
18,3 |
19,2 |
19 |
1,0 |
3,2 |
5,1 |
6,8 |
8,3 |
9,8 |
11,1 |
12,3 |
13,4 |
14,5 |
15,5 |
16,4 |
17,3 |
18,2 |
18 |
0,2 |
2,3 |
4,2 |
5,9 |
7,4 |
8,8 |
10,1 |
11,3 |
12,5 |
13,5 |
14,5 |
15,4 |
16,3 |
17,2 |
17 |
-0,6 |
1,4 |
3,3 |
5,0 |
6,5 |
7,9 |
9,2 |
10,4 |
11,5 |
12,5 |
13,5 |
14,5 |
15,3 |
16,2 |
16 |
-1,4 |
0,5 |
2,4 |
4,1 |
5,6 |
7,0 |
8,2 |
9,4 |
10,5 |
11,6 |
12,6 |
13,5 |
14,4 |
15,2 |
15 |
-2,2 |
-0,3 |
1,5 |
3,2 |
4,7 |
6,1 |
7,3 |
8,5 |
9,6 |
10,6 |
11,6 |
12,5 |
13,4 |
14,2 |
14 |
-2,9 |
-1,0 |
0,6 |
2,3 |
3,7 |
5,1 |
6,4 |
7,5 |
8,6 |
9,6 |
10,6 |
11,5 |
12,4 |
13,2 |
13 |
-3,7 |
-1,9 |
-0,1 |
1,3 |
2,8 |
4,2 |
5,5 |
6,6 |
7,7 |
8,7 |
9,6 |
10,5 |
11,4 |
12,2 |
12 |
-4,5 |
-2,6 |
-1,0 |
0,4 |
1,9 |
3,2 |
4,5 |
5,7 |
6,7 |
7,7 |
8,7 |
9,6 |
10,4 |
11,2 |
11 |
-5,2 |
-3,4 |
-1,8 |
-0,4 |
1,0 |
2,3 |
3,5 |
4,7 |
5,8 |
6,7 |
7,7 |
8,6 |
9,4 |
10,2 |
10 |
-6,0 |
-4,2 |
-2,6 |
-1,2 |
0,1 |
1,4 |
2,6 |
3,7 |
4,8 |
5,8 |
6,7 |
7,6 |
8,4 |
9,2 |
3.3.2 Dozvoljene vrednosti upijanja vlage - spoljni završni slojevi
Dozvoljene vrednosti upijanja vlage spoljašnjeg završnog sloja građevinske konstrukcije - zaštitno-dekorativnih nanosa debljine manje od 0,005 m, određene preko vrednosti ekvivalentne debljine, r [m], iznose: r = d x µ £ 2, gde je d [m] debljina, a µ [-] relativni koeficijent difuzije vodene pare zaštitno-dekorativnog nanosa.
3.3.3 Dozvoljene vrednosti vlage usled difuzije i kondenzacije
Ukupna količina kondenzovane vlage ne sme preći da bude veća od: 1 kg/m2 u opštem slučaju; 0,5 kg/m2 ukoliko se kondenzacija dešava u slojevima - materijalima koji nemaju svojstvo kapilarnog upijanja odnosno oslobađanja vlage; u slučaju kondenzacije u sloju drveta, najveći dopušteni porast sadržaja vlage za 5% u odnosu na početni maseni sadržaj vlage; u slučaju kondenzacije u materijalima na bazi drveta, najveći dopušteni porast sadržaja vlage iznosi 3% u odnosu na početni maseni sadržaj vlage.
Ukupna masena vlažnost materijala u građevinskom elementu na kraju perioda kondenzacije, X'uk [%]:
X'uk = X'r + X'dif
X'r [%] - prosečna računska vlažnost materijala, prema tabeli 3.3.3.1
X'dif [%] - masena vlažnost nastala usled kondenzacije.
Mora da bude ispunjen uslov:
X'uk á X'max
gde je najveća dozvoljena masena vlažnost za sloj materijala u kome se dešava kondenzacija
X'max = X'r + X'dif, max
X'dif, max = |
qmax • 100 |
||
dr • ρ0 |
ρ0 [kg/m3] je zapreminska masa materijala, u suvom stanju, prema tabeli 3.3.3.1, ili 3.4.1.2
Računska debljina, dr [m], sloja građevinskog elementa u kome se dešava kondenzacija, za slučaj kondenzne površine ima sledeće vrednosti: za sloj poroćelijastog betona ili betona sa lakim agregatom, dr = 0,02 m; za opeku, dr = 0,05 m; za ostale materijale usvaja se da je dr = d (d je debljina sloja), ali ne veće od 0,07 m.
Za slučaj kondenzne zone, dr je jednako širini kondenzne zone.
Vrednost qmax [kg/m2] predstavlja najveću dozvoljenu količinu kondenzovane vodene pare u građevinskom elementu na završetku razdoblja difuzije vodene pare, koja ima sledeće vrednosti: u opštem slučaju, qmax = 1,0 kg/m2; ukoliko kondenzacija nastaje na dodirnim površinama slojeva od kojih jedan sloj nema mogućnost preuzimanja vlage (npr.: slučaj dodirnih površina vlaknastih toplotnoizolacionih materijala (ili vazdušnih slojeva) i slojeva parne brane (ili betonskih slojeva), qmax = 0,5 kg/m2; za drvene konstrukcije, qmax = 0,05 x dr x ρ0 (kg/m2); za materijale na bazi drveta (lake građevinske ploče na bazi drvene vune i višeslojne lake građevinske ploče od penastih sintetičkih izolatora i drvene vune se izuzimaju), qmax = 0,03 x dr x ρ0 (kg/m2).
Tabela 3.3.3.1 - Vrednosti ρ0 [kg/m3] i X'r [%]
Materijal |
ρ0 |
X'r [%] |
Beton |
||
Beton sa teškim agregatom |
2400 |
1,8 |
2200 |
2,0 |
|
2000 |
2,2 |
|
1800 |
2,4 |
|
Beton sa lakim agregatom |
1600 |
9,4 |
1400 |
10,7 |
|
1200 |
12,5 |
|
Beton sa dodacima od opeke |
800 - 1700 |
3,5 |
Ekspandirani beton, penobeton i gasbeton |
1200 |
3,3 |
1000 |
4,0 |
|
800 |
5,0 |
|
600 |
6,7 |
|
500 |
8,0 |
|
400 |
10,0 |
|
Drvobeton (durisol, i sl.) |
800 |
9,3 |
550 |
13,5 |
|
Opeka |
||
Puna opeka |
1400 - 2000 |
1,5 |
Šuplja opeka |
1200 - 1400 |
2,4 |
Malter |
||
Produžni i cementni |
900 - 1500 |
8,0 |
Toplotnoizolacioni malter |
300 - 800 |
4,5 |
Drvo i proizvodi od drveta |
||
Drvo |
500 - 800 |
15,0 |
Ploče od drvene vune i trske |
200 - 550 |
14,0 |
Tvrdo presovane ploče (panel, lepljenica, iverice) |
- |
10,0 |
Toplotnoizolacioni materijali |
||
Mineralni vlaknasti neorganski materijali (staklena vuna, kamena vuna) |
15 - 200 |
1,5 |
Mineralni vlaknasti materijali organskog porekla (morska trava, drvo, treset, slama, kokos i sl.) |
- |
15,0 |
Pluta |
100 - 200 |
10,0 |
Penasti sintetički materijali |
|
|
Polistiren |
10 - 50 |
5,0 |
Poliuretanska pena, tvrda, IPN |
28 - 55 |
3,0 |
3.3.4 Proračun difuzije vodene pare i proračun isušenja
Za potrebe pojednostavljenog proračuna (Glaser-ov postupak) usvajaju se sledeće vrednosti:
Za period kondenzacije:
Zona A - obuhvata mesta za koja je spoljna projektna temperatura (period grejanja) iznosi do θH'e = -15 °C, temperatura spoljnjeg vazduha za proračun kondenzacije iznosi θe = -5 °C, relativna vlažnost spoljnjeg vazduha iznosi φe = 90%, relativna vlažnost i temperatura unutrašnjeg vazduha usvaja se prema projektnim uslovima s obzirom na namenu objekta / prostorije, ili sa vrednošću φi = 55%, trajanje perioda kondenzacije iznosi 60 dana;
Zona B - obuhvata mesta za koja je spoljna projektna temperatura (period grejanja) niža od θH'e = -15 °C, temperatura spoljnjeg vazduha iznosi θe = -10 °C, relativna vlažnost spoljnjeg iznosi φe = 90%, relativna vlažnost i temperatura unutrašnjeg vazduha usvaja se prema projektnim uslovima s obzirom na namenu objekta / prostorije, ili sa vrednošću φi = 55%, trajanje perioda kondenzacije iznosi 60 dana.
Spoljne projektne temperature za period grejanja određene su tabelom 3.3.4.1. Za mesta koja nisu obuhvaćena Tabelom 3.3.4.1, usvajaju se podaci koji su navedeni za najbližu lokaciju.
Za period isušenja: dozvoljeno trajanje isušenja iznosi 90 dana za mesta koja pripadaju Zoni A, a 60 dana za mesta koja pripadaju Zoni B. Temperature i relativne vlažnosti vazduha iznose θi = θe = 18 °C, φi = φe = 65%.
Tabela 3.3.4.1 - Spoljne projektne temperature, θH'e [°C], za mesta u Republici Srbiji
MESTO |
θH'e |
MESTO |
θH'e |
Banatski Karlovac |
-13,2 |
Kopaonik |
-20,1 |
Beograd |
-12,1 |
Leskovac |
-17,4 |
Bečej |
-15,8 |
Loznica |
-13,7 |
Valjevo |
-14,4 |
Niš |
-14,5 |
Vranje |
-15,3 |
Novi Sad |
-14,8 |
Vršac |
-15,4 |
Peć |
-18,1 |
Veliko Gradište |
-14,1 |
Požega |
-18,3 |
Dimitrovgrad |
-15,8 |
Prizren |
-18,4 |
Zaječar |
-17,5 |
Priština |
-19,8 |
Zlatibor |
-16,0 |
Sjenica |
-23,7 |
Zrenjanin |
-14,8 |
Sombor |
-15,1 |
Kikinda |
-15,3 |
Sremska Mitrovica |
-15,0 |
Kraljevo |
-14,7 |
Surčin - Beograd |
-13,0 |
Kruševac |
-16,2 |
Crni Vrh |
-18,5 |
Kragujevac |
-15,0 |
Ćuprija |
-15,2 |
Za zgrade sa klimatizacijom ili sa većim oslobađanjem vodene pare dozvoljeno vreme isušenja određuje se na osnovu karakteristika procesa - unutrašnjih mikroklimatskih uslova, ali ne sme da bude duže od: 90 dana (u Zoni A), odnosno 60 dana (u Zoni B).
3.4 Toplotna zaštita i gubici toplote - metod proračuna
3.4.1 Koeficijent prolaza toplote građevinskog elementa, U [W/(m2K)]
Koeficijent prolaza toplote građevinskog elementa, U [W/(m2xK)], proračunava se, u opštem slučaju - za građevinski element jednostavne heterogenosti, saglasno standardu SRPS EN ISO 6946, na sledeći način:

Vrednosti Rsi i Rse navedene su u tabeli 3.4.1.1. Vrednost koeficijenta toplotne provodljivosti, λm [ W/(mxK)], m-tog sloja elementa, debljine d [m], usvaja se prema tabeli 3.4.1.2, ili se dokazuje ispitivanjem u skladu sa važećim standardima i propisima.
Tabela 3.4.1.1 : Otpor prelazu toplote i Fxi vrednosti
Toplotni protok ka spoljnjoj sredini, preko građevinskog elementa određenog tipa |
Otpor prelazu toplote, уm2xK/W |
Faktor korekcije temperature, Fxi |
||
Rsi |
Rse |
Rsi + Rse |
||
Građevinski elementi koji se graniče sa spoljnim vazduhom |
||||
Spoljni zid |
|
|
|
|
neventilisani |
0,13 |
0,04 |
0,17 |
1,0 |
ventilisani |
0,13 |
0,13 |
0,26 |
1,0 |
Ravni krovovi: |
|
|
|
|
neventilisani |
0,10 |
0,04 |
0,14 |
1,0 |
ventilisani |
0,10 |
0,10 |
0,20 |
1,0 |
Međuspratna konstrukcija iznad otvorenog prolaza: |
|
|
|
|
neventilisani |
0,17 |
0,04 |
0,21 |
1,0 |
ventilisani |
0,17 |
0,17 |
0,34 |
1,0 |
Kosi krovovi: |
|
|
|
|
neventilisani |
0,10 |
0,04 |
0,14 |
1,0 |
ventilisani |
0,10 |
0,10 |
0,20 |
1,0 |
Građevinski elementi koji se graniče sa negrejanim prostorima |
||||
Zid ka negrejanom prostoru |
0,13 |
0,13 |
0,26 |
0,5 |
Međuspratna konstrukcija ka negrejanom krovnom prostoru |
0,10 |
0,10 |
0,20 |
0,8 |
Međuspratna konstrukcija iznad negrejanog prostora |
0,17 |
0,17 |
0,34 |
0,5 |
Zid ka negrejanoj zimskoj bašti (stakleniku), sa spoljnim zastakljenjem zimske bašte: |
|
|
|
|
Jednostruko staklo, U > 2,5 W/(m2xK) |
0,13 |
0,13 |
0,26 |
0,7 |
Izolaciono staklo, U ≤ 2,5 W/(m2xK) |
|
|
|
0,6 |
Poboljšano staklo, U ≥ 1,6 W/(m2xK) |
|
|
|
0,5 |
Građevinski elementi u kontaktu sa tlom |
||||
zid u tlu, ili delimično ukopan |
0,13 |
0,0 |
0,13 |
0,6 |
pod na tlu |
0,17 |
0,0 |
0,17 |
0,5 |
Međuspratna konstrukcija u tlu |
0,10 |
0,0 |
0,10 |
0,6 |
Građevinski elementi između dva grejana prostora različite temperature |
||||
Zid između zgrada, zid koji razdvaja prostore različitih korisnika, ili zid ka grejanom stepeništu |
0,13 |
0,08 |
0,21 |
0,8 |
Međuspratna konstrukcija koja razdvaja prostor između različitih korisnika |
0,10 |
0,08 |
0,18 |
0,8 |
Tabela 3.4.1.2 - Higrotermičke osobine građevinskih materijala i proizvoda
Materijal / proizvod |
Gustina, |
Specifična |
Toplotna |
Relativni koeficijent |
I ZIDOVI |
||||
1. Puna opeka (šupljikavost 0 do 15 %) |
1 800 |
920 |
0,76 |
12 |
1 600 |
920 |
0,64 |
9 |
|
|
1 400 |
920 |
0,58 |
7 |
|
1 200 |
920 |
0,47 |
5 |
2. Šuplji blokovi i i šuplja opeka (gustina zajedno sa otvorima) |
1 400 |
920 |
0,61 |
6 |
1 200 |
920 |
0,52 |
4 |
|
3. Porozna opeka |
800 |
920 |
0,33 |
2,5 |
4. Klinker opeka, puna klinker opeka, šuplja |
1 900 |
880 |
1,05 |
35 |
1 700 |
880 |
0,79 |
30 |
|
5. Blokovi od elektrofilterskog pepela |
1 500 |
920 |
0,58 |
5 |
|
1 300 |
920 |
0,47 |
4 |
6. Silikatna puna opeka |
2 000 |
920 |
1,10 |
20 |
|
1 800 |
920 |
0.99 |
16 |
|
1 600 |
920 |
0.79 |
13 |
7. Silikatna šuplja opeka (gustina zajedno sa otvorima) |
1 400 |
920 |
0,70 |
7 |
1 200 |
920 |
0,56 |
4 |
|
8. Porolit |
1 200 |
920 |
0,52 |
4 |
9. Termo šljakoblok (gustina zajedno sa otvorima) |
1 600 |
920 |
0,64 |
4 |
1 400 |
920 |
0,58 |
4 |
|
1 200 |
920 |
0,52 |
4 |
|
10. Blokovi od porobetona |
440 |
860 |
0,13 |
5 |
460 |
860 |
0,14 |
5 |
|
500 |
860 |
0,16 |
5 |
|
650 |
860 |
0,18 |
5 |
|
11. Blokovi od gas betona |
800 |
1 050 |
0,35 |
7 |
600 |
1 050 |
0,27 |
5 |
|
12. Puni blokovi od lakog betona |
1 000 |
840 |
0,47 |
4 |
|
1 200 |
840 |
0,52 |
5 |
|
1 400 |
840 |
0,64 |
7 |
|
1 600 |
840 |
0,80 |
9 |
13. Betonski blokovi sa otvorima u dva reda od lakog betona (gustina bez otvora) |
1 000 |
1 050 |
0,44 |
2 |
1 200 |
1 050 |
0,49 |
3 |
|
1 400 |
1 050 |
0,56 |
4 |
|
14. Isto kao 13, otvori u tri reda (gustina bez otvora) |
1 400 |
1 050 |
0,49 |
5 |
1 600 |
1 050 |
0,56 |
6 |
|
15. Zid od prirodnog kamena |
2 000 |
920 |
1,16 |
22 |
16. Betonski šuplji blokovi sa otvorima u tri reda (gustina zajedno sa otvorima) |
1 600 |
960 |
0,74 |
10 |
17. Porozna opeka |
|
|
0,22-0,35 |
|
II MALTERI |
||||
18. Krečni malter |
1 600 |
1 050 |
0,81 |
10 |
19. Podužni krečni malter |
1 700 |
1 050 |
0,85 |
15 |
|
1 800 |
1 050 |
0,87 |
20 |
|
1 900 |
1 050 |
0,99 |
25 |
20. Cementni malter |
2 100 |
1 050 |
1,40 |
30 |
Cementni estrih |
2 200 |
1 050 |
1,40 |
30 |
21. Pigmentni fasadni malter |
1 850 |
1 050 |
0,70 |
15 |
22. Cementni malter + lateks (sintetički dodaci) |
1 900 |
1 050 |
0,70 |
30 |
23. Gipsani i krečno gipsani malter |
1 500 |
920 |
0,70 |
9 |
Laki gipsani malter |
1 000 |
920 |
0,47 |
4 |
24. Perlit malter |
500 |
1 050 |
0,13 |
4 |
Toplotnoizolacioni malter |
600 |
920 |
0,19 |
6 |
Gipsani malter na trsci |
1 000 |
920 |
0.47 |
3 |
Gipsani malter na rabic mreži |
1 200 |
920 |
0,58 |
4 |
III PRIRODNI KAMEN I ZEMLJA |
||||
25. Granit, kristalasti škriljac |
2 600 do 2800 |
920 |
3,5 |
65 |
26. Gusti krečnjak, dolomit, mermer |
2 600 do 2 850 |
920 |
2,3 do 3,5 |
65 |
27. Peščar, amorfni krečnjak |
2 600 |
920 |
1,7 |
50 |
28. Pesak i sitni šljunak |
1 500 do 2 000 |
840 |
1,2 do 1,7 |
15 |
29. Zaraslo zemljište, humus |
1 500 do 2 000 |
840 |
1,5 do 2,6 |
50 |
IV MATERIJALI ISPUNA I NASIPNI MATERIJALI |
||||
30. Pesak, suvi |
1 800 |
840 |
0,58 |
1,4 |
31. Šljunak, suvi |
1 700 |
840 |
0,81 |
1,5 |
32. Usitnjena opeka |
800 |
840 |
0,41 |
1,3 |
33. Usitnjena pluta |
50 |
840 |
0,04 |
1,1 |
34. Perlit, nasut |
100 |
840 |
0,05 |
1,3 |
35. Keramzit, nasut |
400 |
840 |
0,22 |
1,3 |
36. Piljevina |
250 |
2 090 |
0,09 |
1,2 |
37. Nasuta zemlja (vlažna) |
1 700 |
840 |
2,1 |
|
V BETONI |
||||
38. Betoni sa kamenim agregatima |
2 500 |
960 |
2,33 |
90 |
|
2 400 |
960 |
2,04 |
60 |
|
2 200 |
960 |
1,51 |
30 |
|
2 000 |
960 |
1,16 |
22 |
|
1 800 |
960 |
0,93 |
15 |
39. Keramzit beton |
1 400 |
1 000 |
0,58 |
10 |
|
1 200 |
1 000 |
0,47 |
6 |
|
1 000 |
1 000 |
0,38 |
4 |
|
800 |
1 000 |
0,29 |
3 |
40. Pareni, gas betoni |
800 |
1 050 |
0,29 |
7 |
|
600 |
1 050 |
0,23 |
5 |
|
500 |
1 050 |
0,19 |
3 |
|
400 |
1 050 |
0,14 |
2 |
41. Beton od usitnjene opeke |
1 600 |
920 |
0,76 |
6 |
|
1 400 |
920 |
0,58 |
4 |
|
1 200 |
920 |
0.47 |
3 |
42. Šljakobeton |
1 600 |
960 |
0,76 |
5 |
|
1 400 |
960 |
0,58 |
4 |
|
1 200 |
960 |
0,47 |
3 |
VI MATERIJALI ZA OBLAGANJA |
||||
43. Gips - kartonske ploče |
|
|
|
|
- do 15 mm |
900 |
840 |
0,21 |
12 |
- do 18 mm |
900 |
840 |
0,23 |
8 |
44. Pune gipsane ploče |
1 400 |
840 |
0,70 |
12 |
|
1 200 |
840 |
0,58 |
8,5 |
|
1 000 |
840 |
0,47 |
6 |
45. Gipsane ploče sa punjenjem, otvorima ili porozne |
800 |
840 |
0,35 |
4 |
600 |
840 |
0,29 |
3 |
|
46. Klinker pločice |
1 900 |
920 |
1,05 |
100 |
47. Pločice od opeke |
1 800 |
920 |
0,79 |
20 |
48. Fasadne ploče, glazirane |
1 800 |
920 |
0,92 |
300 |
49. Keramičke pločice |
|
|
|
|
- zidne, glazirane |
1 700 |
920 |
0,87 |
200 |
- podne, neglazirane |
2 300 |
920 |
1,28 |
200 |
50. Keramički mozaik |
|
|
|
|
- 50 mm x 50 mm - 16% fuge |
|
|
|
140 |
- 20 mm x 20 mm - 21% fuge |
1 900 |
880 |
0,99 |
100 |
- 12 mm x 12 mm - 26% fuge |
|
|
|
90 |
51. Stakleni mozaik |
|
|
|
|
- 20 mm x 20 mm - 20% šupljina |
2 300 |
840 |
0,70 |
150 |
52. Linoleum |
1 200 |
1 880 |
0,19 |
500 |
53. Guma |
1 000 |
1 470 |
0,16 |
10 000 |
54. Unapred izrađeni betonski elementi |
2 500 |
960 |
2,33 |
90 |
2 400 |
960 |
2,04 |
70 |
|
55. Laki betonski elementi |
1 200 |
920 |
0,47 |
10 |
56. Ploče od gustog krečnjaka, dolomita i mermera |
2 650 do 2 850 |
880 |
2,33 |
65 |
Ploče od peščara |
2 600 |
880 |
2,33 |
50 |
57. Prozorsko staklo |
2 500 |
840 |
0,81 |
10 000 |
58. Armirano staklo |
2 600 |
840 |
0,44 |
100 000 |
59. Šuplji stakleni blokovi |
1 100 |
840 |
0,44 |
4 000 |
60. Drvo |
|
|
|
|
- hrast |
700 do 800 |
2 090 do 2 510 |
0,21 |
40 do 60 |
- smreka, bor |
500 do 600 |
2 090 |
0,14 |
70 |
61. Vodootporne panelne ploče |
600 |
2 090 |
0,12 |
60 |
- teške, za spoljnje oblaganje |
620 |
2 090 |
0,13 |
60 |
- lakše, za unutrašnje oblaganje |
400 |
2 090 |
0,08 |
30 |
62. Vodootporne šper ploče |
660 |
2 090 |
|
100 |
- za unutrašnje oblaganje |
550 |
2 090 |
0,14 |
60 |
63. Iverne ploče |
|
|
|
|
- tvrde |
1 000 |
1 880 |
0,12 |
17 |
- meke |
400 |
2 090 |
0,058 |
6 |
|
300 |
2 090 |
0,052 |
3 |
|
200 |
2 090 |
0,047 |
2 |
64. Iverne ploče, presovane |
600 |
2 090 |
0,099 |
60 |
65. Ploče od drvene vune (izolit, heraklit i sl.) |
|
|
|
|
- debljine 15 mm |
550 |
2 010 |
0,140 |
11 |
- debljine 25 mm |
500 |
1 670 |
0,099 |
8 |
- debljine 35 mm |
450 |
1 670 |
0,093 |
6 |
- debljine 50 mm |
400 |
1 670 |
0,081 |
5 |
66. Papirnate tapete |
600 |
1 340 |
0,15 |
5 |
- perive |
700 |
1 340 |
0,15 |
10 |
- plastične |
700 |
1 250 |
0,20 |
3 000 |
67. Bitumen |
1 100 |
1 050 |
0,17 |
1 200 |
68. Asfalt |
2 100 |
1 050 |
0,70 |
2 500 |
- asfalt, 20 mm |
1 900 |
1 050 |
0,70 |
2 000 |
69. Bitumenska lepenka |
1 100 |
1 460 |
0,19 |
2 000 |
70. PVC, homogeni |
1 400 |
960 |
0,23 |
10 000 |
71. PVC, na filcu |
800 |
960 |
0,12 |
3 000 |
72. Podne obloge - tepisi |
|
|
|
|
- napeti tafting |
250 |
1 230 |
0,070 |
1,5 |
- lepljeni tafting |
270 |
1 230 |
0,081 |
10 |
- iglasti fil, lepljen |
300 |
1 460 |
0,090 |
10 |
73. Daske za pod |
520 |
1 670 |
0,140 |
15 |
74. Parket |
700 |
1 670 |
0,21 |
15 |
75. Tvrde ploče od drvenih vlakana |
900 |
1 670 |
0,19 |
70 |
76. Polietilenske folije |
1 000 |
1 250 |
0,19 |
80 000 |
77. PVC folija, meka |
1 200 |
960 |
0,19 |
42 000 |
78. Bitumenska traka sa uloškom aluminijske folije debljine |
900 |
1 460 |
0,19 |
100 000 |
0,2 mm |
950 |
1 460 |
0,19 |
150 000 |
79. Bitumenske trake, varene, |
1 000 |
1 460 |
0,19 |
140 000 |
80. Krovna lepenka |
1100 |
1460 |
0,19 |
2000 |
81. Višeslojni bitumenski premaz, armiran u jednom sloju - 10 mm |
1 100 |
1 460 |
0,17 |
10 000 |
82. Višeslojna bitumenska hidroizolacija debljine 13 do 16 mm |
1 100 |
1 460 |
0,19 |
14 000 |
Višeslojna bitumenska hidroizolacija na perforiranoj lepenki |
1 200 |
1 460 |
0,19 |
14 000 |
83. PVC krovne trake, meke |
1 200 |
960 |
0,19 |
20 000 |
84. PIB (poliizobutil) trake |
1 600 |
960 |
0,26 |
300 000 |
85. CR (hloropren-kaučuk) trake |
1 300 |
1 000 |
0,23 |
100 000 |
86. CSM (hlorosulfidni polietilen) trake |
1 500 |
1 000 |
0,30 |
80 000 |
87. EPDM (etilen-propilen-kaučuk) trake |
1 200 |
1 040 |
0,30 |
100 000 |
88. Crep |
1 900 |
880 |
0,99 |
40 |
89. Ploče od škriljaca |
2 800 |
820 |
2,90 |
120 |
X METALI |
||||
90. Čelik |
7 800 |
460 |
53,5 |
|
- liveni čelik |
7 200 |
500 |
46,5 |
600 000 |
91. Aluminijumska folija 0,10 |
|
|
|
600 000 |
0,15 |
2 700 |
940 |
203 |
700 000 |
0,20 |
|
|
|
800 000 |
92. Bakarna folija 0,10 |
9 000 |
380 |
380 |
700 000 |
0,15 |
800 000 |
|||
93. Olovo |
11 500 |
130 |
35 |
|
94. Cink |
7 100 |
390 |
110 |
|
XI TOPLOTNOIZOLACIONI MATERIJALI |
||||
95. Staklena vuna |
14 |
840 |
0,038 |
1 |
23 |
840 |
0,034 |
1 |
|
30 |
840 |
0,032 |
1 |
|
60 |
840 |
0,032 |
1 |
|
80 |
840 |
0,034 |
1 |
|
96. Kamena vuna |
30 |
840 |
0.038 |
1 |
80 |
840 |
0.034 |
1 |
|
100 |
840 |
0,033 |
1 |
|
160 |
840 |
0,037 |
1 |
|
180 |
840 |
0,039 |
1 |
|
97. Staklena pena |
145 |
840 |
0,056 |
10 000 |
98. Pluta, ekspandirana, impregnirana |
120 |
1 670 |
0,041 |
10 |
160 |
1 670 |
0,044 |
22 |
|
99. Ploče od prošivene trstike |
800 |
1 260 |
0,046 |
2 |
100. Ploče od presovane slame (stramit) |
350 |
1 470 |
0,098 |
3 |
101. Beton sa dodatkom piljevine |
550 |
1 465 |
0,14 |
5 |
|
800 |
1 465 |
0,24 |
10 |
102. Sintetičke ploče od višeslojnog poliestera |
1 400 |
1 590 |
0,19 |
50 000 |
1 500 |
1 090 |
0,23 |
50 000 |
|
103. Ploče od akrilne smole |
1 180 |
1 000 |
0,19 |
8 000 |
104. PVMD i PVC ploče |
1 400 |
960 |
0,21 |
16 000 |
105. Polistirenske ploče (u blokovima) |
15 |
1 260 |
0,041 |
25 |
|
20 |
1 260 |
0,041 |
35 |
|
25 |
1 260 |
0,041 |
40 |
|
30 |
1 260 |
0,041 |
45 |
106. Polistiren, izrađen u kalupina |
20 |
1 260 |
0,041 |
40 |
|
25 |
1 260 |
0,041 |
50 |
|
30 |
1 260 |
0,041 |
60 |
107. Fenolne ploče, rezane iz blokova |
40 |
1 260 |
0,041 |
35 |
60 |
1 260 |
0,041 |
40 |
|
108. Poliuretanske ploče, |
30 |
1 380 |
0,035 |
40 |
40 |
1 380 |
0,035 |
50 |
|
109. PVC ploče |
50 |
1 260 |
0,041 |
200 |
110. Urea ploče |
15 |
1 260 |
0,040 |
3 |
111. Ekstrudirani polistiren (HPS) |
|
|
|
|
Do debljine 80 mm, sa glatkom površinom |
33 |
1500 |
0,035 |
50 |
Do debljine 80 mm, sa brušenom površinom |
33 |
1500 |
0,035 |
120 |
Iznad debljine 80 mm, sa glatkom površinom |
33 |
1500 |
0,038 |
50 |
Iznad debljine 80 mm, sa brušenom površinom |
33 |
1500 |
0,038 |
120 |
112. Vuna ovce |
20 |
900 |
0,040 |
1 |
113. Kokosova vlakna |
100 |
1600 |
0,045 |
1 |
114. Vlaknaste drvene ploče |
190 |
2000 |
0,045 |
10 |
115. Toplotnoizolacioni malter |
|
|
0,09-0,25 |
8-10 |
116. Celulozna vlakna |
85 |
1800 |
0,040 |
1 |
117. Pamuk |
20 |
840 |
0,040 |
1 |
118. Perlitne ploče |
150 |
1000 |
0,060 |
5 |
119. Duvano staklo |
140 |
1100 |
0,060 |
¥ |
120. Poliuretanska pena |
15 |
1500 |
0,025 |
30 |
80 |
1500 |
0,040 |
100 |
|
121. Perlitni nasip |
90 |
1000 |
0,055 |
3 |
Najveće dopuštene vrednosti koeficijenata prolaza toplote, Umax [W/(m2xK)], elemenata termičkog omotača zgrade, odnosno elemenata između dve susedne termičke zone, sadržane su u tabeli 3.4.1.3. Ove vrednosti se primenjuju i na unutrašnje građevinske konstrukcije koje se graniče sa prostorijama u kojima je temperatura vazduha pri projektnoj temperaturi spoljnjeg vazduha (period grejanja) manja od 12 °C.
Proračunska vrednost koeficijenta prolaza toplote, U [ W/(m2xK)], mora da bude manja (ili jednaka) Umax [W/(m2xK)]: U £ Umax [ W/(m2xK)].
Tabela 3.4.1.3 - Najveće dozvoljene vrednosti koeficijenta prolaza toplote, Umax [W/(m2xK)], za elemente termičkog omotača zgrade
Opis elementa / sistema |
Postojeća zgrada Umax |
Nova zgrada Umax |
Elementi i sistemi u kontaktu sa spoljnim vazduhom |
||
1. Spoljni zid |
0,40 |
0,30 |
2. Zid na dilataciji (između zgrada) |
0,50 |
0,35 |
3. Zidovi i međuspratne konstrukcije između grejanih prostorija različitih jedinica, različitih korisnika ili vlasnika |
0.90 |
0.90 |
4. Ravan krov iznad grejanog prostora |
0,20 |
0,15 |
5. Ravan krov iznad negrejanog prostora |
0,40 |
0,30 |
6. Kosi krov iznad grejanog prostora |
0,20 |
0,15 |
7. Kosi krov iznad negrejanog prostora |
0,40 |
0,30 |
8. Međuspratna konstrukcija iznad otvorenog prolaza |
0,30 |
0,20 |
9. Prozori, balkonska vrata grejanih prostorija i grejane zimske bašte |
1,50 |
1,50 |
10. Stakleni krovovi, izuzimajući zimske bašte, svetlosne kupole |
1,50 |
1,50 |
11. Spoljna vrata |
1,60 |
1,60 |
12. Izlozi |
1,80 |
1,80 |
13. Staklene prizme |
1,60 |
1,60 |
Unutrašnje pregradne konstrukcije |
||
14. Zid prema grejanom stepeništu |
0,90 |
0,90 |
15. Zid prema negrejanim prostorima |
0,55 |
0,40 |
16. Međuspratna konstrukcija ispod negrejanog prostora |
0,40 |
0,30 |
17. Međuspratna konstrukcija iznad negrejanog prostora |
0,40 |
0,30 |
Konstrukcije u tlu (ukopane, ili delimično ukopane) |
||
18. Zid u tlu |
0,50 |
0,35 |
19. Pod na tlu |
0,40 |
0,30 |
20. Ukopana međuspratna konstrukcija |
0,50 |
0,40 |
Napomena 1: Za elemente - sisteme panelnog (podnog, zidnog, plafonskog) grejanja moraju se primeniti odgovarajući standardi i tehnički uslovi propisani tim standardima. |
||
Napomena 2: Vrednosti navedene za postojeću zgradu odnose se na najveće dopuštene vrednosti posle renoviranja, sanacija, rekonstrukcija. |
||
Vrednosti U [W/(m2xK)] proračunavaju se u skladu sa standardom SRPS EN ISO 13789 i posebnim standardima: za netransparentne građevinske elemente, izuzev podova i zidova u tlu i zid - zavesa, u skladu sa standardom SRPS EN ISO 6946; za podove i zidove u tlu u skladu sa standardom SRPS EN ISO 13370; za građevinske elemente tipa prozora, balkonskih vrata i roletni u skladu sa standardom SRPS EN ISO 10077-1 i SRPS EN ISO 10077-2; za zid - zavese u skladu sa standardom SRPS EN 13947; za stakla u skladu sa standardima SRPS EN 673 i SRPS EN 410; za elemente za zidanje zidanih zidova i zidane zidove, u skladu sa standardom SRPS EN 1745.
Koeficijent prolaza toplote transparentnog građevinskog elementa (spoljna građevinska stolarija: spoljni prozori i balkonska vrata; krovni prozori), Uw [W/(m2xK)], određuje se proračunom, saglasno standardu SRPS EN ISO 10077-1:
Uw = |
Ag x Ug + Af x Uf + Ig x ψg |
|
Ag + Af |
Proračunske vrednosti Ug (staklo), Uf (okvir) i ψg (faktor korekcije temperature - spoj staklo/okvir), navedene su u tabelama 3.4.1.4, 3.4.1.5, 3.4.1.6, 3.4.1.7, i 3.4.1.8.
Ove vrednosti se mogu odrediti i na sledeći način:
a) proračunom, u skladu sa standardima SRPS EN ISO 10077-2 (okvir), SRPS EN 410 (staklo) i SRPS EN 673 (staklo);
b) ispitivanjem prozora istog sastava i mera, u skladu sa važećim standardima i propisima.
Vrednosti Ug (staklo) i Uf (okvir) odnose se na koeficijent prolaza toplote bez uticaja toplotnog mosta. Toplotni mostovi u transparentnim građevinskim elementima se dodatno obračunavaju i potiču od: spoja staklo-staklo u termoizolacionom staklu (različita rešenja: aluminijumska spojnica, sintetička spojnica, specijalno termički poboljšana spojnica); spoja staklo - okvir; spoja okvir - građevinska konstrukcija (ugradnja).
Vrednosti koeficijenata prolaza toplote prozora bez termoizolacionog stakla ("staklopaketi") usvajaju se sa vrednostima: Uw = 3,5 W/(m2xK) (za prozore krilo na krilo); Uw = 5,0 W/(m2xK) (za prozore sa jednostrukim staklom).
Tabela 3.4.1.4 - Toplotna svojstva transparentnih građevinskih elemenata - STAKLO
Tip stakla |
Ug |
g |
|---|---|---|
jednostruko, 6 mm |
5,8 |
0,83 |
2-struko, prozirno, 6-8-6 mm |
3,2 |
0,71 |
2-struko, prozirno, 4-12-4 mm |
3,0 |
0,71 |
2-struko, prozirno, 6-12-6 mm |
2,9 |
0,71 |
2-struko, prozirno, 6-16-6 mm |
2,7 |
0,72 |
3-struko, prozirno, 6-12-6-12-6 mm |
1,9 |
0,63 |
2-struko, niskoemisiono, 4-12-4 mm (vazduh) |
1,6 |
0,63 |
2-struko, niskoemisiono, 4-16-4 mm (vazduh) |
1,5 |
0,61 |
2-struko, niskoemisiono, 4-15-4 mm (Ar) |
1,3 |
0,61 |
2-struko, niskoemisiono, 4-12-4 mm (Kr) |
1,1 |
0,62 |
2-struko, niskoemisiono, 4-12-4 mm (Xe) |
0,9 |
0,62 |
3-struko, niskoemisiono, 4-8-4-8-4 mm (Kr) |
0,7 |
0,48 |
3-struko, niskoemisiono, 4-8-4-8-4 mm (Xe) |
0,5 |
0,48 |
2-struko, reflektujuće, 6-15-6 mm (Ar) |
1,3 |
0,25 - 0,48 |
2-struko, reflektujuće, 6-12-4 mm (Ar) |
1,4 |
0,27 - 0,44 |
Tabela 3.4.1.5: Koeficijent prolaza toplote okvira - drveni okvir
debljina df mm |
Uf |
|
|
meko drvo (500 kg/m3), |
tvrdo drvo (700 kg/m3), |
30 |
2,3 |
2,7 |
50 |
2,0 |
2,4 |
70 |
1,8 |
2,0 |
90 |
1,6 |
1,8 |
110 |
1,4 |
1,6 |
Tabela 3.4.1.6: Koeficijent prolaza toplote okvira - PVC-okvir
Materijal |
Tip okvira - profil |
Uf |
PVC-šuplji profili |
2-komorni |
2,2 |
3-komorni |
1,7 - 1,8 |
|
5-komorni |
1,3 - 1,5 |
|
6-komorni |
1,2 - 1,3 |
Tabela 3.4.1.7: Koeficijent prolaza toplote okvira - metalni okvir
Vrsta metalnog okvira |
Uf |
čelični, sa termičkim prekidom |
4,0 |
čelični, bez termičkog prekida |
6,0 |
aluminijumski, sa termičkim prekidom |
2,8 - 3,5 |
aluminijumski, poboljšani |
1,4 - 1,5 |
specijalni sistemi profila za pasivne kuće |
0,7 - 0,8 |
Tabela 3.4.1.8: Koeficijenti korekcije - faktor korekcije temperature za toplotne mostove između okvira i stakla
|
Koeficijent korekcije, ψg |
|
2-struko i višestruko staklo, bez sloja za poboljšanje |
2-struko i višestruko staklo, sa slojem za poboljšanje |
|
Drveni i PVC - okviri |
0,04 |
0,06 |
Metalni okviri, sa prekinutim toplotnim mostom |
0,06 |
0,08 |
Metalni okviri, bez prekinutog toplotnog mosta |
0,00 |
0,02 |
3.4.2.1 Koeficijent transmisionog gubitka toplote, HT [W/K]
Koeficijent transmisionog gubitka toplote zgrade (ili dela zgrade), HT [W/K], izračunava se po obrascu:
HT = |
S |
(Fxi • Ui • Ai) + HTB |
|
Fxi - faktor korekcije temperature za i-ti građevinski element, koji se usvaja prema Tabeli 3.4.1.1 ovog pravilnika;
Ui [W/(m2xK)] - koeficijent prolaza toplote i-tog građevinskog elementa, površine Ai [m2].
Transmisioni toplotni gubitak zgrade (ili dela zgrade) usled uticaja toplotnih mostova u termičkom omotaču zgrade (ili dela zgrade), HTB [W/K], iznosi:
HTB = DUTB • A
A [m2] - zbirna površina spoljnih građevinskih elemenata (termički omotač objekta - spoljne mere);
Usvaja se vrednost ΔUTB = 0,10 W/(m2xK).
Ukoliko je uticaj toplotnih mostova već uzet u obzir pri proračunu koeficijenta prolaza toplote U, građevinskog elementa, granična površina kroz koju se toplota prenosi A, kod uvažavanja uticaja toplotnog mosta može se umanjiti za površinu građevinskog elementa za koji je koeficijent prolaza toplote na taj način određen. Transmisioni toplotni gubitak usled uticaja toplotnog mosta, HTB [W/K], tada iznosi:
HTB = ΔUTB • Acor
Acor [m2] - zbirna površina spoljnih građevinskih elemenata (spoljni omotač objekta), umanjena za površine građevinskih elemenata za koje su izračunati koeficijenti prolaza toplote sa uključenim toplotnim mostovima.
3.4.2.2 Koeficijent ventilacionog gubitka toplote zgrade (ili dela zgrade), HV [W/K]
Koeficijent ventilacionog gubitka toplote zgrade (ili dela zgrade), HV [W/K], izračunava se po obrascu:
HV = ra • cp • V • n
V - zapremina grejanog prostora [m3];
n - broj izmena vazduha na čas [h-1]
ra • cp = 0,33 [Wh/(m3 • K)] (ra • cp = 1200 [J/(m3 • K)])
Tabela 3.4.2.1 - Broj izmena vazduha na čas u zavisnosti od zaklonjenosti i klase zaptivenosti zgrade (prema SRPS EN ISO 13789) - Stambene zgrade sa više stanova i prirodnom ventilacijom
|
Broj izmena vazduha n [h-1] |
Broj izmena vazduha n [h-1] |
||||
Izloženost fasade vetru |
Više od jedne fasade |
Samo jedna fasada |
||||
Zaptivenost |
Loša |
Srednja |
Dobra |
Loša |
Srednja |
Dobra |
Otvoren položaj zgrade |
1,2 |
0,7 |
0,5 |
1,0 |
0,6 |
0,5 |
Umereno zaklonjen položaj |
0,9 |
0,6 |
0,5 |
0,7 |
0,5 |
0,5 |
Veoma zaklonjen položaj |
0,6 |
0,5 |
0,5 |
0,5 |
0,5 |
0,5 |
Tabela 3.4.2.2 - Broj izmena vazduha na čas u zavisnosti od zaklonjenosti i klase zaptivenosti zgrade (prema SRPS EN ISO 13789) - Pojedinačne porodične kuće sa prirodnom ventilacijom
|
Broj izmena vazduha n [h-1] |
||
Zaptivenost |
Loša |
Srednja |
Dobra |
Otvoren položaj zgrade |
1,5 |
0,8 |
0,5 |
Umereno zaklonjen položaj |
1,1 |
0,6 |
0,5 |
Veoma zaklonjen položaj |
0,76 |
0,5 |
0,5 |
3.4.2.3 Specifični transmisioni gubitak toplote zgrade (ili dela zgrade), H'T [W/(m2xK)]
Specifični transmisioni gubitak toplote zgrade (ili dela zgrade), H'T [W/(m2xK], izračunava se po obrascu:
H'T = |
HT |
||
A |
Najveći dopušteni specifični transmisioni toplotni gubitak kroz termički omotač zgrade, H'T [W/(m2xK)], usvaja se prema tabeli 3.4.2.3.1:
Tabela 3.4.2.3.1 - Najveće dopuštene vrednosti specifičnih transmisionih gubitaka toplote, H'T,max [W/(m2xK)], u zavisnosti od faktora oblika zgrade (ili dela zgrade)
Faktor oblika |
Nestambene zgrade sa udelom transparentnih |
Nestambene zgrade sa udelom |
≤ 0.2 |
1.05 |
1.55 |
0.3 |
0.80 |
1.15 |
0.4 |
0.68 |
0.95 |
0.5 |
0.60 |
0.83 |
0.6 |
0.55 |
0.75 |
0.7 |
0.51 |
0.69 |
0.8 |
0.49 |
0.65 |
0.9 |
0.47 |
0.62 |
1.0 |
0.45 |
0.59 |
>1.05 |
0.44 |
0.58 |
3.4.2.4 Ukupni zapreminski gubici toplote unutar termičkog omotača, qV [W/m3]
Ukupni zapreminski gubici toplote unutar termičkog omotača, qV [W/m3], transmisioni i ventilacioni, izračunavaju se po obrascu:
qV = |
HT + HV |
[W/m3] |
|
Ve |
TEHNIČKI ZAHTEVI ZA POSTIZANJE ENERGETSKE EFIKASNOSTI ZGRADA
4.1. Tehničkim zahtevima za postizanje energetske efikasnosti zgrada naročito se određuju sledeći parametri:
1) orijentacija i funkcionalni koncept zgrade:
(1) orijentaciju i funkcionalni koncept zgrade projektovati tako da se maksimalno iskoriste prirodni i stvoreni uslovi lokacije (sunce, vetar, zelenilo);
(2) postaviti zgrade tako da prostorije u kojima se boravi tokom dana budu orijentisane prema jugu u meri u kojoj urbanistički uslovi to dozvoljavaju.
2) oblik zgrade kojim se obezbeđuje energetski najefikasniji odnos površine i zapremine omotača zgrade u odnosu na klimatske faktore lokacije, okruženje (prirodno i stvoreno) i namenu zgrade;
3) toplotno zoniranje zgrade projektovati toplotno zonirane zgrade, odnosno, grupisati prostorije u zgradi u skladu sa njihovim temperaturnim zahtevima; zone sa višim temperaturnim zahtevima projektovati tako da mogu maksimalno da iskoriste prirodne potencijale lokacije (sunce, vetar, zelenilo);
4) način korišćenja prirodnog osvetljenja i osunčanja:
(1) maksimizirati upotrebu prirodnog osvetljenja uz omogućavanje pasivnih dobitaka toplotne energije zimi odnosno zaštite od pregrevanja leti adekvatnim zasenčenjem (forma objekta ili sistemi zasenčenja);
(2) toplotna energija koja kroz zastakljene površine ulazi u prostoriju treba da se ograniči u letnjem danu (kada sem difuznog postoji i direktno sunčevo zračenje).
5) optimizacija sistema prirodne ventilacije:
(1) otvore na zgradi, kao što su prozori, vrata, kanali za ventilaciju, projektovati tako da gubici toplote u zimskom periodu i toplotno opterećenje u letnjem periodu bude što manje;
(2) kada god je to moguće, otvore koncipirati tako da se maksimizira pasivno (prirodno) noćno hlađenje u letnjem periodu.
6) optimizacija strukture zgrade
(1) prema potrebama i nameni zgrade koristiti termičku masu za ostvarivanje toplotnog komfora u zimskom i letnjem periodu; termička masa treba da povećava termičku inerciju objekta, osim za objekte sa kratkotrajnim korišćenjem;
(2) primeniti visok kvalitet toplotne izolacije celokupnog termičkog omotača;
(3) izbegavati toplotne mostove;
(4) odabirom vrste materijala i bojom materijala minimizirati pojavu toplotnih ostrva.
7) korišćenje pasivnih i aktivnih sistema u zavisnosti od tipa zgrade, strukturu i omotač koncipirati tako da se maksimalno koriste pasivni i aktivni solarni sistemi i obezbedi zaštita od pregrevanja;
8) korišćenje voda - izvršiti analizu mogućnosti korišćenja padavina, podzemne i otpadne vode za potrebe zalivanja, spoljnih pranja i dr., kao i za grejanje i hlađenje zgrade; tehničke prostorije (rezervoar i pumpno postrojenje) koje se koriste u gore navedene svrhe, ukoliko su ukopane, ne uračunavaju se u indeks zauzetosti parcele.
4.2. Parametri za postizanje energetske efikasnosti postojećih zgrada:
1) voditi računa o očuvanju funkcionalne i oblikovne celovitosti zgrade:
(1) kada to nije isključeno drugim propisima, dozvoljeno je naknadno izvođenje spoljne toplotne izolacije zidova;
(2) kada je zid koji se sanira na regulacionoj liniji, dozvoljava se da debljina naknadne termoizolacije sa svim završnim slojevima bude do 15 cm unutar javnog prostora;
(3) kada je zid koji se sanira na granici sa susednom parcelom dozvoliti postavljanje naknadne spoljne izolacije debljine do 15 cm, uz saglasnost suseda;
(4) kada to prostorne okolnosti omogućavaju, dozvoljeno je naknadno formiranje staklenika ako se elaboratom dokaže poboljšanje energetske efikasnosti zgrade;
2) prilikom energetske sanacije postojećih zgrada, erkeri i drugi istureni delovi kao što su dvostruke fasade, staklenici, zastakljene terase i lođe - staklenici, čija se građevinska linija poklapa sa regulacionom linijom mogu prelaziti regulacionu liniju i to:
(1) maksimalno 0,6 m od građevinske linije ako je trotoar manji od 3,5 m i ako je rastojanje do susedne nasuprotne zgrade manje od 12 m i to maksimalno na 50% površine ulične fasade i na minimalnoj visini od 3 m iznad trotoara; izuzetno kod dvostrukih fasada dozvoljeno je celokupno pokrivanje fasade iznad minimalno dozvoljene visine;
(2) maksimalno 0,9 m od građevinske linije ukoliko je trotoar veći od 3,5 m, a širina ulice od 12 do 15 m i to maksimalno na 50% površine ulične fasade i na minimalnoj visini od 3 m iznad trotoara; izuzetno kod dvostrukih fasada dozvoljeno je celokupno pokrivanje fasade iznad minimalno dozvoljene visine;
(3) maksimalno 1,2 m ako je trotoar veći od 3,5 m, a širina ulice veća od 15 m i to na maksimalno 50% površine ulične fasade i na minimalnoj visini od 3 m iznad trotoara; izuzetno kod dvostrukih fasada dozvoljeno je celokupno pokrivanje fasade iznad minimalno dozvoljene visine;
(4) veći ispadi nadzemnih etaža u odnosu na građevinsku liniju od navedenih nisu dozvoljeni;
(5) ispadi na delovima objekata u kompaktnim blokovima orijentisani prema ulici ne smeju ugrožavati privatnost susednih objekata. Horizontalna projekcija linije ispada može biti najviše pod uglom od 45 stepeni od granice parcele objekta.
Prilikom projektovanja uzeti u obzir i planirani razvoj, odnosno, analizirati uticaj postojećih i planiranih susednih zgrada u skladu sa važećom urbanističkom regulativom.
USLOVI KOMFORA
Jedan od glavnih zadataka projektanta je da stvori okruženje unutar i van zgrade koje je podesno za sve aktivnosti korisnika koje se tu dešavaju, te u sklopu tehničke dokumentacije treba jasno navesti sve primenjene mere i tehnička rešenja za postizanje projektovanih parametara komfora.
Vazdušni komfor - kvalitet vazduha u zgradama obezbeđuju:
1) arhitektonske mere
(1) zgrade projektovati tako da maksimalno koriste prirodnu ventilaciju, težiti omogućavanju poprečne ventilacije;
(2) predvideti sisteme kontrole prirodne ventilacije kako bi se izbegao negativni osećaj promaje.
2) sistemi za kontrolu kvaliteta vazduha
(1) preporučuje se ugradnja sistema prinudne (veštačke) ventilacije sa propisanim brojem izmena na čas, gde nije moguće postići zahtevane karakteristike vazdušnog komfora prostora prirodnom ventilacijom;
(2) dovođenje svežeg vazduha prinudnom ventilacijom reguliše se prema stvarnim potrebama opterećenosti i vremenu kada se korisnici nalaze u prostoriji;
(3) svi objekti preko 500 m2, koji imaju prinudnu ventilaciju, moraju imati ugrađene razmenjivače toplote koji rekuperišu toplotu otpadnog vazduha, a minimalna dozvoljena vrednost efikasnosti rekuperatora je:
- rekuperatori voda - vazduh, zimski temperaturski stepen korisnosti, η ≥ 50%;
- rekuperatori vazduh - vazduh, zimski temperaturski stepen korisnosti, η ≥ 70%;
(4) ugradnja uređaja za rekuperaciju toplote nije obavezna kod ventilacije sa protokom vazduha do 300 m³/h i u posebnim slučajevima (npr. izvor toksičnih ili eksplozijskih materija) i u slučajevima kada je dokazano da to nije moguće izvesti;
(5) regenerativni razmenjivači toplote mogu se koristiti samo u slučajevima kada otpadni vazduh ne sadrži duvanski dim, neprijatne mirise ili druge štetne zagađivače.
Toplotni komfor se obezbeđuje tokom cele godine projektovanjem zgrade u skladu sa merama energetski efikasne arhitekture i drugim neophodnim arhitektonsko-građevinskim rešenjima:
1) pravilnim dimenzionisanjem elemenata omotača;
2) zaštitom od sunčevog zračenja;
3) korišćenjem termičke mase;
4) pasivnim/prirodnim noćnim hlađenjem;
5) toplotnim zoniranjem zgrade;
6) oblikovanjem zgrade, i/ili senilima ili zastorima u periodu pregrevanja, sprečiti uticaj direktnog sunčevog zračenja.
Ovim navedenim pasivnim merama obezbediti da se temperature u zgradi održavaju u granicama komfora u zavisnosti od namene objekta definisanog ovim pravilnikom.
Obezbediti da se uslovi temperaturnih nivoa u zgradi održavaju u granicama definisanim u Prilogu 6 - Tabeli 6.5 - Dobici toplote od ljudi i električnih uređaja koja je štampana uz ovaj pravilnik i čini njegov sastavni deo.
Tek pošto su iscrpljene sve arhitektonsko-građevinske mogućnosti za postizanje toplotnog komfora ovim metodama, mogu se uvesti sistemi za grejanje, hlađenje i ventilaciju.
Svetlosni komfor u zgradi obezbeđuje se uvođenjem prirodnog svetla i veštačkim osvetljenjem.
Uvođenjem prirodnog svetla:
1) primeniti mere neophodne za maksimalno uvođenje dnevne svetlosti u prostorije uz minimalno korišćenje veštačkog osvetljenja;
2) leti obezbediti maksimalan upad difuznog i minimalan upad direktnog sunčevog zračenja upotrebom senila i zastora;
3) sistemi zaštite od sunčevog zračenja moraju da omoguće dovoljnu količinu dnevne svetlosti u prostorijama bez korišćenja veštačkog osvetljenja;
4) obezbediti efikasnu kontrolu bljeska od sunčevog zračenja uz zadržavanje propisanog nivoa osvetljenosti;
Intenzitet veštačkog osvetljenja prostorija treba da bude projektovan u skladu sa namenom.
Zvučni komfor koji se odnosi na ljude i kao prijemnike i kao izvore zvuka postiže se sledećim merama:
1) adekvatnom izolacijom od vazdušnog zvuka unutrašnjih građevinskih elemenata (zidovi, tavanice, vrata);
2) adekvatnom izolacijom od vazdušnog zvuka spoljašnjih građevinskih elemenata (spoljašnji zidovi, fasadni otvori, krovni omotači);
3) adekvatnom izolacijom podova i zidova od zvuka udara;
4) prihvatljivim nivoom zvučnog pritiska zvukova u prostorijama, uključujući i bilo koji zvuk koji se koristi za maskiranje preslušavanja;
5) adekvatnim akustičkim odzivom prostorija ili prostora kojim se određuje čujnost i kvalitet korisnih zvukova;
6) adekvatnim projektovanjem sistema instalacija koje ne smeju da naruše prethodno navedene građevinske i arhitektonske mere za postizanje zvučnog komfora.
METODOLOGIJA ODREĐIVANJA ENERGETSKIH PERFORMANSI ZGRADA: ODREĐIVANJE GODIŠNJE POTREBNE TOPLOTE ZA GREJANJE, UKUPNE GODIŠNJE FINALNE I PRIMARNE ENERGIJE, GODIŠNJE EMISIJE CO2, REFERENTNI KLIMATSKI PODACI I PREPORUČENE VREDNOSTI ULAZNIH PARAMETARA ZA PRORAČUN
6.1 Metodologija određivanja energetskih performansi zgrada
Tabela 6.1 - Metodologija za određivanje godišnje potrebne toplote za grejanje
Veličina |
Način proračuna |
Primenjeni granični uslovi |
|||||||||||
1 |
2 |
3 |
|||||||||||
Godišnja potrebna energija za grejanje, QH,nd [kWh/a] |
Prema SRPS EN ISO 13790 |
Prema SRPS EN ISO 13790 *(važi za sisteme koji rade bez prekida u zagrevanju) |
|||||||||||
Specifična godišnja potrebna energija za grejanje, QH,an[kWh/m2a] |
Af - korisna površina zgrade [m2] |
Prema SRPS EN ISO 13790 |
|||||||||||
Godišnja potrebna energija za nadoknadu gubitaka toplote [kWh/a] |
QH,ht = (HT + HV) • 24 • HDD • 10-3 |
HDD - broj stepen dana za lokaciju zgrade (tabela 7.3) |
|||||||||||
Koeficijent transmisionog gubitka toplote HT[W/K] |
HTB = DUTB • A DUTB = 0,10 W/(m2•K) Srednja vrednost koeficijenta prolaza toplote za zgradu:
|
Prema SRPS EN ISO 13790 |
|||||||||||
Koeficijent ventilacionog gubitka toplote HV[W/K] |
V - zapremina grejanog prostora [m3]; n - broj izmena vazduha na čas [h-1] |
Prema SRPS EN ISO 13789: ra • cp = 1200 [J/(m3K) ], |
Veličina |
Način proračuna |
Primenjeni granični uslovi |
||||||||||||||||
1 |
2 |
3 |
||||||||||||||||
Faktor iskorišćenja dobitaka toplote za period grejanja hH,gn |
Prosečne vrednosti (sezonski ili mesečni metod): hH,gn = 0,98 - Srednje-teški tip gradnje; hH,gn = 0,90 - Laki tip gradnje. |
Prema SRPS EN ISO 13790: |
||||||||||||||||
Godišnja količina energije koja potiče od unutrašnjih dobitaka toplote Qint[kWh/a] |
Qint = Af • (qp + qE) |
Prema SRPS EN ISO 13790: Dobiti toplote od ljudi i električnih uređaja dati u tabeli 7.5 |
||||||||||||||||
Godišnja količina energije koja potiče od dobitaka usled Sunčevog zračenja Qsol[kWh/a] |
Qsol = Fsh • Asol • Isol • tsol, Fsh - Faktor osenčenosti zgrade: Za staklene spoljne površine: ggl - faktor propustljivosti Sunčevog zračenja u zavisnosti od vrste stakla:
|
Prema SRPS EN ISO 13790: Srednja vrednost:
|
||||||||||||||||
Godišnja potrebna energija za grejanje za sisteme koji rade sa prekidom, QH,nd,interm[kWh/a] |
QH,nd,interm = aH,red • QH,nd,
|
Prema SRPS EN ISO 13790: |
||||||||||||||||
Tabela 6.1a - Metodologija za određivanje ukupne godišnje potrebne energije:
Veličina |
Način proračuna |
Primenjeni granični uslovi |
|||
1 |
2 |
3 |
|||
Godišnja potrebna toplota za pripremu sanitarne tople vode, Qw[kWh/a] |
Qw = rW • cW • VW • (qW - q0) |
Prema SRPS EN 15316-3-1 rW • cW = 1,16 Specifična vrednost za različite tipove zgrada data je u tabeli 7.5 |
|||
Godišnji toplotni gubici sistema za grejanje, QH,ls[kWh/a] |
QH,ls = QH,em,ls + QH,dis,ls + QH,st,ls + QH,gen,ls, |
Prema SRPS EN 15316 |
|||
Godišnji toplotni gubici sistema za pripremu sanitarne toplote vode QW,ls[kWh/a] |
QW,ls = QW,dis,ls + QW,st,ls + QW, gen,ls |
Prema SRPS EN 15316 |
|||
Godišnja potrebna toplota QH[kWh/a] |
QH = QH,nd + QW + QH,ls + QW,ls |
Prema SRPS EN ISO 13790
|
|||
Godišnja potrebna energija za hlađenje, QC,nd[kWh/a] |
QC,nd = (Qint + Qsol) - hC,ls (QT + QV),
hC,ls - faktor iskorišćenja gubitaka toplote [-] |
||||
Godišnji gubici sistema za hlađenje QC,ls[kWh/a] |
Prema SRPS EN 15243 |
Prema SRPS EN 15243 |
|||
Godišnja potrebna energija za hlađenje, QC[kWh/a] |
QC = QC,nd + QC,ls |
|
|||
Godišnja potrebna energija za ventilaciju i klimatizaciju, QVe[kWh/a] |
Prema |
Prema |
|||
Godišnja potrebna energija za osvetljenje, El[kWh/a] |
Prema: |
Prema: |
Ukupna godišnja isporučena energija računa se kao zbir energija potrebnih za grejanje i pripremu sanitarne tople vode, za hlađenje, za ventilaciju i klimatizaciju, za grejanje, za osvetljenje i za rad pomoćnih sistema:
Edel = QH + Qc + Qve + EI + Qaux[kWh/a].
Tabela 6.2 - Stepen korisnosti postrojenja za grejanje
Ukupni stepen korisnosti postrojenja za grejanje obuhvata stepen korisnosti kotla, cevne mreže i sistema automatske regulacije:
η = ηk x ηc x ηr [-], čime su obuhvaćeni gubici sistema za grejanje QH,ls.
1. Kotlovi |
||||
Čvrsto gorivo |
Kotlovi bez regulacije |
0,65 |
||
Kotlovi do 50 kW sa ručnom regulacijom |
0,68 |
|||
Kotlovi preko 50 kW sa dobrom ručnom regulacijom |
0,72 |
|||
Kotlovi do 175 kW sa mehaničkom regulacijom |
0,75 |
|||
Kotlovi preko 175 kW sa dobrom mehaničkom regulacijom |
0,83 |
|||
Tečno gorivo |
Kotlovi do 50 kW sa ručnom regulacijom |
0,81 - 0,83 |
||
Kotlovi preko 50 kW sa automatskom regulacijom |
0,83 - 0,87 |
|||
Gasovito gorivo |
Kotlovi do 100 kW sa prirodnom promajom |
0,80 - 0,88 |
||
Kotlovi preko 100 kW sa prinudnom promajom |
0,88 - 0,94 |
|||
2. Cevna mreža |
||||
Neizolovana cevna mreža unutar termičkog omotača zgrade |
0,95 |
|||
Izolovana cevna mreža u delu negrejanog prostora zgrade |
0,98 |
|||
Predizolovane cevi toplovodne mreže daljinskog grejanja |
0,88 - 0,92 |
|||
3. Sistem regulacije |
||||
Način regulacije |
sa podelom na zone |
bez podele na zone |
||
Automatska centralna i lokalna regulacija |
1,0 |
0,95 |
||
Automatska centralna regulacija |
0,95 |
0,92 |
||
Ručna centralna regulacija |
0,92 |
0,90 |
||
Tabela 6.3 - Broj stepen dana za grejanje HDD i srednja temperatura grejnog perioda θH,mn za mesta u Republici Srbiji
MESTO |
HDD |
HD |
θH,mn |
MESTO |
HDD |
HD |
θH,mn |
|---|---|---|---|---|---|---|---|
Aleksinac |
2517 |
176 |
5,7 |
Leskovac |
2625 |
181 |
5,5 |
Beograd |
2520 |
175 |
5,6 |
Požarevac |
2588 |
181 |
5,7 |
Bečej |
2797 |
184 |
4,8 |
Negotin |
2818 |
183 |
4,6 |
Bor |
3100 |
200 |
4,5 |
Niš |
2613 |
179 |
5,4 |
Valjevo |
2784 |
192 |
5,5 |
Novi Sad |
2679 |
181 |
5,2 |
Vranje |
2675 |
182 |
5,3 |
Pančevo |
2712 |
182 |
5,1 |
Vršac |
2556 |
180 |
5,8 |
Pirot |
2610 |
180 |
5,5 |
Gornji Milanovac |
3078 |
208 |
5,2 |
Prokuplje |
2604 |
186 |
6 |
Divčibare |
3839 |
243 |
4,2 |
Senta |
2824 |
187 |
4,9 |
Zaječar |
2880 |
192 |
5 |
Smederevo |
2610 |
180 |
5,5 |
Zlatibor |
3728 |
239 |
4,4 |
Sombor |
2850 |
190 |
5 |
Zrenjanin |
2748 |
182 |
4,9 |
Sremski Karlovci |
2496 |
177 |
5,9 |
Jagodina |
2599 |
178 |
5,4 |
Sremska Mitrovica |
2738 |
185 |
5,2 |
Kikinda |
2763 |
183 |
4,9 |
Užice |
3015 |
201 |
5 |
Kopaonik |
5349 |
311 |
2,8 |
Čačak |
2755 |
190 |
5,5 |
Kragujevac |
2610 |
180 |
5,5 |
Ćuprija |
2380 |
163 |
5,4 |
Kraljevo |
2628 |
180 |
5,4 |
Šabac |
2588 |
181 |
5,7 |
Kruševac |
2654 |
183 |
5,5 |
Šid |
2686 |
184 |
5,4 |
Tabela 6.4 - Potrebna minimalna debljina termičke izolacije cevovoda i rezervoara
Spoljašnji prečnik [mm] |
30 - 83 |
89 - 159 |
191 - 267 |
292 - 394 |
219 - 521 |
Debljina izolacije [mm] |
40 |
50 |
60 |
70 |
80 |
Tabela 6.5 - Dobici toplote od ljudi i električnih uređaja (SRPS EN ISO 13790)
Tip zgrade |
1 |
2 |
3 |
4 |
5 |
6 |
7 |
8 |
9 Ostale zgrade |
Jedinica |
|||
Ulazni podaci |
Stambena zgrada sa jednim stanom |
Stambena zgrada sa više stanova |
Poslovna zgrada |
Zgrade namenjene obrazovanju |
Bolnice |
Restorani |
Trgovinski centri |
Sportski centri |
Sale za sastanke i prezentacije |
Industrijske zgrade |
Skladišta |
Unutrašnji bazeni |
|
Unutrašnja projektna temperatura za zimski period |
20 |
20 |
20 |
20 |
22 |
20 |
20 |
18 |
20 |
18 |
18 |
28 |
°C |
Unutrašnja projektna temperatura za letnji period |
26 |
26 |
26 |
26 |
26 |
26 |
26 |
26 |
26 |
26 |
26 |
28 |
°C |
Površina po osobi (zauzetost) |
60 |
40 |
20 |
10 |
30 |
5 |
10 |
20 |
5 |
20 |
100 |
20 |
m2/per |
Odavanje toplote po osobi |
70 |
70 |
80 |
70 |
80 |
100 |
90 |
100 |
80 |
100 |
100 |
60 |
W/per |
Odavanje toplote ljudi po jedinici površine |
1,2 |
1,8 |
4,0 |
7,0 |
2,7 |
20 |
9,0 |
5,0 |
16 |
5,0 |
1,0 |
3,0 |
W/m2 |
Prisutnost tokom dana (prosečno mesečno) |
12 |
12 |
6 |
4 |
16 |
3 |
4 |
6 |
3 |
6 |
6 |
4 |
h |
Godišnja potrošnja električne energije po jedinici površine grejanog prostora |
20 |
30 |
20 |
10 |
30 |
30 |
30 |
10 |
20 |
20 |
6 |
60 |
kWh/m2 |
Protok svežeg vazduha po jedinici površine grejanog prostora |
0,7 |
0,7 |
0,7 |
0,7 |
1,0 |
1,2 |
0,7 |
0,7 |
1,0 |
0,7 |
0,3 |
0,7 |
m3/(h•m2) |
Protok svežeg vazduha po osobi (obrok po osobi) |
42 |
28 |
14 |
7 |
30 |
6 |
7 |
14 |
5 |
14 |
30 |
14 |
m3/(h•per) |
Toplota potrebna za pripremu STV po jedinici površine grejanog prostora |
10 |
20 |
10 |
10 |
30 |
60 |
10 |
80 |
10 |
10 |
1,4 |
80 |
kWh/m2 |
Tabela 6.6 - Faktor osenčenosti zgrade usled okolnih objekata
Korekcioni faktor Fhor za 45° SGŠ |
|
|||
Ugao [o] |
J |
I,Z |
S |
|
0 |
1,00 |
1,00 |
1,00 |
|
10 |
0,97 |
0,95 |
1,00 |
|
20 |
0,85 |
0,82 |
0,98 |
|
30 |
0,62 |
0,70 |
0,94 |
|
40 |
0,46 |
0,61 |
0,90 |
|
Tabela 6.7 - Faktor osenčenosti zgrade usled nastrešnica
Korekcioni faktor Fov za 45° SGŠ |
Vertikalni presek
|
|||
Ugao [o] |
J |
I,Z |
S |
|
0 |
1,00 |
1,00 |
1,00 |
|
30 |
0,90 |
0,89 |
0,91 |
|
45 |
0,74 |
0,76 |
0,80 |
|
60 |
0,50 |
0,58 |
0,66 |
|
Tabela 6.8 - Faktor osenčenosti zgrade usled vertikalnih ispusta na fasadi
Korekcioni faktor Ffin za 45° SGŠ |
Horizontalni presek
|
|||
Ugao [o] |
J |
I,Z |
S |
|
0 |
1,00 |
1,00 |
1,00 |
|
30 |
0,94 |
0,92 |
1,00 |
|
45 |
0,84 |
0,84 |
1,00 |
|
60 |
0,72 |
0,75 |
1,00 |
|
Faktor zasenčenja, fS
Elementi za zasenčenje su elementi koji sprečavaju ili ograničavaju insolaciju: na osnovu topografije (uticaj položaja zgrade u odnosu na profil terena, u odnosu na susedne - zgrade koje je nadvišavaju i sl.); na osnovu konstruktivnog rešenja zgrade - izgleda spoljnjeg omotača (balkoni, lođe, istureni elementi - erkeri, prepusti, i sl.).; na osnovu posebnih (pomerljivih) elemenata za zasenčenje (novija rešenja).
Faktor zasenčenja, fS, može se izračunavati na pojednostavljeni način:
fS = 0,9 za nezasenčeni (nezaklonjeni) položaj;
fS = 0,6 za zasenčeni (zaklonjeni) položaj.
Efektivni stepen propustljivosti energije, gw:
Ukupan stepen propustljivosti energije transparentnih površina, g, je deo energije Sunčevog zračenja koja se kroz zastakljenje predaje prostoriji, pri toplotnom protoku koji je upravan na površinu (često se ova veličina obeležava sa g^, tj. g = g^).
Računske (projektne) vrednosti za ukupan stepen propustljivosti energije za različita zastakljenja, g, date su u tabeli 3.2.1 ovog priloga.
Usled zaprljanosti stakla i odstupanja u odnosu na upadni ugao (različito od 90°), efektivni stepen propustljivosti energije, gw, usvaja se sa vrednošću:
gw = 0,9 x g
Zimske bašte
Solarni dotoci toplote kroz zimske bašte mogu se određivati primenom pojednostavljenog postupka: uračunava se samo toplotni dotok koji se direktno dobija preko spoljašnjeg zastakljenja zimske bašte i prenosi se preko unutrašnjeg ostakljenja (ostakljenje između zgrade i na nju naslonjene zimske bašte) u prostoriju/-e; pri tome se u proračun uzimaju i eventualna zasenčenja od krova zimske bašte.
Transparentne toplotne izolacije
Transparentne toplotne izolacije pripadaju grupi novijih materijala. Toplotni dotoci kroz transparentne toplotne izolacije posebno se izračunavaju.
Tabela 6.9 - Srednje sume Sunčevog zračenja i srednja mesečna temperatura spoljnog vazduha
|
Mesec |
I |
II |
III |
IV |
V |
VI |
VII |
VIII |
IX |
X |
XI |
XII |
Zima |
Srednja mesečna temperatura (oC) |
0,9 |
3,0 |
7,3 |
12,5 |
17,6 |
20,6 |
22,3 |
22,0 |
17,7 |
12,7 |
7,2 |
2,6 |
5,6 |
|
S |
HOR |
42,75 |
60,35 |
103,86 |
133,65 |
170,43 |
181,23 |
192,83 |
170,43 |
127,58 |
88,94 |
45,50 |
33,87 |
398 |
J |
64,25 |
76,98 |
96,43 |
86,73 |
86,28 |
81,43 |
90,31 |
99,43 |
107,38 |
109,22 |
66,52 |
52,80 |
455 |
|
I, Z |
32,57 |
55,35 |
79,80 |
96,05 |
112,90 |
116,78 |
125,22 |
114,37 |
91,32 |
67,21 |
34,67 |
25,53 |
310 |
|
S |
17,42 |
22,38 |
36,04 |
44,64 |
55,69 |
56,88 |
58,27 |
52,83 |
38,78 |
29,16 |
17,93 |
14,31 |
145 |
|
|
||||||||||||||
HDD - 2520 |
585 |
458 |
370 |
102 |
0 |
0 |
0 |
0 |
0 |
101 |
373 |
531 |
|
Napomena: Vrednosti srednjih suma Sunčevog zračenja datih u tabeli 6.9 koriste se za proračun dobitaka toplote od Sunčevog zračenja za sve lokacije na teritoriji Republike Srbije.
Tabela 6.10 - Orijentacija u horizontalnoj ravni i nagibi kosih površina
Orijentacija fasadnih zidova* |
Uglovi nagiba kosih površina** |
|
|
*Napomena: Orjentacija fasadnih zidova zgrade definiše se prema pretežnoj orjentaciji ka jednoj od četiri strane sveta (istok, zapad, sever i jug) i u zavisnosti od pretežne orjentacije usvajaju se vrednosti srednjih suma Sunčevog zračenja iz tabele 6.9.
** Napomena: Ukoliko se proračun radi za kose fasadne elemente, potrebno je izvršiti korekciju srednjih suma sunčevog zračenja, i to na sledeći način:
1. za ugao nagiba -15°< g < +15° - ne vrši se korekcija, već se površina tretira kao vertikalna;
2. za ugao nagiba +30°< g < +75° - korekcija se vrši prema jednačini:
qsol = qsol,tab sin(90 - g);
3. za ugao nagiba +75°< g < +90° - ne vrši se korekcija, već se površina tretira kao horizontalna.
Tabela 6.11 - Dozvoljena godišnja potrošnja finalne energije
Zgrade moraju biti projektovane tako da ne premašuju dozvoljenu godišnju potrošnju energije propisanu u Tabeli 6.11.
* Napomena: Vrednosti definisane u koloni 2 u tabelama 6.11a i 6.11b privremenog su karaktera i na snazi su do usvajanja Nacionalnog Programskog Paketa za određivanje potrošnje energije.
Vrednosti iz kolone br. 3, tabela 6.11a i 6.11b proračunavaće se pomoću Nacionalnog Programskog Paketa za određivanje potrošnje energije, po usvajanju ovog paketa.
Tabela 6.11a - Dozvoljena godišnja potrošnja finalne energije - nove zgrade
RB. |
VRSTA ZGRADE |
Dozvoljena maksimalna godišnja potrošnja energije za grejanje |
Dozvoljena godišnja upotreba primarne energije za grejanje, hlađenje, sanitarnu toplu vodu, ventilaciju i veštačko osvetljenje |
|
1 |
2 |
3 |
1. |
stambene zgrade sa jednim stanom |
65 |
(proračun pomoću Nacionalnog Programskog Paketa) |
2. |
stambene zgrade sa dva ili više stanova |
60 |
(proračun pomoću Nacionalnog Programskog Paketa) |
3. |
upravne i poslovne zgrade |
55 |
(proračun pomoću Nacionalnog Programskog Paketa) |
4. |
zgrade namenjene obrazovanju |
65 |
(proračun pomoću Nacionalnog Programskog Paketa) |
5. |
zgrade namenjene zdravstvu i socijalnoj zaštiti |
100 |
(proračun pomoću Nacionalnog Programskog Paketa) |
6. |
zgrade namenjene turizmu i ugostiteljstvu |
90 |
(proračun pomoću Nacionalnog Programskog Paketa) |
7. |
zgrade namenjene sportu i rekreaciji |
80 |
(proračun pomoću Nacionalnog Programskog Paketa) |
8. |
zgrade namenjene trgovini i uslužnim delatnostima |
70 |
(proračun pomoću Nacionalnog Programskog Paketa) |
9. |
zgrade za druge namene koje koriste energiju uključujući i mešovite namene |
/ |
(proračun pomoću Nacionalnog Programskog Paketa) |
Tabela 6.11b - Dozvoljena godišnja potrošnja finalne energije - postojeće zgrade
RB |
VRSTA ZGRADE |
Dozvoljena maksimalna godišnja potrošnja energije za grejanje |
Dozvoljena godišnja upotreba PRIMARNE energije za grejanje, hlađenje, sanitarnu toplu vodu, ventilaciju i veštačko osvetljenje |
|
1 |
2 |
3 |
1. |
stambene zgrade sa jednim stanom |
75 |
(proračun pomoću Nacionalnog Programskog Paketa) |
2. |
stambene zgrade sa dva ili više stanova |
70 |
(proračun pomoću Nacionalnog Programskog Paketa) |
3. |
upravne i poslovne zgrade |
65 |
(proračun pomoću Nacionalnog Programskog Paketa) |
4. |
zgrade namenjene obrazovanju |
75 |
(proračun pomoću Nacionalnog Programskog Paketa) |
5. |
zgrade namenjene zdravstvu i socijalnoj zaštiti |
120 |
(proračun pomoću Nacionalnog Programskog Paketa) |
6. |
zgrade namenjene turizmu i ugostiteljstvu |
100 |
(proračun pomoću Nacionalnog Programskog Paketa) |
7. |
zgrade namenjene sportu i rekreaciji |
90 |
(proračun pomoću Nacionalnog Programskog Paketa) |
8. |
zgrade namenjene trgovini i uslužnim delatnostima |
80 |
(proračun pomoću Nacionalnog Programskog Paketa) |
9. |
zgrade za druge namene koje koriste energiju uključujući i mešovite namene |
/ |
(proračun pomoću Nacionalnog Programskog Paketa) |
Tabela 6.12 - Faktori pretvaranja za proračunavanje godišnje primarne energije za pojedine vrste izvora toplote
ENERGENT |
FAKTOR PRETVARANJA |
ulje za loženje |
1,2 |
gas |
1,1 |
ugalj |
1,3 |
drvena biomasa |
0,1 |
električna energija |
2,5 |
daljinsko grejanje na fosilna goriva |
1,8 |
daljinsko grejanje kogeneracijom |
1,0 |
Godišnja primarna energija za funkcionisanje zgrade određuje se tako što se godišnja dovedena energija za rad sistema u zgradi pomnoži sa faktorom pretvaranja određenim u tabeli 6.12.
Tabela 6.13 - Specifične emisije CO2 za pojedine vrste energenata
Energent |
Po jedinici goriva |
Po jedinici energije |
zemni gas |
1,9 kg/m3 |
0,20 kg/kWh |
tečni naftni gas |
2,9 kg/kg |
0,215 kg/kWh |
ekstra lako ulje za loženje |
2,6 kg/l |
0,265 kg/kWh |
lako ulje za loženje |
3,2 kg/kg |
0,28 kg/kWh |
daljinska toplota |
0,33 kg/kWh |
0,33 kg/kWh* |
električna energija |
0,53 kg/kWh |
0,53 kg/kWh |
smeđi ugalj (domaći) |
1,5 kg/kg |
0,32 kg/kWh |
smeđi ugalj (strani) |
1,88 kg/kg |
0,40 kg/kWh |
lignit (domaći) |
1,0 kg/kg |
0,33 kg/kWh |
*Napomena: Podaci se koriste u slučaju kada isporučilac energenta ne navede emisiju za svoj izvor energenata, odnosno energije.
Proračun emisije CO2 i pokazatelji:
1) emisije CO2, koje nastanu tokom funkcionisanja objekta, određuju se na osnovu podataka specifične emisije CO2 za pojedine izvore energije, tako što se godišnja potrebna primarna energija za funkcionisanje objekta, prema određenom izvoru energije, pomnoži pripadajućim podatkom specifične emisije CO2, koji je dat u tabeli 6.13 ovog pravilnika i vrednosti saberu;
2) pokazatelji emisije CO2 izražavaju se u obliku godišnjih emisija CO2 [kg/a] i specifičnih godišnjih emisija na jedinicu površine CO2 [kg/m2a].
ENERGETSKI POKAZATELJI ZA RASHLADNE AGREGATE KOJI SE KORISTE ZA POTREBE HLAĐENJA U ZGRADAMA
Tabela 7.1 - Energetski pokazatelji za različite vrste rashladnih agregata
Vrsta rashladnih agregata (RA) |
EER |
COP |
ESEER |
Proba po: |
prEN 14511 |
prEN 14511 |
Euro |
Vazdušno hlađeni RA |
2,90 |
3,00 |
3,00 |
Vazdušno hlađeni RA sa priključnim kanalima |
2,50 |
2,80 |
3,00 |
Vazdušno hlađeni RA za površinsko hlađenje/grejanje |
3,65 |
3,90 |
4,20 |
Vodeno hlađeni RA - svi do 1500 kW |
4,65 |
4,15 |
4,25 |
Vodeno hlađeni RA - spiralni, vijčani kompr. do 500 kW |
- |
- |
5,00 |
Vodeno hlađeni RA - vijčani kompr. 500-1000 kW |
|
|
5,00 |
Vodeno hlađeni RA - centrif. kompresor do |
- |
- |
5,15 |
Vazdušno hlađeni RA za površinsko hlađenje/grejanje |
4,9 |
4,2 |
5,00 |
RA sa udaljenim |
3,4 |
- |
3,60 |
Absorpcioni - vazdušno/vodeno hlađeni, |
- |
- |
- |
* COP važi za merenja po ARI i ekvivalentan je EER bez uzimanja u obzir dodatne električne snage.
* EER i COP važe za pojedinu jedinicu. Vrednosti važe za vazdušno hlađene rashladne agregate do 600 kW i vodeno hlađene do 1500 kW, osim tamo gde su navedene veće snage. U projektu treba navesti podatak o korišćenoj vrednosti.
Tabela 7.2 - Faktor energetske efikasnosti EER, vodeno hlađeni sistemi
Rashladni medijum |
Rashladna voda* |
Hlađena voda izlaz °C |
Prosečna temperatura isparavanja °C |
EER |
||
Klipni ili spiralni kompresor od 10 kW do 1,5 MW |
Vijačni kompresor od 200 kW do 2 MW |
Turbinski |
||||
R134a |
27/33 |
6 |
0 |
4,0 |
4,5 |
5,2 |
14 |
8 |
4,6 |
5,3 |
5,9 |
||
40/45 |
6 |
0 |
3,1 |
2,9 |
4,1 |
|
14 |
8 |
3,7 |
3,7 |
4,8 |
||
R407c |
27/33 |
6 |
0 |
3,8 |
4,2 |
- |
14 |
8 |
4,4 |
4,9 |
- |
||
40/45 |
6 |
0 |
3,0 |
2,7 |
- |
|
14 |
8 |
3,6 |
3,3 |
- |
||
R410A |
27/33 |
6 |
0 |
3,6 |
- |
- |
14 |
8 |
4,2 |
- |
- |
||
40/45 |
6 |
0 |
2,8 |
- |
- |
|
14 |
8 |
3,3 |
- |
- |
||
R717 |
27/33 |
6 |
0 |
- |
4,6 |
- |
14 |
8 |
- |
5,4 |
- |
||
40/45 |
6 |
0 |
- |
3,1 |
- |
|
14 |
8 |
- |
3,7 |
- |
||
* suvi sistem: 40/45
* sistem isparavanja: 27/33
Tabela 7.3 - Faktor energetske efikasnosti EER, vazdušno hlađeni sistemi
Rashladni medijum |
Hlađena voda izlaz °C |
Prosečna temperatura isparavanja °C |
EER |
|
Klipni ili spiralni kompresor 10 kW - 1,5 MW |
Vijčani kompresor |
|||
R134a |
6 |
0 |
2,8 |
3,0 |
14 |
8 |
3,5 |
3,7 |
|
R407c |
6 |
0 |
2,5 |
2,7 |
14 |
8 |
3,2 |
3,4 |
|
R410A |
6 |
0 |
2,4 |
- |
14 |
8 |
3,1 |
- |
|
R717 |
6 |
0 |
- |
3,2 |
14 |
8 |
- |
3,9 |
|
Tabela 7.4 - Faktor energetske efikasnosti EER za sobne rashladne uređaje, vazdušno hlađeni sistemi, čiji je rashladni učinak manji od 12 kW
Vrsta rashladnog uređaja |
EER |
Kompaktna jedinica montirana na prozoru |
2,6 |
Split sistem |
2,7 |
Multi - split sistem |
2,9 |
Tabela 7.5 - Faktor energetske efikasnosti EER za sobne rashladne uređaje, vazdušno hlađeni sistemi, čiji je rashladni učinak veći od 12 Kw
Vrsta rashladne jedinice |
EER |
VRF sistem (variable refrigerant flow) |
3,5 |














