PRAVILNIK O GRANICAMA SADRŽAJA RADIONUKLIDA U VODI ZA PIĆE, ŽIVOTNIM NAMIRNICAMA, STOČNOJ HRANI, LEKOVIMA, PREDMETIMA OPŠTE UPOTREBE, GRAĐEVINSKOM MATERIJALU I DRUGOJ ROBI KOJA SE STAVLJA U PROMET("Sl. glasnik RS", br. 36/2018) |
Ovim pravilnikom propisuju se granice sadržaja radionuklida u vodi za piće, životnim namirnicama, stočnoj hrani, lekovima, predmetima opšte upotrebe, građevinskom materijalu i drugoj robi koja se stavlja u promet.
Zabranjeno je dodavanje radionuklida u vodu za piće, životne namirnice, stočnu hranu, igračke, sredstva za održavanje lične higijene, negu i ulepšavanje lica i tela u procesu proizvodnje.
Zabranjen je uvoz i izvoz robe iz stava 1. ovog člana u koju su namerno dodati radionuklidi.
Pojedini izrazi, upotrebljeni u ovom pravilniku, imaju sledeće značenje:
1. Bekerel (Bq) je naziv jedinice za aktivnost. Jedan bekerel je ekvivalentan jednom raspadu u sekundi: 1 Bq = 1 s-1;
2. Voda za piće je voda namenjena za ljudsku upotrebu i obuhvata:
a) vodu u njenom originalnom stanju ili nakon tretmana, namenjena za piće, kuvanje, pripremu hrane ili druge potrebe domaćinstva, bez obzira na njeno poreklo i da li se njome snabdeva iz distributivne mreže, cisterne, ili u bocama ili posudama;
b) vodu koja se koristi u bilo kojem preduzeću za proizvodnju hrane u svrhe prerade, očuvanja ili plasiranja na tržište proizvoda ili supstanci namenjenih za ljudsku upotrebu osim ako organi nadležni za ocenu kvaliteta vode ne utvrde da kvalitet vode ne može da utiče na zdravstvenu ispravnost hrane u njenom konačnom obliku;
3. Godišnja granica unošenja (GGU), za pojedinca je aktivnost radionuklida koja bi unošenjem u organizam proizvela očekivanu dozu jednaku propisanim granicama doze;
4. Grej (Gy) je naziv za jedinicu apsorbovane doze. Jedan grej je ekvivalentan jednom džulu po kilogramu: 1 Gy = 1 J kg-1;
5. Životna namirnica jeste svaka supstanca ili proizvod, prerađena, delimično prerađena ili neprerađena, a namenjena je za ishranu ljudi ili se opravdano može očekivati da će se koristiti za ljudsku upotrebu, osim hrane za životinje koje ne služe za proizvodnju hrane, živih životinja, ako nisu pripremljene za stavljanje u promet radi ishrane ljudi, biljaka pre žetve, berbe ili ubiranja plodova, medicinskih proizvoda, kozmetičkih proizvoda, duvana i duvanskih proizvoda, narkotika ili psihotropnih supstanci, ostataka (rezidua) i kontaminenata.
Životne namirnice jesu i piće, guma za žvakanje, kao i bilo koja supstanca namenski dodata hrani tokom pripreme, obrade ili proizvodnje;
6. Izvedene koncentracije radionuklida (IK) u životnoj sredini su vrednosti kontaminacije životne sredine koje su na osnovu standardizovanih modela izvedene iz primarnih ili sekundarnih granica i čijom se upotrebom obezbeđuje da propisane granične vrednosti efektivne doze ne budu prekoračene;
7. Indikativna doza predstavlja očekivanu efektivnu doza za godinu dana ingestije vode za piće koja proizlazi od svih radionuklida, prirodnog ili veštačkog porekla, čije je prisustvo otkriveno u isporuci vode namenjene za ljudsku potrošnju, ali isključujući tricijum, kalijum-40, radon i njegove kratkoživeće potomke;
8. Parametarska vrednost je parametar prisustva radioaktivne supstance u vodi namenjenoj za piće iznad koje se procenjuje da li prisustvo radioaktivne supstance u vodi za piće predstavlja rizik za zdravlje ljudi koji zahteva primenu mera zaštite i, po potrebi, preduzimaju mere sanacije za unapređenje kvaliteta vode do nivoa koji je u skladu sa zahtevima za zaštitu zdravlja ljudi sa stanovišta zaštite od zračenja;
9. Predmeti opšte upotrebe u smislu ovog pravilnika jesu:
1) posuđe, pribor, postrojenja, uređaji i ambalaža za namirnice,
2) dečije igračke,
3) sredstva za održavanje lične higijene, negu i ulepšavanje lica i tela i ambalaža za ta sredstva,
4) sredstva za održavanje čistoće,
5) duvan, duvanske prerađevine i pribor za pušenje,
6) određeni predmeti koji pri upotrebi dolaze u neposredan dodir sa kožom ili sluznicom;
10. Referentni nivo je nivo efektivne doze ili ekvivalentne doze ili specifične aktivnosti u situaciji vanrednog ili postojećeg izlaganja, iznad kojih se smatra neprikladnim dopustiti da dođe do izlaganja usled te situacije izlaganja, čak iako to nije granična vrednost koja ne sme biti prekoračena;
11. Sivert je naziv jedinice za ekvivalentnu ili efektivnu dozu. Jedan sivert je ekvivalentan jednom džulu po kilogramu: 1 Sv = 1 J kg-1;
12. Stočna hrana jeste svaka supstanca ili proizvod, prerađena, delimično prerađena ili neprerađena, a namenjena je za ishranu životinja koje služe za proizvodnju hrane.
Parametri povezani sa granicama sadržaja
Granice sadržaja radionuklida u vodi za piće, životnim namirnicama, stočnoj hrani, lekovima i drugoj robi koja se stavlja u promet određene su granicom izlaganja jonizujućim zračenjima, ukoliko nije drugačije određeno i količinom vode ili životnih namirnica koje se konzumiraju u toku godine i jednake su izvedenim koncentracijama radionuklida u vodi za piće, životnim namirnicama, stočnoj hrani, lekovima.
Za predmete opšte upotrebe propisani parametar je granica izlaganja.
Za građevinski materijal se propisuju gama indeks i referentni nivo spoljašnjeg zračenja u zatvorenom prostoru.
Izvedene koncentracije radionuklida u vodi za piće, IKv, za stanovništvo izračunavaju se na sledeći način:

gde su:
GD - granična vrednost efektivne doze za pojedinca iz stanovništva. Za izračunavanje izvedenih koncentracija radionuklida u vodi za piće za GD se uzima vrednost od 0,1 mSv/god;
e(g)n,ing [Sv/Bq] - primljena efektivna doza pri jediničnom unošenju radionuklida n ingestijom
V [l] - prosečan godišnji unos vode za piće po stanovniku (730 l), prema podacima Svetske zdravstvene organizacije.
Izvedene koncentracije pojedinačnih radionuklida u vodi za piće su navedene u Prilogu I (koji je deo ovog pravilnika).
Parametarske vrednosti koje se primenjuju za ispitivanja u okviru monitoringa radioaktivnosti vode za piće su date u prilogu I.
Ako su izmerene vrednosti ukupne alfa i ukupne beta aktivnosti u vodi za piće iznad vrednosti datih u prilogu I, vrši se identifikacija i određivanje sadržaja radionuklida. Voda za piće se ne može zabraniti na osnovu izmerenih vrednosti ukupne alfa i ukupne beta aktivnosti, ukoliko nije određen sadržaj pojedinačnih radionuklida.
U cilju provere saglasnosti sa parametarskim vrednostima datim u prilogu I, monitoring vode za piće se vrši u skladu sa Pravilnikom o utvrđivanju programa sistematskog ispitivanja radioaktivnosti u životnoj sredini.
Izvedena koncentracija radionuklida u hrani, (IKh) za stanovništvo se izračunava na sledeći način:

gde su:
GD - granična vrednost efektivne doze za pojedinca iz stanovništva. Za izračunavanje izvedenih koncentracija radionuklida u hrani koja je u najvećem procentu zastupljena u ishrani (povrće, voće, žitarice, meso i proizvodi od mesa, jaja, mleko i mlečni proizvodi, svinjska mast, ulje, šećer, slatkiši, alkoholna i bezalkoholna pića) za GD se uzima vrednost od 0,1 mSv/god;
e(g)n,ing [Sv/Bq] - primljena efektivna doza pri jediničnom unošenju radionuklida n ingestijom
m [kg] - količina hrane koju pojedinac iz stanovništva unese za godinu dana, a prema podacima statističkih istraživanja Republičkog zavoda za statistiku.
Granice sadržaja radionuklida u vodi za napajanje životinja jednake su granicama koje su propisane za vodu za piće.
Granice sadržaja radionuklida u lekovima jednake su granicama sadržaja propisanim za vodu za piće. Za lekove u čvrstom stanju, granice sadržaja jednake su granicama propisanim za vodu za piće, izraženim u Bq/kg, pri čemu se zapremina od 1 l vode za piće zamenjuje masom od 1 kg.
Odredba stava 1. ovog člana ne odnosi se na radiofarmaceutske preparate.
Prisustvo veštačkih radionuklida u sredstvima za održavanje lične higijene, negu i ulepšavanje lica i tela i dečjim igračkama nije dozvoljeno.
Sadržaj prirodnih radionuklida u proizvodima iz stava 1. ne sme da doprinese povećanju doze za stanovništvo iznad 1 mSv/god.
Granica sadržaja 137Cs u mleku i mlečnim proizvodima, hrani za odojčad, povrću, voću, žitaricama, mesu i proizvodima od mesa, jajima, ostalim namirnicama kao što su svinjska mast, ulje, šećer, slatkiši, alkoholnim i bezalkoholnim pićima je 15 Bq/kg, odnosno 15 Bq/l.
Granica sadržaja 137Cs u mleku u prahu, bobičastom divljem voću (borovnica, brusnica, kupine, jagode, maline, ribizle, ogrozd), divljači, ribi, morskim plodovima, pečurkama (svežim i proizvodima od pečuraka), lekovitom bilju, čajevima i kafi je 150 Bq/kg, odnosno 150 Bq/l.
Granica sadržaja 137Cs u suvim pečurkama, aromama, začinima i ostalim namirnicama koje se koriste manje od 2 kg godišnje po glavi stanovnika je 600 Bq/kg, odnosno 600 Bq/l.
Granica sadržaja prirodnih radionuklida u mineralnim đubrivima iznosi:
1) za uranijum (238U):
- 1600 Bq/kg, i to za mineralna đubriva koja sadrže makrohranljivi element fosfor, a koja se kao takva stavljaju u promet i primenjuju,
- 3200 Bq/kg, i to za komponente za proizvodnju mineralnih đubriva koja sadrže makrohranljivi element fosfor;
2) za radijum (226Ra): 1000 Bq/kg, i to za mineralna đubriva koja sadrže makrohranljivi element fosfor, a koja se kao takva stavljaju u promet i primenjuju, kao i za sirovine za njihovu proizvodnju;
3) za kalijum (40K): 27000 Bq/kg, i to za mineralna đubriva koja sadrže makrohranljive elemente kalijum i/ili fosfor, a koja se kao takva stavljaju u promet i primenjuju, kao i za komponente za njihovu proizvodnju.
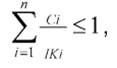
Ako roba koja se stavlja u promet sadrži dva ili više poznata radionuklida, granice sadržaja radionuklida moraju da zadovolje sledeći uslov:

cn [Bq/l, Bq/kg] - koncentracija nekog radionuklida (n) u robi koja se stavlja u promet;
IKn [Bq/l, Bq/kg] - izvedena koncentracija nekog radionuklida (n) u robi koja se stavlja u promet.
Referentni nivo za spoljašnje zračenje u zatvorenom prostoru, koje potiče od gama emitera iz građevinskog materijala ne uključujući spoljašnje zračenje na otvorenom prostoru, je 1mSv godišnje.
Za građevinske materijale koje je Agencija identifikovala kao značajne sa stanovišta zaštite od zračenja, a uzimajući u obzir indikativnu listu materijala iz priloga II, pre stavljanja u promet se:
a) određuje sadržaj radionuklida iz priloga II i,
b) na zahtev, Agenciji dostavljaju rezultati merenja i odgovarajući gama indeksi, kao i drugi relevantni podaci, kako je propisano u prilogu II.
Za građevinske materijale identifikovane u skladu sa stavom 2, koji mogu da doprinesu prekoračenju referentnog nivoa, mogu se primeniti odgovarajuće mere uključujući ograničenje upotrebe građevinskog materijala. Mere za ograničenje upotrebe građevinskog materijala, koje propisuje Agencija, mogu da uključe ograničenja u nameni i količini materijala koji može da se upotrebi za predviđenu namenu.
Sadržaj radionuklida u predmetima opšte upotrebe ne sme da bude iznad nivoa koji može da doprinese povećanju doze za stanovništvo iznad 1 mSv/god.
Pri proceni doze uzima se u obzir sadržaj radionuklida u ispitivanoj robi, namena ispitivane robe i način upotrebe ispitivane robe.
U slučaju da Agencija raspolaže zvaničnim informacijama o akcidentima ili drugim radiološkim vanrednim događajima, koje ukazuju na mogućnost kontaminacije životnih namirnica radionuklidima, a u slučaju da okolnosti tako zahtevaju, primenjuju se granice sadržaja radionuklida u životnim namirnicama navedene u Tabeli 2. i granice sadržaja radionuklida u stočnoj hrani navedene u Tabeli 3.
Period primene granica navedenih u Prilogu III, tabela 1. i tabela 3. je što je moguće kraći, a najkraće dok traju uslovi iz stava 1. ovog člana.
Životne namirnice i stočna hrana koji nisu u skladu sa granicama sadržaja radionuklida navedenim u Prilogu III, tabela 1. i tabela 3, za vreme dok su ove granice na snazi, ne mogu se staviti u promet.
Danom stupanja na snagu ovog pravilnika, prestaje da važi Pravilnik o granicama sadržaja radionuklida u vodi za piće, životnim namirnicama, stočnoj hrani, lekovima, predmetima opšte upotrebe, građevinskom materijalu i drugoj robi koja se stavlja u promet ("Službeni glasnik RS", br. 86/11 i 97/13).
Ovaj pravilnik stupa na snagu osmog dana od dana objavljivanja u "Službenom glasniku Republike Srbije".
PROCENA USKLAĐENOSTI REZULTATA MERENJA SA PARAMETARSKIM VREDNOSTIMA
1. Parametarske vrednosti za radon, tricijum i indikativnu dozu za vodu za piće
Tabela 1. Parametarske vrednosti za radon, tricijum i indikativnu dozu za vodu za piće
Parametar |
Parametarska vrednost |
Radon1 |
100 Bq/l |
Tricijum2 |
100 Bq/l |
Indikativna doza3 |
0,10 mSv |
Napomene: |
|
1 |
a) Sadržaj radona koji ne bi trebalo prekoračiti, a ispod koga treba nastaviti sa optimizacijom zaštite, ne ugrožavajući vodosnabdevanja na nacionalnom ili regionalnom nivou |
|
b) Mere sanacije smatraju se opravdanim po osnovu radiološke zaštite, bez daljeg razmatranja, ako koncentracije radona prelaze 1000 Bq/l. |
2 |
Povišeni nivoi tricijuma mogu ukazati na prisustvo drugih veštačkih radionuklida. Ako koncentracija tricijuma prelazi parametarsku vrednost, treba izvršiti analizu prisustva drugih veštačkih radionuklida. |
3 |
Doprinos efektivnoj dozi koji potiče od unosa tricijuma 3H, kalijuma 40K, radona 222Rn, i torona 220Rn i radonovih potomaka vodom namenjenom za ljudsku potrošnju nije uračunat u graničnu vrednost efektivne doze od 0,1 mSv/god. |
2. Merenja radi procene usklađenosti sa indikativnom dozom
Procena usklađenosti sa indikativnom dozom se vrši merenjem ukupne alfa i ukupne beta aktivnosti.
Ako su ukupna alfa aktivnost ili ukupna beta aktivnost manje od 0,1 Bq/l i 1,0 Bq/l, respektivno, pretpostavlja se da je indikativna doza manja od parametarske vrednosti 0,1 mSv i da nisu potrebna dalja radiološka ispitivanja, osim ako na osnovu drugih izvora informacija ne postoje saznanja o prisustvu radionuklida koji mogu dovesti do vrednosti za indikativnu dozu većih od 0,1 mSv.
Ako je ukupna alfa aktivnost veća od 0,1 Bq/l ili je ukupna beta aktivnost veća od 1,0 Bq/l, potrebna je analiza pojedinačnih radionuklida.
Ako su dostupni rezultati ispitivanja pojedinačnih radionuklida u vodi za piće i ako njihove koncentracije prelaze 20% odgovarajuće vrednosti izvedenih koncentracija ili sadržaj tricijuma prelazi parametarsku vrednost iz tabele 1 priloga I, tada se vrši dodatna analiza sadržaja radionuklida.
Radionuklide koji se određuju propisuje Agencija uzimajući u obzir sve relevantne informacije o mogućim izvorima i poreklu radioaktivnosti.
3. Izračunavanje indikativne doze
Indikativna doza se izračunava iz izmerenih vrednosti sadržaja radionuklida i doznih koeficijenata datih u Publikaciji 119 Međunarodne komisije za zaštitu od zračenja (International Commission on Radiological Protection, Publication 119 "Compendium of Dose Coefficients based on ICRP Publication 60", Elsevier Ltd 2012 ISBN 978-1-4557-5430-4) ili novijih vrednosti koje je prihvatila Agencija, i na osnovu prosečnog godišnjeg unošenja vode (730 l za odrasle).
Kada su ispunjeni uslovi iz sledeće jednačine,

gde je:
Ci = koncentracija radionuklida i
IKi = izvedena koncentracija radionuklida i
n = broj detektovanih radionuklida
smatra se da je rezultujuća doza manja od 0,1 mSv i nisu potrebna druga merenja.
Izvedene koncentracije pojedinačnih radionuklida u vodi za piće1
Radionuklid |
Izvedena koncentracija (Bq/l) |
|
Prirodni radionuklidi |
U-2382 |
3,0 |
U-2342 |
2,8 |
|
Ra-226 |
0,5 |
|
Ra-228 |
0,2 |
|
Pb-210 |
0,2 |
|
Po-210 |
0,1 |
|
Veštački radionuklidi |
C-14 |
240 |
Sr-90 |
4,9 |
|
Pu-239/Pu-240 |
0,6 |
|
Am-241 |
0,7 |
|
Co-60 |
40 |
|
Cs-134 |
7,2 |
|
Cs-137 |
11 |
|
I-131 |
6,2 |
Napomene: |
|
1 |
Tabela sadrži vrednosti za izvedene koncentracije prirodnih ili veštačkih radionuklida koji se najčešće mogu pojaviti, a izračunavaju se na osnovu doze od 0,1 mSv, prosečnog godišnjeg unosa vode od 730 litara i doznog koeficijenta datog u Pravilniku o granicama radioaktivne kontaminacije lica, radne i životne sredine i načinu sprovođenja dekontaminacije. Izvedene koncentracije drugih radionuklida se mogu izračunati na isti način i po potrebi obnavljati u skladu sa novijim informacijama dostupnim Agenciji. |
2 |
Vrednosti su dobijene samo razmatranjem radioloških svojstava uranijuma, njegova hemijska toksičnost nije uzeta u obzir. |
DEFINICIJA I UPOTREBA GAMA INDEKSA GRAĐEVINSKIH MATERIJALA IZ ČL. 4 I 15.
Radi sprovođenja odredbi člana 15 u građevinskim materijalima se vrši određivanje sadržaja sledećih prirodnih radionuklida: Ra-226, Th-232 (ili Ra-228) i K-40 i na osnovu dobijenih vrednosti izračunava gama indeks prema jednačini:

gde su:
CRa - koncentracija radijuma (226Ra) u Bq/kg;
CTh - koncentracija torijuma (232Th) u Bq/kg;
CK - koncentracija kalijuma (40K) u Bq/kg.
Gama indeks se odnosi na dozu gama zračenja, iznad uobičajenog izlaganja zračenju na otvorenom, u zgradi izgrađenoj od građevinskog materijala za koji se računa indeks. Indeks se primenjuje na građevinski materijal, a ne na njegove komponente, osim u slučaju kada te komponente i same predstavljaju građevinske materijale i posebno se procenjuju kao takve. Za primenu indeksa na takve komponente, naročito na ostatke iz industrija koje obrađuju prirodni radioaktivni materijal reciklirane u građevinski materijal, treba primenjivati odgovarajući faktor udela. Materijal za koji se utvrdi da ima gama indeks jednak ili veći od 1, može uzrokovati prekoračenje referentnog nivoa iz člana 15. Kao konzervativni alat za skrining kojim se utvrđuju materijali koji mogu uzrokovati prekoračenje referentnog nivoa iz člana 15, može se koristiti vrednost gama indeksa od 1 (I = 1). Pri izračunavanju doze koja potiče od građevinskog materijala treba uzeti u obzir i druge faktore, kao što su gustina i debljina materijala, kao i faktore koji se odnose na vrstu zgrade i namenu materijala (da li se materijal koristi u masi ili površinski).
Indikativna lista građevinskih materijala koji se razmatraju u smislu emitovanja gama zračenja i primene odredbi člana 15:
1) Prirodni materijali
a) aluminijumski škriljac,
b) građevinski materijali ili aditivi prirodnog vulkanskog porekla, kao što su:
- granitoidi (kao što su granit, sijenit i ortognajs); porfiri; sedrapucolan (pucolanski prah); lava.
2) Materijali koji sadrže ostatke industrija koje obrađuju prirodni radioaktivni materijal, kao što su:
- leteći pepeo; fosforni gips; fosforna šljaka; kalaj šljaka; bakarna šljaka; crveni mulj (ostaci od proizvodnje aluminijuma); ostaci od proizvodnje čelika.
Tabela 1. Granice sadržaja radionuklida u hrani posle akcidenta (Bq/kg ili Bq/l)
Hrana za bebe1 |
Mleko i mlečni proizvodi |
Hrana, osim ređe korišćene hrane |
Tečna hrana2 |
Ređe korišćena hrana3 |
|
Izotopi stroncijuma, naročito 90Sr |
75 |
125 |
750 |
125 |
7500 |
Izotopi joda, 131I |
150 |
500 |
2000 |
500 |
20000 |
Alfa nestabilni izotopi plutonijuma, transplutonijumski elementi, naročito 239Pu, 241Am |
1 |
20 |
80 |
20 |
800 |
Svi ostali nuklidi sa vremenom poluraspada većim od 10 dana, naročito 134Cs, 137Cs (isključujući 14C, 3H, 40K) |
400 |
1000 |
1250 |
1250 |
12500 |
1 |
Hrana za bebe - hrana namenjena deci u toku prve godine života, koja je kao takva deklarisana |
2 |
Tečna hrana - piće, alkoholi i sirće u skladu sa glavom 22 Uredbe o usklađivanju nomenklature Carinske tarife |
3 |
Ređe korišćena hrana navedena je u Tabeli 2. |
Tabela 2. Ređe korišćena hrana
Beli luk |
Trifle (tartufi) |
Kapar |
Kapar (privremeno konzervisan, ali u takvom stanju nepodesno za neposrednu ishranu |
Trifle (sušene, cele, sečene u komade ili mlevene, ali dalje nepripremljene) |
Manioka, arorut, salep, topinambur, slatki krompir i slično korenje i krtole s visokim sadržajem skroba ili inulina, sveži, rashlađeni, smrznuti ili sušeni, celi, sečeni ili u obliku peleta; srž od sago drveta |
Kore od agruma ili dinja i lubenica, sveže, smrznute, suve ili privremeno konzervisane u slanoj vodi, sumporisanoj vodi ili u drugim rastvorima za konzervisanje |
Mate čaj |
Biber roda Piper; suva, drobljena ili mlevena paprika roda Capsicum ili roda Pimenta |
Vanila |
Cimet i cvet od cimetovog drveta |
Karanfilić (celi plodovi, pupoljci i peteljke) |
Muškatni orah, macis i kardamom |
Seme anisa, badijana, komorača, korijandera, kumina ili kima; bobice kleke |
Đumbir, šafran, kurkuma, majčina dušica, lorber u listu, kari i ostali začini |
Brašno, griz ili prah od sagoa ili od korenja ili krtola manioke, aroruta, salepa, topinambura, slatkog krompira i sličnog korenja i krtola s visokim sadržajem skroba ili inulina, svežih, rashlađenih, smrznutih ili sušenih, celih, sečenih ili u obliku peleta; srži od sago drveta |
Skrob od manioke |
Hmelj, svež ili sušen, uključujući drobljen ili mleven ili u obliku peleta; lupulin |
Bilje i delovi bilja (uključujući semenje i plodove) sveže ili sušeno, sečeno ili celo, drobljeno ili mleveno, vrsta koje se prvenstveno upotrebljavaju u proizvodnji mirisa, farmaciji ili za insekticide, fungicide ili slične svrhe |
Šelak, prirodne gume, smole, gumi-smole i uljane smole (npr. balzami) |
Biljni sokovi i ekstrakti; pektinske materije, pektinati i pektati; agar-agar i ostale sluzi i zgušnjivači, dobijeni od biljnih proizvoda, modifikovani ili nemodifikovani |
Masti i ulja kao i njihove frakcije, od riba ili morskih sisara, prečišćeni ili neprečišćeni, ali hemijski nemodifikovani |
Kavijar i zamene kavijara |
Kakao u zrnu, ceo ili lomljen, sirov ili pržen |
LJuske, kore, opne i ostali otpaci od kakaoa |
Kakao masa, odmašćena ili neodmašćena |
Trifle (tartufi), pripremljene ili konzervisane na drugi način osim u sirćetu ili sirćetnoj kiselini |
Povrće, voće, jezgrasto voće, kore od voća i ostali delovi bilja, konzervisani u šećeru (suvi, glazirani ili kandirani) |
Kvasac (aktivan ili neaktivan); ostali jednoćelijski mikroorganizmi, mrtvi (osim vakcina iz tarifnog broja 3002); pripremljeni praškovi za peciva |
Provitamini i vitamini, prirodni ili proizvedeni sintezom (uključujući prirodne koncentrate), njihovi derivati koji se prvenstveno upotrebljavaju kao vitamini, i međusobne mešavine navedenih proizvoda, uključujući i one u bilo kom rastvaraču |
Eterična ulja (bez terpena ili sa terpenima), uključujući zgusnuta i čista ulja; rezinoidi; ekstrahovane uljane smole; koncentrati eteričnih ulja u mastima, neisparljivim uljima, voskovima ili slično, dobijeni postupkom ekstrakcije eteričnih ulja pomoću masti ili maceracijom; sporedni terpenski proizvodi dobijeni deterpenacijom eteričnih ulja, vodeni destilati i vodeni rastvori eteričnih ulja |
Tabela 3. Granice sadržaja 134Cs i 137Cs, ukupno, u stočnoj hrani posle akcidenta
Životinja |
Bq/kg 1,2 |
Svinje |
1250 |
Živina, jagnjad, telad |
2500 |
Drugo |
5000 |
1 |
Praćenje sadržaja radionuklida u namirnicama životinjskog porekla potrebno je i kada je sadržaj radionuklida u stočnoj hrani ispod granica sadržaja 134Cs i 137Cs navedenih u Tabeli 3. |
2 |
Navedeni nivoi se odnose na stočnu hranu spremnu za upotrebu. |









