PRAVILNIK O PROGRAMU ZAVRŠNOG ISPITA U OSNOVNOM OBRAZOVANJU I VASPITANJU("Sl. glasnik RS - Prosvetni glasnik", br. 1/2011, 1/2012, 1/2014, 12/2014, 2/2018, 3/2021, 14/2022, 4/2023 i 5/2023 - ispr.) |
Образовни стандарди за конєц обовязного образованя за математику зоз прикладами задаткох
МА.1.1.1. Школяр зна пречитац и записац розлични файти числох (природни, цали, рационални).
Задаток |
Повяж з линиями єднаки числа так як започате:
|
Ришенє |
|
МА.1.1.2. Школяр зна превесц децимални запис числа до розламка и обратно.
Задаток |
Котре зоз понукнутих числох єднаке числу 0,3? Заокруж букву опрез точного одвита. a) 10/3 б) 3/10 в) 1/3 г) 3/1 |
Ришенє |
б) 3/10 |
МА.1.1.3. Школяр зна поровнац по велькосци числа истого записа, помагаюци ше зоз слику кед то потребне.
Задаток |
|||||||||||||||||||||
Дати числа:
|
|||||||||||||||||||||
Ришенє |
|||||||||||||||||||||
|
|||||||||||||||||||||
МА.1.1.4. Школяр зна окончиц єдну основну рахункову операцию зоз числами истого запису, помагаюци ше зоз слику кед то потребне (у случаю здаваня и однїманя розламкох лєм зоз истим меновательом); вираховац, наприклад 1/5 од n, дзе n дате природне число.
Задаток |
Вирахуй и напиш одвитуюци резултат: a) - 6 : 2 = ________ б) - 6 - 2 = ________ в) - 6 • 2 = ________ г) - 6 + 2 = ________ |
Ришенє |
a) - 6 : 2 = −3 б) - 6 - 2 = −8 в) - 6 • 2 = −12 г) - 6 + 2 = −4 |
МА.1.1.5. Школяр зна дзелїц зоз остатком з єдноцифровим числом и зна кеди єдно число дзелїве зоз другим.
Задаток |
|||||||||||||||
Пополнї шлїдуюцу таблїчку так як цо започате:
|
|||||||||||||||
Ришенє |
|||||||||||||||
|
МА.1.1.6. Школяр зна хасновац цали числа и єдноставни вирази зоз нїма помагаюци ше з визуелнима представами.
Задаток |
Нєшка родзени дзень Йовани и вона гвари: "О три роки будзем мац 18 роки ". Кельо ма роки Йована нєшка? Заокруж букву опрез точного одвита. а) 12 б) 15 в) 18 г) 21 |
Ришенє |
| б) 15 |
МА.1.2.1. Школяр окончує формални операциї хтори редуковани и завиша од интерпретациї; зна ришиц линеарни єдначини у котрих ше нєпозната зявює лєм у єдним члену.
Задаток |
Хторе число ришeнє єдначини x/2+2=8? Заокруж букву опрез точного одвита. а) 5 б) 6 в) 12 г) 20 |
Ришенє |
в) 12 |
МА.1.2.2. Школяр окончує формални операциї хтори редуковани и завиша од интерпретациї; зна вираховац ступень датого числа, зна основни операциї зоз ступнями.
Задаток |
Заокруж букву опрез точного одвита. Продукт 210 • 22 єднаки: а) 25 б) 28 в) 212 г) 220 |
Ришенє |
в) 212 |
Задаток |
Заокруж букву опрез точного одвита. а) 0,06 б) 0,6 в) 0,09 г) 0,9 |
Ришенє |
в) 0,09 |
МА.1.2.3. Школяр окончує формални операциї хтори редуковани и завиша од интерпретациї; зна здавац, однїмац и множиц мономи.
Задаток |
Ушор шлїдуюци вирази: 5a3 + 7a3 = ____________ 9x2 - 4x2 = _____________ 2b • 3b2 = ______________ |
Ришенє |
5a3 + 7a3 = 12a3 9x2 - 4x2 = 5x2 2b • 3b2 = 6b3 |
МА.1.2.4. Школяр окончує формални операциї хтори редуковани и завиша од интерпретациї; зна одредзиц вредносц функциї дати з таблїчку або з формулу.
Задаток |
|||||||||||
Функция дата з формулу y = 2x+1. Одредз одвитуюци вредносци пременлївих x и y и пополнї таблїчку.
|
|||||||||||
Ришенє |
|||||||||||
|
МА.1.3.1. Школяр влада з поняцами: длуж, полупроста, проста, ровня и угел (обачує їх модели у реалних ситуацийох и зна их нарисовац хаснуюци прибор; розликує даєдни файти углох и паралелни и нормални прости).
Задаток |
Повяж слику зоз назву фиґури котру тота слика представя.
|
Ришенє |
|
МА.1.3.2. Школяр влада з поняцами: троугелнїк, штироугелнїк, квадрат и правоугелнїк (обачує їх модели у реалних ситуацийох и зна их нарисовац хаснуюци прибор; школяр розликує основни файти троугелнїкох, зна основни елементи троугелнїка и зна вираховац обсяг и поверхносц троугелнїка, квадрата и правоугелнїка на основи елементох котри нєпостредно фиґурую у датим задатку; зна вираховац нєпознату страну правоуглового троугелнїка применююци Питаґорову теорему.
Задаток |
Яку поверхносц патоса закрива тепих длужини 3,5 m и ширини 2 m? Заокруж букву опрез точного одвита.: а) 11 m2 б) 7 m2 в) 5,5 m2 г) 3,5 m2 |
Ришенє |
б) 7 m2 |
Задаток |
Вирахуй гипотенузу правоуглого троугелнїка нарисованого на слики.
c = _____cm |
Ришенє |
c = 10 cm |
МА.1.3.3. Школяр влада з поняцами: круг, кружна линия (видвоює їх основни елементи, обачує їх модели у реалних ситуацийох и зна их нарисовац хаснуюци прибор; зна вираховац обсяг и поверхносц круга датого полупречнїка).
Задаток |
Яки обсяг круга чий полупречнїк 7 cm? Заокруж букву опрез точного одвита. а) 14 cm б) 49 cm в) 14p cm г) 49p cm |
Ришенє |
в) 14p cm |
МА.1.3.4. Школяр влада з поняцами: коцка и квадер (обачує їх модели у реалних ситуацийох, зна їх основни елементи и рахує їх поверхносц и волумен).
Задаток |
Рубец основи правилней штиространей призми виноши 6 cm, а висина призми 10 cm. Яка поверхносц датей призми?
Поверхносц призми виноши ___________ cm2. |
Ришенє |
P = 2 • 36cm2 + 4 • 60cm2 = 312cm2 Поверхносц призми виноши 312 cm2. |
МА.1.3.5. Школяр влада з поняцами: копа, роля и лабда (обачує їх модели у реалних ситуацийох, зна їх основни елементи).
Задаток |
На кажду ролю упиш число 1, на кажду копу число 2, а на кажду лабду число 3.
|
|
Ришенє |
|
МА.1.3.6. Школяр интуитивно похопює поняце конґруентних фиґурох (з рушаньом до поклопйованя).
Задатoк |
Котра фиґура на слики конґруентна зоз фиґуру А?
|
|
Ришенє |
в)
|
Задаток |
Дата фиґура F. Офарб тото цо потребне же би фиґура G була конґруентна (най ше може поклопиц) зоз фиґуру F.
|
Ришенє |
![]() |
МА.1.4.1. Школяр зна хасновац одвитуюци єдинки за меранє длужини, поверхносци, волумена, маси, часу и углох.
Задаток |
|||||||||||||||
Празне польо у таблїчки пополнї з одвитуюцу мерну єдинику.
|
|||||||||||||||
Ришенє |
|||||||||||||||
|
МА.1.4.2. Школяр зна претвориц векши єдинки длужини, маси и часу до менших.
Задаток |
Котри часови период найдлугши? Заокруж букву опрез точного одвита. а) три мешаци б) 100 днї в) 10 тижнї г) штварцина рока |
Ришенє |
б) 100 днї |
МА.1.4.3. Школяр зна хасновац розлични апоени пенєжу.
Задаток |
Кед розменїш 3 банкноти од 200 динари з банкнотами од 50 динари, кельо банкноти достанєш? Достанєм ______ банкноти од 50 динари. |
Ришенє |
Достанєм 12 банкноти од 50 динари. |
МА.1.4.4. Школяр зна при мераню вибрац одвитуюцу мерну єдинку; заокружовац велькосци виражени з дату меру.
Задаток |
||||||||||||||||||
До празного поля упиш одвитуюцу мерну єдинку: km, cm, l, kg або g.
|
||||||||||||||||||
Ришенє |
||||||||||||||||||
|
МА.1.5.1. Школяр зна виражовац положенє обєктох класификуюци их до шорох и колонох; одредзиц положенє точки у першим квадранту координатней системи кед дати координати и обратно.
Задаток |
На слики приказани план биоскопа ОДЕОН. Марко купел карту у шестим шоре лїво шедзиско 3.
|
Ришенє |
|
|
МА.1.5.2. Школяр зна пречитац и розумиц податок зоз ґрафикону, дияґраму або зоз табели, и одредзиц минимум або максимум зависней велькосци.
Задаток |
Число слунечних дньох у року по мешацох дати зоз дияґрамом:
a) Найменєй слунечни днї у року було у мешацу ___________ б) Найвецей слунечни днї у року було у мешацу ___________ |
Ришенє |
a) Найменєй слунечни днї у року було у мешацу децембру. б) Найвецей слунечни днї у року було у мешацу авґусту. |
МА.1.5.3. Школяр зна податки зоз табели приказац з ґрафиконом и обратно.
Задаток |
||||||||||||
Хаснуюци таблїчку успиху школярох на писменим задатку
доконч шлїдуюци ґрафикон, так як цо започате.
|
||||||||||||
Ришенє |
||||||||||||
|
|
||||||||||||
МА.1.5.4. Школяр зна одредзиц задати процент даякей велькосци.
Задаток |
Милена одлучела купиц патики по цени од 4 000 динари. Под час купованя предавач єй одобрел попуст од 10%. Кельо виноши попуст у динарох?
Милена достала попуст ______ динари. |
Ришенє |
Милена достала попуст 400 динари. |
МА.2.1.1. Школяр зна поровнац по велькосци числа записани у розличних формох.
Задаток |
||||
Дати шлїдуюци числа
Хторе число зоз датих числох найменше, а хторе найвекше? Найменше число ________, а найвекше число _______. |
||||
Ришенє |
||||
Найменше число -1,2, а найвекше число 1 1/2. |
МА.2.1.2. Школяр зна одредзиц процивне число, реципрочну вредносц и абсолутну вредносц числа; вираховац вредносц єдноставнєйшого виразу зоз вецей рахунковима операциями розличного приоритету, уключуюци ошлєбодзованє од заградзеньох, зоз числами истого запису.
Задаток |
Вирахуй:
|
Ришенє |
|
Задаток |
Дополнї шлїдуюцу таблїчку:
|
Ришенє |
|
МА.2.1.3. Школяр зна применїц основни правила дзелївосци зоз 2, 3, 5, 9 и декаднима єдинками.
Задаток |
|||||||||||||||||||||
Повяж дати числа зоз одвитуюцима виреченями:
|
|||||||||||||||||||||
Ришенє |
|||||||||||||||||||||
|
МА.2.1.4. Школяр зна хасновац числа и числово вирази у єдноставних реалних ситуацийох.
Задаток |
За 25 теки плацене 750 динари. Тека за 20 динари драгша од клайбаса. Кельо клайбаси ше могло купиц за тоти пенєжи? За 750 динари могло ше купиц ________ клайбаси. |
Ришенє |
750 : 25 = 30 За 750 динари могло ше купиц 75 клайбаси. |
МА.2.2.1. Школяр рахунково операциї приведол до солидного ступня увежбаносци; зна ришиц линеарни єдначини и системи линеарних єдначинох зоз двома нєпознатима.
Задаток |
Заокруж букву опрез точного одвиту. Ришенє єдначини а) -20 и -10 б) -10 и 10 в) 10 и 20 г) 20 и 30 |
Ришенє |
| в) 10 и 20 |
МА.2.2.2. Школяр рахунково операциї приведол до солидного ступня увежбаносци; зна оперовац зоз ступнями и зна цо то квадратни корень.
Задаток |
При точним твердзеню заокруж слово ТОЧНЕ, а при нєточним твердзеню слово НЄТОЧНЕ.
|
Ришенє |
![]() |
МА.2.2.3. Школяр рахунково операциї приведол до солидного ступня увежбаносци; зна здавац и однїмац полиноми, зна помножиц два биноми и квадрирац бином.
Задаток |
Квадрат бинома (1/2 m - n)2 то: а) 1/2 m2 + 2mn + n2 б) 1/4 m2 − mn + n2 в) 1/2 m2 − mn + n2 г) 1/4 m2 − n2 |
Ришенє |
| б) 1/4 m2 − mn + n2 |
МА.2.2.4. Школяр рахунково операциї приведол до солидного ступня увежбаносци; зна обачиц зависносц медзи пременлївима, зна функцию y=ax и ґрафично интерпретує єй свойства; повязує за тоти свойства поняце директней пропорционалносци и одредзує нєпознати член пропорциї.
Задаток |
|
На єдним зоз датих рисункох ґрафично приказана зависносц медзи количеством олова (х) и цинка (у) у леґури, у котрей олово и цинк заступени у одношеню 2:1. Заокруж букву понад ґрафикона на котрим точно приказана зависносц олова и цинка у тей леґури.
|
Ришенє |
|
Задаток |
За 8 m платна треба плациц 2 400 динари. a) Кельо кошта 12 m истого платна? б) Кельо метери истого платна мож купици за 750 динари? а) 12 m платна кошта _______ динари. б) За 750 динари мож купиц _________ метери платна. |
Ришенє |
а) 12 m платна кошта 3 600 динари. б) За 750 динари мож купиц 2,5 метери платна. |
МА. 2.2.5. Школяр рахунково операциї приведол до солидного ступня увежбаносци; зна хасновац єдначини у єдноставних текстуалних задаткох.
Задаток |
Кед Петро потрошел трецину своїх ушпорованих пенєжох на купованє кредита за мобилни телефон, остало му 800 динари. Кельо Петро мал ушпоровани пенєжи? Петро мал ушпороване _______ динари. |
Ришенє |
Петро мал ушпороване 1200 динари. |
МА.2.3.1. Школяр зна одредзиц суплементни и комплементни угли, паралелни и накрижни угли; раховац зоз нїма кед су виражени у цалих ступньох.
Задаток |
Одредз угел α на слики.
α = _________ |
Ришенє |
α = 80° |
МА.2.3.2. Школяр зна одредзиц одношенє углох и странох у троуглу, суму углох у троуглу и штироуглу и ришовац задатки хаснуюци Питаґорову теорему.
Задаток |
Яка поверхносц плахти на слики?
Поверхносц плахти ________ m2.
|
Ришенє |
Кед висина ярбола x, вец x2 = 132 - 52 = 169 - 25 = 144. Висина ярбола 12 m. Поверхносц плахти P = 1/2 12 • 5 = 30 m2 Поверхносц плахти 30 m2. |
МА.2.3.3. Школяр зна хасновац формули за обсяг и поверхносц круга и кружного персценя.
Задаток |
Поверхносц меншого круга 9p cm2. Поверхносц персценя 16p cm2.
Полупречнїк векшого круга ____ cm. |
Ришенє |
Pvk = (9p + 16p) cm2 = 25p cm2 Полупречнїк векшого круга 5 cm. |
МА.2.3.5. Школяр зна вираховац поверхносц и волумен ролї, копи и лабди кед нєобходни елементи нєпостредно дати у задатку.
Задаток |
На слики два ролї чийо волумени V1 и V2.
Заокруж букву опрез точного одвита. а) V1 > V2 б) V1 < V2 в) V1 = V2 |
Ришенє |
в) V1 = V2 |
МА.2.3.6. Школяр зна обачиц осносиметрични фиґури и одредзиц осу симетриї; хасновац конґруентносц и вязац ю зоз характеристичнима свойствами фиґурох (напр. паралелносц и єднакосц странох паралелоґрама).
Задаток |
Зацинь штири поля на слики так же биш достал фиґуру симетричну у одношеню на просту p.
|
Ришенє |
|
|
МА.2.4.1. Школяр зна поровновац велькосци котри виражени з розличнима мернима єдинками за длужину и масу.
Задаток |
||||||||||||||
|
Наставнїца на табли виписала масу штирох предметох.
|
||||||||||||||
Ришенє |
||||||||||||||
|
Задаток |
Предавач у предавальнї ма три обрани курчата чийо маси 1340 g, 1,35 kg, односно 1kg 290 g. Пошоруй тоти маси по велькосци, од найвекшей до найменшей. Одвит: ________ > _________ > ________ |
Ришенє |
1,35 kg > 1340 g > 1kg 290 g |
МА.2.4.2. Школяр зна претвориц суму єдней валути до другей и правилно поставиц одвитуюцу пропорцию.
Задаток |
Мая новорочни швета препровадзела у Италиї. Путованє и пребуванє коштало 200 евра. Кельо Мая уплацела, у динарох, кед на дзень уплацованя 1 евро вредзел 105 динари?
Мая уплацела_____________ динари. |
Ришенє |
Мая уплацела 21000 динари. |
Задаток |
Кед єдна норвежска коруна вредзи 12,50 динари, а єден евро 105 динари, кельо вредзи 10 еври у норвежских корунох?
10 еври вредзи ______ норвежски коруни. |
Ришенє |
10 еври то 105 • 10 = 1050 динари. 1050 : 12,5 = 84 10 еври вредзи 84 норвежски коруни. |
МА.2.4.3. Школяр зна дату велькосц виказац з приблїжну вредносцу.
Задаток |
||||||||
Квецар ма заокружиц цени квеца зоз увозу на найблїзше цале число. Упиш нови цени.
|
||||||||
Ришенє |
||||||||
|
МА.2.5.1. Школяр влада з описом координатней системи (одредзує координати точкох, осно або централно симетричних итд).
Задаток |
На основи датих координатох точки А урисуй y-осу правоуглого Декартового координатного система.
|
Ришенє |
|
МА.2.5.2. Школяр зна читац єдноставни дияґрами и табели и на основи нїх обробиц податки по єдним критерию (напр. одредзиц аритметични стредок за дате множество податкох; поровновац вредносци образца зоз стредню вредносцу).
Задаток |
Дата таблїчка котра представя медзисобни разстояня городох виражени у километрох.
На основи таблїчки допиш шлїдуюци виреченя так же би твердзенє було точне. а) Разстоянє медзи Чачком и Никшичом _______ километри. б) Разстоянє медзи Никшичом и ______________ исте як и |
Ришенє |
а) Разстоянє медзи Чачком и Никшичом 395 километри. б) Разстоянє медзи Никшичом и Новим Садом исте як и |
МА.2.5.3. Школяр зна обробиц позберани податки и представиц их табеларно або ґрафично; представиц стредню вредносц з медияну.
Задаток |
||||||||||||||
Приказани з дияґрамом успих школярох єдного оддзелєня на тесту зоз математики.
а) Дополнї, так як цо започате, таблїчку котра одвитує датому дияґраму:
б) Вирахуй стредю оцену на тесту з математики. Стредня оцена на тесту з математики ________ |
||||||||||||||
Ришенє |
||||||||||||||
а)
б) Стредня оцена на тесту з математики 3,2. |
||||||||||||||
МА.3.1.2. Школяр зна оперовац зоз поняцом дзелївосци у проблемских ситуацийох.
Задаток |
Напиш три числа пиятей тисячи чия цифра дзешаткох 2, а котри дзелїви зоз 9? То числа _______, ________, ________. |
Ришенє |
Написани гоч хтори три числа зоз множества {4023, 4122, 4221, 4320, 4329, 4428, 4527, 4626, 4725, 4824, 4923}.
|
МА.3.1.3. Школяр зна хасновац числа и числово вирази у реалних ситуацийох.
Задаток |
Квецарка прави и предава букети. Кажди букет ма 4 ружи и 3 марґитки. Кед квецарка на каждей предатей ружи зароби 35 динари, a на каждей предатей марґитки 25 динара и на правеню букета 60 динари, кельо єй найменєй букети треба предац же би заробела вецей од 1500 динари? Прикаж поступок.
Квецарка треба же би предала найменєй _____ букети. |
Ришенє |
Заробок по єдним букету: 4 • 35 + 3 • 25 + 60 = 140 + 75 + 60 = 275 275 • 5 = 1375, 275 • 6 = 1650 або 1500 : 275 = 5,45… Квецарка треба же би предала найменєй 6 букети. |
МА.3.2.2. Школяр досягол високи ступень увежбаносци виводзеня операцийох зоз наглашованьом свойствох котри ше применюю; зна хасновац прикмети ступня и квадратного кореня.
Задаток |
Кед ше зна же 322 = 1024, вирахуй:
|
Ришенє |
|
|
МА.3.2.3. Школяр досягол високи ступень увежбаносци виводзеня операцийох зоз наглашованьом свойствох котри ше применюю; зна и применює формули за розлику квадрата и квадрат биномох; увежбано трансформує алґебарски вирази и зводзи их на найєдноставнєйшу форму.
Задаток |
Заокруж букву опрез точного одвита. Полином (а - 1)(2а + 1) - (а - 6)(а + 6) єднаки полиному: a) а2 − а + 35 б) а2 − а − 37 в) а2 + 35 г) а2 − 37 |
Ришенє |
а) а2 − а + 35 |
Задаток |
||||||||
Вирахуй:
|
||||||||
Ришенє |
||||||||
| а) 72 - 32 = 49 - 9 = 40 б) (7 − 3) 2 = 42 = 16 в) 72 + 32 = 49 + 9 = 58 г) (7 + 3) 2 = 102 = 100 |
МА.3.2.4. Школяр досягол високи ступень увежбаносци виводзеня операцийох зоз наглашованьом свойствох котри ше применюю; зна розликoвац директно и обратно пропорционални велькосци и то виражує з одвитуюцим записом; зна линеарну функцию и ґрафично интерпретує єй свойства.
Задаток |
Хтори зоз ґрафикох представя ґрафик функциї y = −x + 3?
|
Ришенє |
![]() |
Задаток |
Дзевецме товарише би очисцели базен за штири днї. Кельо ище товаришох треба же би им помогли же би базен бул очисцени за три днї? Базен будзе очисцени за три днї кед им помогню ище ____ товарише. |
Ришенє |
9 : x = 3 : 4 або x : 9 = 4 : 3 Базен будзе очисцени за три днї кед им помогню ище 3 товарише. |
МА.3.2.5. Школяр досягол високи ступень увежбаносци виводзеня операцийох зоз наглашованьом свойствох котри ше применюю; зна хасновац єдначини, нєєдначини и системи єдначинох ришуюци и зложенши текстуални задатки.
Задаток |
Док була на лєтованю Надя ше каждому од своїх 9 приятельох зоз будинку явела лєбо з писмом лєбо з погляднїцу. Марки за погляднїци плацела по 10 динари а марки за писма по 15 динари. Кельо писама и кельо погляднїци Надя послала кед за марки вєдно потрошела 110 динари? Надя послала _________ писма и _________ погляднїци. |
Ришенє |
x - число писмох x + y = 9 Ришенє системи x = 5 и y = 4, без огляду на метод ришованя. Надя послала 5 писма и 4 погляднїци. |
МА.3.3.1. Школяр зна раховац зоз углами уключуюци и претворйованє углових мерох; заключовац хаснуюци прикмети паралелних и нормалних простих, уключуюци угли на трансверзали.
Задаток |
Кед прости a и b паралелни, одредз яки угел a.
Угел a =____ |
Ришенє |
Угел a =48°10΄
|
МА.3.3.2. Школяр зна хасновац основни свойства троугелнїка, штироугелнїка, паралелоґрама и трапеза, раховац їх обсяги и поверхносци на основи елементох котри нє обовязно нєпостредно дати у формулациї задатка; зна их конструовац.
Задаток |
||
Кельо метери дроту треба же би ше оградзело двор хтори ма форму правоуглого трапеза як на слики? Прикаж поступок.
Потребне _____ метери дроту.
|
||
Ришенє |
||
|
МА.3.3.3. Школяр зна одредзиц централни и периферийни угел, раховац поверхносц вирезка, як и длужину лука.
Задаток |
Кед тетива AB єднака полупречнїку круга, вирахуй угел ACB.
∠ACB = ______ |
Ришенє |
|
∠ACB = 30° |
Задаток |
Кельо раз поверхносц кружного вирезка, чий централни угел 30°, менша од поверхносци круга? Менша є ____ раз. |
Ришенє |
Менша є 12 раз. |
МА.3.3.4. Школяр зна вираховац поверхносц и волумен призми и пирамиди, уключуюци случаї кед нєобходни елементи нє дати нєпостредно.
Задаток |
Вирахуй волумен правилней штиространей пирамиди кед рубец основи a = 10 cm, а висина бочней страни h = 13 cm. Волумен пирамиди ________ cm3. |
Ришенє |
|
Волумен пирамиди 400 cm3. |
МА.3.3.5. Школяр зна вираховац поверхносц и волумен ролї, копи и лабди, уключуюци случаї кед нєобходни елементи нє дати нєпостредно.
Задаток |
Заокруж букву опрез точного одвита. Правоуглови троугелнїк, чийо катети а = 9 cm, b = 12 cm, ротира коло катети b. Одношенє поверхносцох основи и обмотку достатей копи: а) 1 : 1 б) 3 : 4 в) 3 : 5 г) 4 : 5 |
Ришенє |
в) 3 : 5 |
Задаток |
Яка поверхносц найвекшей лабди котра ше може спаковац до шкатули
Поверхносц лабди ____ cm. |
Ришенє |
Поверхносц лабди 36p cm. |
МА.3.3.6. Школяр зна применїц конґруентносц и подобносц троугелнїкох, повязуюци так рижни свойства ґеометрийних обєктох.
Задаток |
||
Длуж MN паралелна з длужу АВ. Кед MN : AB = 2 : 3, яка розмира СМ : MА? Заокруж букву опрез точного одвита.
|
||
Ришенє |
||
а) 2 : 1 |
Задаток |
||||||||||||
При точному твердзеню заокруж слово Точне, а при нєточним твердзеню слово Нєточне.
|
||||||||||||
Ришенє |
||||||||||||
|
МА.3.4.2. Школяр зна преценїц и заокружиц дати податки и раховац зоз такима приблїжнима вредносцами; виражовац оцену гришки (напр. менєй од 1 динара, 1cm, 1g).
Задатoк |
Розстоянє медзи местом А и местом D приказане на шлїдуюцей мапи.
Мира преценєла розстоянє медзи местом А и местом D так же заокружела кажде зоз розстояньох на найблїзше цале число километрох и поздавала их. Вера поздавала розстояня назначени на мапи, и достати резултат заокружела на найблїзше цале число километрох. Заокруж букву опрез точного одвита. а) Мира достала векше число од Вери. б) Мира и Вера достали єднаки числа. в) Мира достала менше число од Вери. |
Ришенє |
а) Мира достала векше число од Вери. |
МА.3.5.1. Школяр зна одредзиц положенє (координати) точкох котри задоволюю зложенши условия.
Задатoк |
|
Урисуй до координатней системи шицки точки котри на истом розстояню од x оси як и точка А, а котрим розстоянє од y оси два раз векше як розстоянє точки A од y оси.
|
Ришенє |
|
|
МА.3.5.2. Школяр зна толковац дияґрами и табели.
Задаток |
||||||||||||||||||||||||||||||||||||||||||||||||
У табели дати розстояня даєдних городох у километрох.
а) Хтори город од Беоґраду оддалєни 115 km?....................... б) Хтори два городи оддалєни 353 km?............................................... в) Хтори два городи оддалєни менєй од 50 km?.......................................... г) Кельо городи у табели од Беоґрада оддалєни вецей од 200 km?......... |
||||||||||||||||||||||||||||||||||||||||||||||||
Ришенє |
||||||||||||||||||||||||||||||||||||||||||||||||
а) Крагуєвац б) Кралєво и Суботица в) Ягодина и Крагуєвац г) три |
МА.3.5.3. Школяр зна позберац и обробиц податки и сам составиц дияґрам або таблїчку; рисовац ґрафик з котрим представя медзизависносц велькосцох.
Задаток |
Мая вожела бициґлу 45 минути. После перших 10 минутох воженя досцигла швидкосц од 10 km/h. Вожела з тоту швидкосцу шлїдуюци 20 минути, а потим почала равномирно зменшовац швидкосц док ше нє застановела. Дополнї дияґрам котри приказує Майово воженє, так як цо започате.
|
Ришенє |
|
МА.3.5.4. Школяр зна применїц процентни рахунок у зложенших ситуацийох.
Задаток |
Цена кнїжки перше звекшана за 10%, а потим зменшана за 10% и тераз виноши 198 динари. Яка була цена кнїжки пред подрагшеньом? Заокруж букву опрез точного одвита. а) 198 динари б) 200 динари в) 202 динари г) 196,02 динари |
Ришенє |
б) 200 динари |
Образовни стандарди за конєц обовязного образованя за математику котри буду випитани з нєпознатима задатками
МА.2.3.4. Школяр влада з поняцами: призма и пирамида; рахує їх поверхносц и волумен кед нєобходни елементи нєпостредно дати у задатку.
Задаток |
Основни рубец правилней тространей єднакорубцовей пирамиди 8 cm. Яка єй поверхносц?
Поверхносц пирамиди ___________ cm2 |
Ришенє |
|
МА.2.5.4. Школяр зна применїц процентни рахунок у єдноставних реалних ситуацийох (наприклад, пременка цени даякого продукта за дати процент).
Задаток |
Ґордана предава сладоляд. За кажди предати сладоляд по цени од 60 динари, вона зарабя 6 динари. Яки єй заробок по једним сладоляду виражени у процентох? Заокруж букву опрез точного одвиту. а) 6 % б) 1 % в) 54 % г) 10 % |
Ришенє |
г) 10 % |
МА.3.1.1. Школяр зна одредзиц вредносц зложеншого числового виразу.
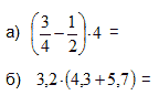
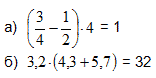
Задатoк |
|
Вирахуй продукт виразу А и В, кед А = _______, B = ______, продукт A · B = _______ |
Ришенє |
|
МА.3.2.1. Школяр досягол високи ступень увежбаносци виводзеня операцийох зоз наглашованьом свойствох котри ше применюю; зна составяц и ришовац линеарни єдначини и нєєдначини и системи линеарних єдначинох зоз двома нєпознатима.
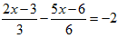
Задаток |
|
Хторе множество числох приказане на числовей простей ришенє нєєдначини Заокруж букву опрез точного одвита.
|
Ришенє |
|
|
МА.3.4.1. Школяр зна по потреби претворйовац єдинки мири, рахуюци зоз нїма.
Задаток |
Филм ше закончел на 22 годзин и 10 минути. Кеди филм почал кед тирвал 115 минути? Заокруж букву опрез точного одвита. а) 20 годзин и 55 минути б) 20 годзин и 45 минути в) 20 годзин и 15 минути г) 20 годзин и 5 минути |
Ришенє |
в) 20 годзин и 15 минути |























































