PRAVILNIK O VLAGOMERIMA ZA ZRNA ŽITARICA I SEMENKE ULJARICA("Sl. glasnik RS", br. 96/2018) |
Ovim pravilnikom propisuju se zahtevi za vlagomere za zrna žitarica i semenke uljarica (u daljem tekstu: vlagomeri), označavanje vlagomera, dokumentacija, način utvrđivanja ispunjenosti metroloških zahteva za vlagomere, metode merenja, način odobrenja tipa vlagomera, kao i način i uslovi overavanja vlagomera.
Ovaj pravilnik primenjuje se na vlagomere za zrna žitarica i semenke uljarica (u daljem tekstu: zrna) koji se koriste u prometu žitarica i uljarica.
Ovaj pravilnik primenjuje se na sledeće vlagomere iz stava 1. ovog člana:
1) automatske vlagomere sa digitalnim pokazivačem koji direktno prikazuje sadržaj vlage zrna;
2) vlagomere koji proračunavaju sadržaj vlage zrna na indirektne fizičke načine;
3) vlagomere koji mere sadržaj vlage statičkog uzorka reprezentativne veličine zrna.
Ovaj pravilnik ne primenjuje se na vlagomere za merenje sadržaja vlage zrna u pokretu.
Pojedini izrazi upotrebljeni u ovom pravilniku imaju sledeće značenje:
1) zrna su zrna žitarica i mahunjača, kao i semenke uljarica;
2) sadržaj vlage zrna je odnos vlage i ukupne mase uzorka zrna;
3) vlagomer je merilo koje meri električni, optički ili drugi parametar da bi odredilo sadržaj vlage zrna;
4) greška merenja je izmerena vrednost sadržaja vlage zrna umanjena za referentnu vrednost sadržaja vlage zrna;
5) najveća dozvoljena greška merenja (u daljem tekstu: NDG) je ekstremna vrednost greške merenja, u odnosu na poznatu referentnu vrednost sadržaja vlage zrna, propisana ovim pravilnikom;
6) sopstvena greška je greška vlagomera utvrđena pod referentnim uslovima;
7) gruba greška u slučaju kada se koristi sertifikovani etalon je razlika između greške pokazivanja, tokom ili nakon smetnje, i srednje vrednosti sopstvene greške vlagomera i predstavlja rezultat neželjene promene u podacima koji se nalaze u elektronskom vlagomeru ili prolaze kroz njega. U slučaju kada se ne koristi sertifikovani etalon, gruba greška je razlika između pojedinačnog pokazivanja, tokom ili nakon smetnje, i srednjeg pokazivanja u referentnim uslovima pre ispitivanja. Gruba greška predstavlja brojčanu vrednost koja se izražava u mernim jedinicama ili kao relativna vrednost;
8) značajna gruba greška je gruba greška veća od vrednosti NDG propisane ovim pravilnikom. Značajnim grubim greškama ne smatraju se:
(1) grube greške nastale iz istovremenih i međusobno nezavisnih uzroka (npr. elektromagnetna polja i pražnjenja) poreklom iz vlagomera ili iz njegovih kontrolnih instalacija;
(2) grube greške koje podrazumevaju nemogućnost da se izvrši bilo koje merenje;
(3) kratkotrajne smetnje kao trenutne varijacije u pokazivanju, koje se ne mogu tumačiti, snimiti ili prenositi kao rezultat merenja;
(4) grube greške koje u rezultatima merenja izazivaju varijacije koje su takve da ih mogu primetiti i korisnik merila i lice zainteresovano za rezultat merenja;
9) promena greške je razlika između srednje greške pokazivanja vlagomera u uslovima kada jedna ili više uticajnih veličina variraju unutar nazivnih uslova upotrebe i sopstvene greške vlagomera. Promena greške određuje se posmatranjem razlike između rezultata vlagomera za uzorak zrna koji se ispituje u odnosu na poznatu referentnu vrednost ispitivanog uzorka zrna ili u odnosu na srednju vrednost pokazivanja u nazivnim uslovima upotrebe pre početka ispitivanja;
10) nazivni uslovi upotrebe su uslovi korišćenja vlagomera koji definišu opseg vrednosti uticajnih veličina za koje se očekuje da navedene metrološke karakteristike vlagomera ispunjavaju zahteve ovog pravilnika;
11) ponovljivost merenja je preciznost merenja pod skupom uslova ponovljivosti merenja koji podrazumevaju isti postupak merenja, iste operatere, isti merni sistem, iste radne uslove i istu lokaciju i ponovljena merenja na istim ili sličnim predmetima merenja u kratkom vremenskom periodu;
12) reproduktivnost merenja je preciznost merenja pod skupom uslova reproduktivnosti merenja koji podrazumevaju različite lokacije, operatere, merne sisteme i ponovljena merenja na istim ili sličnim predmetima merenja. Reproduktivnost merenja među pojedinačnim vlagomerima istog tipa pod referentnim uslovima određuje se preko standardne devijacije razlika (SDDI). Relevantni statistički pojmovi za obradu rezultata merenja dati su u srpskim standardima SRPS ISO 5725-1:2007 i SRPS ISO 5725-2:2007;
13) "zakonski relevantno" označava softver, hardver i podatke vlagomera ili njihove delove koji utiču na svojstva koja su predmet zakonske kontrole merila;
14) trag revizije je kontinualni elektronski fajl sa podacima koji sadrži vremenski obeležen zapis informacije o događajima ili drugim aktivnostima, odnosno elektronski broj i/ili zapis informacije o izmenama u vrednostima kalibracionih ili konfiguracionih parametara vlagomera koje su zakonski relevantne i koje mogu uticati na metrološke karakteristike vlagomera;
15) načini šifrovanja su načini šifrovanja podataka od strane pošiljaoca i dešifrovanja od strane primaoca sa ciljem sakrivanja informacija od neovlašćenih osoba, kao i elektronsko potpisivanje podataka sa ciljem omogućavanja primaocu ili korisniku podataka da potvrdi poreklo podataka, tj. da dokaže njihovu autentičnost;
16) otvorena mreža je mreža sa proizvoljnim učesnicima, odnosno elektronskim uređajima sa proizvoljnim funkcijama, u kojoj broj, identitet i lokacija učesnika mogu biti dinamički i nepoznati za druge učesnike;
17) zatvorena mreža predstavlja mrežu sa fiksnim brojem učesnika sa poznatim identitetima funkcionalnosti i lokacijom;
18) univerzalni kompjuter je kompjuter koji nije konstruisan za specifičnu namenu već se može softverski prilagoditi metrološkom zadatku. Softver je, po pravilu, ugrađen u operativni sistem koji dozvoljava učitavanje i izvršenje softvera za specifične namene;
19) validacija softvera je potvrđivanje ispitivanjem i obezbeđivanje objektivnih dokaza da su ispunjeni zahtevi ovog pravilnika koji se odnose na softver vlagomera;
20) kalibracioni parametar je svaki podesivi parametar koji može da utiče na tačnost merenja ili performansi vlagomera i koji se, zbog svoje prirode, redovno ažurira, da bi se održala tačnost vlagomera;
21) konfiguracioni parametar je svaki parametar koji se može podešavati ili birati a može da utiče na tačnost rezultata merenja korišćenog za transakciju pri otkupu zrna ili može značajno da poveća mogućnost zloupotrebe pri korišćenju vlagomera i koji se, zbog svoje prirode, ažurira samo tokom instalacije vlagomera ili nakon zamene njegove komponente;
22) podešavanje je promena u vrednosti bilo kojeg kalibracionog ili konfiguracionog parametra vlagomera koji se mogu zaštititi;
23) režim podešavanja je režim rada vlagomera koji omogućava korisniku da vrši podešavanja parametara koji se mogu zaštititi, uključujući i izmene konfiguracionih parametara;
24) pomoćna baterija je baterija koja je ugrađena u, ili spojena na, vlagomer koji se može napajati i preko električne mreže i koja može samostalno da napaja vlagomer u razumnom vremenskom roku;
25) rezervna baterija je baterija koja je namenjena za napajanje određenih funkcija vlagomera u odsustvu primarnog napajanja;
26) hardver za omogućavanje ili onemogućavanje pristupa koji se može zaštititi je hardver koji se može fizički zaštititi, kao što je dvopozicioni prekidač, postavljen na uređaju koji može da se daljinski konfiguriše i koji omogućava ili onemogućava sposobnost primanja vrednosti podešavanja ili izmena u konfiguracionim parametrima koji se mogu zaštititi, od strane udaljenog uređaja;
27) događaj je radnja u kojoj se vrši jedna ili više izmena konfiguracionih parametara ili se vrše podešavanja jedne vrednosti, ili vrednosti za skup vrednosti, kalibracionog parametra dok se uređaj nalazi u režimu podešavanja;
28) brojač događaja je brojač koji ne može da se poništi i koji se uvećava za jedan svaki put kada se uđe u režim koji omogućava izmene u parametrima koji se mogu zaštititi i kada se izvrši jedna ili više promena u kalibracionim ili konfiguracionim parametrima uređaja. Brojač događaja ima kapacitet od najmanje 1000 vrednosti;
29) dnevnik događaja je vrsta traga revizije koja sadrži serije zapisa, gde svaki zapis sadrži broj brojača događaja koji odgovara izmeni u parametru koji se može zaštititi, identifikaciju parametra koji je promenjen, vreme i datum kada je parametar promenjen i novu vrednost parametra;
30) fizička zaštita je fizički način koji se koristi da se zaštiti vlagomer, kao što su plomba i žica, da bi se detektovao pristup onim podesivim karakteristikama koje se zaštićuju u skladu sa zahtevima ovog pravilnika;
31) mogućnost daljinske konfiguracije je sposobnost da se podesi vlagomer ili promene njegovi parametri koji se mogu zaštititi, od strane ili preko nekog drugog uređaja koji nije sam neophodan za funkcionisanje vlagomera niti je trajno sastavni deo tog uređaja;
32) daljinski uređaj je uređaj koji ima mogućnost da podešava vlagomer ili da menja njegove konfiguracione parametre koji se mogu zaštititi i koji:
(1) je stalni deo vlagomera, ali nije neophodan za proces merenja vlagomera ili za računanje informacija transakcija pri otkupu zrna u jednom ili više raspoloživih režima rada za merenja u prometu roba i usluga ili
(2) nije stalni deo vlagomera;
33) vlagomer sa mogućnošću daljinske konfiguracije je bilo koji vlagomer u kom je moguće da vrednost konfiguracionog ili kalibracionog parametra koji se može zaštititi bude obrisana, dodata, izmenjena ili zamenjena u potpunosti ili delimično, skidanjem podataka putem bilo kog tipa komunikacione veze sa drugog uređaja, kao što je geografski lokalna ili daljinska konzola ili računar, bez obzira da li je deo mreže koja spaja uređaje;
34) zaštititi vlagomer znači učiniti vlagomer bezbednim na način da se može definisati pristup podešavanjima i drugim parametrima koji se mogu zaštititi;
35) parametri koji se mogu zaštititi su konfiguracioni i kalibracioni parametri koji se zaštićuju u skladu sa zahtevima ovog pravilnika;
36) neograničen pristup parametrima koji se mogu zaštititi znači da fizička zaštita nije prisutna, odnosno da je na zahtev ovlašćenog operatorskog subjekta moguć pristup parametrima koji se mogu zaštititi, sa daljinskog uređaja u bilo koje doba ka uređaju koji prima podatke, koji je u radnom režimu;
37) podsklop je hardverski uređaj koji nezavisno funkcioniše i čini vlagomer zajedno sa drugim podsklopovima sa kojima je kompatibilan ili sa drugim vlagomerom sa kojim je kompatibilan.
Drugi izrazi upotrebljeni u ovom pravilniku, koji nisu definisani u stavu 1. ovog člana, imaju značenje definisano zakonima kojima se uređuju metrologija i standardizacija.
Rezultat merenja vlagomerom izražava se u procentu vlage po masi (%).
Zahtevi za vlagomere dati su u Prilogu 1 - Zahtevi, koji je odštampan uz ovaj pravilnik i čini njegov sastavni deo.
Proizvođač vlagomera sačinjava tehničku dokumentaciju koja omogućava ocenjivanje usaglašenosti vlagomera sa zahtevima iz Priloga 1 ovog pravilnika.
Tehnička dokumentacija sadrži naročito sledeće podatke o vlagomeru:
1) opis opšteg principa merenja vlagomera;
2) listu najvažnijih sastavnih delova, naročito elektronskih i drugih bitnih komponenata, sa njihovim najznačajnijim karakteristikama;
3) tehničke crteže;
4) električne, odnosno elektronske šeme;
5) zahteve za instalaciju;
6) plan obezbeđenja metroloških parametara vlagomera koje se postiže žigosanjem;
7) izgled pokaznog uređaja;
8) način prikaza rezultata ispitivanja uticaja smetnji, upotreba tih rezultata i njihov odnos prema parametrima koji se mere;
9) uputstvo za upotrebu vlagomera;
10) listu zrna i opsege vlage za koje je vlagomer projektovan;
11) drugu dokumentaciju na osnovu koje može da se utvrdi ispunjenost zahteva ovog pravilnika.
Pored podataka iz stava 2. ovog člana, tehnička dokumentacija sadrži i sledeće podatke o softveru:
1) opis zakonski relevantnog softvera i objašnjenje na koji način su ispunjeni zahtevi ovog pravilnika koji se odnose na softver;
2) opis odgovarajuće konfiguracije sistema i minimalnih zahteva u pogledu konfiguracije;
3) opis sredstava zaštite operativnog sistema;
4) opis primenjenih metoda zaštite softvera;
5) pregled hardvera sistema, tj. blok dijagrama, vrste računara, vrsta mreže, itd.;
6) identifikaciju zakonski relevantnih komponenata hardvera i zakonski relevantnih funkcija;
7) opis ispravnosti i tačnosti algoritama (algoritmi računanja cene, algoritmi zaokruživanja itd.);
8) opis korisničkog interfejsa, menija i dijaloga;
9) identifikaciju zakonski relevantnog softvera uključujući i sve metode šifriranja, ako je primenljivo;
10) način dobijanja informacije o identifikaciji softvera, koja može biti dodatno označena na vlagomeru ili prikazana na pokaznom uređaju vlagomera;
11) spisak komandi za svaki hardverski interfejs vlagomera i/ili elektronskog uređaja i/ili podsklopa, uključujući izjavu o potpunosti spiska komandi;
12) spisak grešaka trajnosti koje softver može da utvrdi i prikaže, i ukoliko je neophodno za razumevanje, opis algoritama njihovog utvrđivanja;
13) opis skupova podataka koji se skladište ili prenose;
14) spisak grubih grešaka koje utvrđuje sistem i opis algoritma za njihovo utvrđivanje, ukoliko se utvrđivanje grubih grešaka vrši softverski;
15) uputstvo za upotrebu softvera.
Na vlagomer se postavljaju sledeći natpisi i oznake:
1) službena oznaka tipa iz uverenja o odobrenju tipa merila;
2) poslovno ime, odnosno naziv proizvođača;
3) proizvodna oznaka vlagomera (tip, odnosno model vlagomera i serijski broj).
Ukoliko se vlagomer sastoji od nekoliko odvojenih jedinica, svaka jedinica označava se u skladu sa stavom 1. ovog člana.
Natpisi i oznake iz st. 1. i 2. ovog člana postavljaju se tako da budu vidljive, čitljive i neizbrisive, odnosno da ih nije moguće ukloniti bez trajnog oštećenja.
Na natpisnoj pločici koja se postavlja na vlagomer navode se vrste zrna i odgovarajući opsezi vlage za koje je vlagomer tipski odobren, kao i informacije o identifikaciji važeće verzije zakonski relevantnog softvera i identifikaciji pojedinačnih kalibracionih parametara za zrna.
Merilo se može overavati samo ako je za to merilo izdato uverenje o odobrenju tipa, u skladu sa propisom kojim se uređuju vrste merila koja podležu zakonskoj kontroli.
Overavanje merila može biti prvo, periodično ili vanredno, u skladu sa zakonom kojim se uređuje metrologija.
Način utvrđivanja ispunjenosti zahteva
Ispunjenost metroloških zahteva utvrđuje se upotrebom referentnih materijala - uzoraka zrna čiji je sadržaj vlage određen referentnim metodama koje su date u odgovarajućim srpskim standardima, u zavisnosti od vrste zrna, i to:
1) SRPS ISO 24557: Mahunjače - Određivanje sadržaja vlage - Metoda sa primenom sušnice;
2) SRPS EN ISO 712: Žita i proizvodi od žita - Određivanje sadržaja vlage - Referentna metoda;
3) SRPS EN ISO 6540: Kukuruz - Određivanje sadržaja vlage (u mlevenim i celim zrnima);
4) SRPS EN ISO 665: Seme uljarica - Određivanje sadržaja vlage i isparljivih materija.
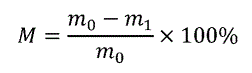
Referentni sadržaj vlage zrna (M) je procenat gubitka mase uzorka zrna koji je određen referentnom metodom i izračunat prema jednačini:

gde je m0 početna masa uzorka, a m1 krajnja masa uzorka.
Odobrenje tipa vlagomera obuhvata:
1) proveru uputstva za upotrebu vlagomera;
2) vizuelni pregled vlagomera;
3) ispitivanja tačnosti, ponovljivosti i reproduktivnosti;
4) osnovna ispitivanja vlagomera:
(1) stabilnost vlagomera;
(2) vreme zagrevanja vlagomera;
(3) varijacija napona napajanja;
(4) temperatura skladištenja vlagomera;
(5) nivelisanje vlagomera;
(6) osetljivost vlagomera na vlažnost vazduha;
(7) temperaturna osetljivost vlagomera;
5) ispitivanje temperature uzorka - osetljivost vlagomera na temperaturu uzorka;
6) ispitivanje na smetnje:
(1) padovi mrežnog napona, kratki prekidi i varijacije napona;
(2) pražnjenja (prolazna) na osnovnom mrežnom napajanju;
(3) radio-frekventno zračenje, elektromagnetna osetljivost;
(4) uticaj radio-frekventnog polja provođenjem;
(5) elektrostatička pražnjenja.
Postupak odobrenja tipa vlagomera, odnosno metode merenja i način ispitivanja iz stava 1. ovog člana dati su u Prilogu 2 - Utvrđivanje ispunjenosti zahteva, koji je odštampan uz ovaj pravilnik i čini njegov sastavni deo.
Prvo, periodično i vanredno overavanje vlagomera obuhvata:
1) vizuelni pregled i proveru funkcionalnosti;
2) ispitivanje tačnosti.
Vlagomeri se overavaju pojedinačno, a overavanje se sprovodi samo za vrste zrna i opsege vlage za koje je odobren taj tip vlagomera.
Vizuelnim pregledom i proverom funkcionalnosti iz stava 1. tačka 1) ovog člana proverava se da li je vlagomer u potpunosti u skladu sa uverenjem o odobrenju tipa merila izdatim za taj tip vlagomera, odnosno da nema oštećenja pokaznog uređaja ili drugih delova koji mogu uticati na funkcionalnost vlagomera. Vizuelnim pregledom proveravaju se i natpisi i oznake definisani u članu 7. ovog pravilnika.
Ispitivanje tačnosti vlagomera obuhvata određivanje greške merenja, s tim da se ispitivanjem proverava ispunjenost zahteva za NDG iz tačke 1.3.2 Priloga 1 ovog pravilnika, kada vlagomer radi:
1) u nazivnim uslovima upotrebe iz pododeljka 1.2 Priloga 1 ovog pravilnika, za prvo overavanje vlagomera;
2) u referentnim uslovima iz tačke 1.1.1 Priloga 1 ovog pravilnika, za periodično i vanredno overavanje vlagomera.
Prilikom overavanja vlagomeri se, zbog prirodne varijabilnosti zrna, ispituju za sve vrste zrna i opsege vlage navedene u uverenju o odobrenju tipa merila, u dvoprocentnim intervalima od 2% vlage. Za ispitivanja se koriste referentni materijali - uzorci zrna koji ispunjavaju zahteve iz odeljka 1. Priloga 2 ovog pravilnika.
Ispitivanje tačnosti vrši se na način opisan u tački 3.2.2. Priloga 2 ovog pravilnika. Ispitivanje obuhvata samo određivanje greške, prema formuli:

gde je:
ȳ, srednja vrednost svih yi ;
![]()
srednja
vrednost pokazivanja vlagomera za uzorak i (3 ponovljena merenja);
ri, referentna vrednost vlage za uzorak i;
n, broj uzoraka po intervalu vlage od 2% (n = 1).
Ovim formula postaje:
![]()
Na način koji je propisan u stavu 6. ovog člana određuje se samo greška pokazivanja merila za srednju vrednost tri ponovljena merenja.
Broj potrebnih uzoraka zrna u dvoprocentnim intervalima vlage, u okviru mernog opsega za pojedine kulture i opsege definisane u uverenju o odobrenju tipa merila, jednak je 1.
Ispitivanjem tačnosti vlagomera, prilikom overavanja vlagomera za zrna žitarica i semenke uljarica, proverava se ispunjenost zahteva za NDG iz tačke 1.3.2. Priloga 1 ovog pravilnika (Tabela 2).
Određivanje referentne vrednosti vlage ri za uzorak i, vrši se prema definisanoj proceduri, samo jednom prilikom overavanja, pre početka ispitivanja tačnosti vlagomera.
Prvo overavanje vlagomera vrši se sa po jednim uzorkom zrna, za svaki dvoprocentni interval vlage u okviru mernog opsega za pojedine kulture i opsege definisane u uverenju o odobrenju tipa merila.
Periodično i vanredno overavanje vlagomera vrši se u tri tačke ravnomerno raspoređene u mernom opsegu za pojedine kulture i opsege definisane u uverenju o odobrenju tipa merila, prema formuli:
![]()
Na način koji je propisan u stavu 12. ovog člana, određuje se samo greška pokazivanja merila za srednju vrednost tri ponovljena merenja.
Ukoliko se vizuelnim pregledom, proverom funkcionalnosti i ispitivanjem tačnosti utvrdi da vlagomer ispunjava propisane metrološke zahteve, vlagomer se žigoše u skladu sa zakonom kojim se uređuje metrologija, propisom donetim na osnovu tog zakona i uverenjem o odobrenju tipa merila izdatim za taj tip vlagomera.
Žigosanje vlagomera vrši se tako da nije moguće izvršiti bilo kakve izmene koje utiču na metrološke karakteristike vlagomera u celini, bez oštećenja žiga/žigova. Smatra se da podešavanje nule, kalibracionih parametara i podešavanja na referentne vrednosti, utiču na metrološke karakteristike i ta podešavanja se fizički zaštićuju žigosanjem.
Klauzula o uzajamnom priznavanju
Zahtevi ovog propisa za stavljanje na tržište vlagomera se ne primenjuju na vlagomer koji je zakonito stavljen na tržište ostalih zemalja Evropske unije ili Turske, odnosno zakonito proizveden u državi potpisnici EFTA Sporazuma.
Izuzetno od stava 1. ovog člana, može se ograničiti stavljanje na tržište ili povući sa tržišta vlagomer iz stava 1. ovog člana, ukoliko se posle sprovedenog postupka iz Uredbe EZ br. 764/2008, utvrdi da vlagomer iz stava 1. ovog člana ne može da ispuni zahteve ekvivalentne zahtevima koji su propisani ovim propisom.
Danom stupanja na snagu ovog pravilnika prestaje da važi Pravilnik o vlagomerima za zrna žitarica i semenke uljarica ("Službeni glasnik RS", broj 39/14).
Ovaj pravilnik stupa na snagu osmog dana od dana objavljivanja u "Službenom glasniku Republike Srbije", osim člana 12. koji se primenjuje danom pristupanja Republike Srbije Evropskoj uniji.
Priloge 1-3, koji su sastavni deo ovog pravilnika, objavljenog u "Sl. glasniku RS", br. 96/2018, možete pogledati OVDE









