UREDBA O INDIKATORIMA BUKE, GRANIČNIM VREDNOSTIMA, METODAMA ZA OCENJIVANJE INDIKATORA BUKE, UZNEMIRAVANJA I ŠTETNIH EFEKATA BUKE U ŽIVOTNOJ SREDINI("Sl. glasnik RS", br. 75/2010) |
Ovom uredbom propisuju se indikatori buke u životnoj sredini, granične vrednosti, metode za ocenjivanje indikatora buke, uznemiravanja i štetnih efekata buke na zdravlje ljudi.
Indikator buke je akustička veličina kojom se opisuje buka u životnoj sredini i izražava se jedinicom dB(A).
Indikatori buke se koriste u cilju utvrđivanja stanja buke, za procenu i predviđanje stanja buke, izradu strateških karata buke i planiranje mera zaštite.
Indikatori buke jesu osnovni i dodatni.
Način određivanja indikatora buke dat je u Prilogu 1 - Indikatori buke u životnoj sredini, koji je odštampan uz ovu uredbu i čini njen sastavni deo.
Osnovni indikatori buke su:
1) indikator koji opisuje ometanje bukom za vremenski period od 24 časa, za dan-veče-noć Lden (u daljem tekstu: ukupni indikator buke);
2) indikator koji opisuje ometanje bukom u toku dana Lday (u daljem tekstu: indikator dnevne buke);
3) indikator koji opisuje ometanje bukom u toku večeri Levening (u daljem tekstu: indikator večernje buke).
4) indikator koji opisuje ometanje bukom u toku noći Lnight (u daljem tekstu: indikator noćne buke).
Osnovni indikatori buke koriste se za izradu strateških karata buke.
Dodatni indikatori buke su:
1) merodavni nivo buke LRAeqT;
2) nivo izloženosti buci LAE.
Dodatni indikatori buke koriste se za monitoring buke i za pojedinačna merenja buke.
Period od 24 časa, u smislu ove uredbe, deli se na tri referentna vremenska intervala: dan traje 12 časova (od 6 do 18 časova); veče traje 4 časa (od 18 do 22 časa); noć traje 8 časova (od 22 do 6 časova).
Granične vrednosti indikatora buke u naseljenim mestima, prema zonama naselja, date su u Tabeli 1 Priloga 2 - Granične vrednosti indikatora buke, koji je odštampan uz ovu uredbu i čini njen sastavni deo.
Granične vrednosti indikatora buke u zatvorenim prostorijama u kojima borave ljudi date su u Tabeli 2 Priloga 2 - Granične vrednosti indikatora buke, koji je odštampan uz ovu uredbu i čini njen sastavni deo.
Metode za ocenjivanje indikatora buke date su u Prilogu 3 - Metode za ocenjivanje indikatora buke u životnoj sredini, koji je odštampan uz ovu uredbu i čini njen sastavni deo.
Štetni efekti buke na zdravlje ljudi ocenjuju se na osnovu odnosa doza buke-efekat. Metode za ocenu uznemiravanja i štetnih efekata buke date su u Prilogu 4 - Metode za ocenu uznemiravanja i štetnih efekata buke, koji je odštampan uz ovu uredbu i čini njen sastavni deo.
Ova uredba stupa na snagu osmog dana od dana objavljivanja u "Službenom glasniku Republike Srbije".
INDIKATORI BUKE U ŽIVOTNOJ SREDINI
1. Definicija osnovnih indikatora buke
Nivo buke za dan-veče-noć Lden, u decibelima dB(A) definiše se sledećom jednačinom:
(1)
gde su:
Lday - A-ponderisani dugovremenski prosečni nivo zvuka koji se određuje za sve dnevne periode u toku jedne godine;
Levening - A-ponderisani dugovremenski prosečni nivo zvuka koji se određuje za sve večernje periode u toku jedne godine;
Lnight - A-ponderisani dugovremenski prosečni nivo zvuka koji se određuje za sve noćne periode u toku jedne godine.
A - ponderisani dugovremenski prosečni nivo zvuka za odgovarajuće periode dana određuje se prema jednačini (2):
(2)
gde je:
LT - dugovremenski interval, 1 godina;
N - broj dana u godini (365);
LAeq,T - A-ponderisani ekvivalenti nivo određen za odgovarajući referentni vremenski interval;
T - trajanje referentnog vremenskog intervala (za dan 12 časova, za veče 4 časa i za noć 8 časova).
Termin godina odnosi se na relevantnu godinu u pogledu emisije zvuka i prosečnu godinu u pogledu meteoroloških uslova.
Pri određivanju indikatora, posmatra se samo direktan zvuk, a ne uzima se u obzir zvuk koji se reflektuje od fasade posmatrane zgrade.
Visina tačke u kojoj se određuju Lden i Lnight zavisi od primene:
1) Kada se radi o proračunima za strateške karte buke, a treba odrediti izloženost zgrade buci, visina tačke je 4,0±0,2 m (3,8 do 4,2 m) iznad tla, na najizloženijem delu fasade, a to je spoljni zid okrenut prema posmatranom zvučnom izvoru;
2) Kada se buka meri za potrebe izrade strateških karata buke, a treba odrediti izloženost zgrade buci, mogu se odabrati i druge visine, ali ne manje od 1,5 m iznad tla;
3) Za potrebe akustičkog planiranja ili akustičkog zoniranja prostora, mogu se odabrati i druge visine, ali ne niže od 1,5 m iznad tla, na primer:
- kod seoskih područja sa jednospratnim kućama,
- kod planiranja lokalnih mera zaštite od buke za određene stanove,
- pri izradi detaljnih karata buke u manjim, ograničenim zonama, kada treba prikazati izloženost pojedinačnih stanova buci.
2. Definicije dodatnih indikatora buke
2.1 Merodavni nivo buke, LRAeqT
Merodavni nivo buke LRAeqT u decibelima dB(A) je ekvivalentni A-ponderisani nivo tokom utvrđenog vremenskog intervala, kome se dodaju korekcije zbog karakteristika buke.
(3)
gde su:
LAeqT - ekvivalentni A-ponderisani nivo tokom utvrđenog vremenskog intervala.
Ki - korekcije zbog prisustva tona, impulsa ili drugih zvučnih informacija
Način određivanja merodavnog nivoa i korekcija utvrđeni su standardima SRPS ISO 1996-1 i SRPS ISO 1996-2.
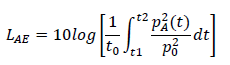
2.2 Nivo izloženosti buci (SEL) LAE
Nivo izloženosti buci je nivo buke pojedinačnog događaja za određeni vremenski interval i određuje se prema sledećoj jednačini
(4)
gde je:
pA(t) - trenutna vrednost A-ponderisanog zvučnog pritiska;
t2-t1 - posmatrani vremenski interval dovoljno dug da obuhvati sve značajne pojave buke u datom slučaju;
p0 - referentni zvučni pritisak (20 µPa);
t0 - referentno trajanje (1s).
GRANIČNE VREDNOSTI INDIKATORA BUKE
Granične vrednosti indikatora buke date su u tabelama 1 i 2. Granične vrednosti za dan i veče su jednake. Granične vrednosti se odnose na ukupnu buku koja potiče od svih izvora buke na posmatranoj lokaciji.
Tabela 1 Granične vrednosti indikatora buke na otvorenom prostoru
zona |
Namena prostora |
nivo buke u dB (A) |
|
za dan i veče |
za noć |
||
1. |
Područja za odmor i rekreaciju, bolničke zone i oporavilišta, kulturno-istorijski lokaliteti, veliki parkovi |
50 |
40 |
2. |
Turistička područja, kampovi i školske zone |
50 |
45 |
3. |
Čisto stambena područja |
55 |
45 |
4. |
Poslovno-stambena područja, trgovačko-stambena područja i dečja igrališta |
60 |
50 |
5. |
Gradski centar, zanatska, trgovačka, administrativno-upravna zona sa stanovima, zona duž autoputeva, magistralnih i gradskih saobraćajnica |
65 |
55 |
6. |
Industrijska, skladišna i servisna područja i transportni terminali bez stambenih zgrada |
Na granici ove zone buka ne sme prelaziti graničnu vrednost u zoni sa kojom se graniči |
|
Granične vrednosti date u tabeli 1 odnose se na osnovne indikatore buke i na merodavni nivo buke.
Tabela 2. Granične vrednosti indikatora buke u zatvorenim prostorijama
|
Namena prostorija |
nivo buke u dB(A) |
|
za dan i veče |
za noć |
||
1. |
Boravišne prostorije (spavaća i dnevna soba) u stambenoj zgradi pri zatvorenim prozorima. |
35 |
30 |
2. |
U javnim i drugim objektima, pri zatvorenim prozorima: |
|
|
|
a) bolesničke sobe |
35 |
30 |
|
b) ordinacije |
40 |
40 |
|
v) operacioni blok bez medicinskih uređaja i opreme |
35 |
35 |
2.2 |
Prostorije u objektima za odmor dece i učenika, i spavaće sobe domova za boravak starih lica i penzionera |
35 |
30 |
2.3 |
Prostorije za vaspitno-obrazovni rad (učionice, slušaonice, kabineti i sl.), bioskopske dvorane i čitaonice u bibliotekama |
40 |
40 |
2.4 |
pozorišne i koncertne dvorane |
30 |
30 |
2.5 |
hotelske sobe |
35 |
30 |
Granične vrednosti date u tabeli 2 odnose se na merodavni nivo buke.
METODE ZA OCENJIVANJE INDIKATORA BUKE U ŽIVOTNOJ SREDINI
1. Metode za ocenjivanje osnovnih indikatora
Vrednosti osnovnih indikatora mogu se odrediti ili proračunom ili merenjem. Za predviđanje buke koristi se isključivo proračun. Privremene metode za proračun i metode merenja date su tačkama 1.1. i 1.2. ovog priloga.
1.1 Ocenjivanje osnovnih indikatora na osnovu proračuna
Direktiva 2002/49/EZ preporučuje sledeće privremene metode za određivanje indikatora buke:
Za INDUSTRIJSKU BUKU: ISO 9613-2 Acoustics - Abatement of sound propagation outdoors, Part 2: General method of calculation.
Odgovarajući ulazni podaci se dobijaju merenjem koje se obavlja po jednoj od sledećih metoda:
- ISO 8297: 1994 "Acoustics - Determination of sound power levels of multisource industrial plants for evaluation of sound pressure levels in the environment - Engineering method";
- EN ISO 3744: 1995 "Acoustics - Determination of sound power levels of noise using sound pressure - Engineering method in an essentially free field over a reflecting plane";
- EN ISO 3746: 1995 "Acoustics - Determination of sound power levels of noise sources using an enveloping measurement surface over a reflecting plane".
Za buku VAZDUŠNOG SAOBRAĆAJA: ECAC.CEAC.Doc. 29 "Report on Standard Method of Computing Noise Contours around Civil Airports", 1997. Od nekoliko različitih pristupa za izradu modela putanje leta, preporučuje se tehnika segmentiranja iz ECAC.CEAC.Doc. 29, odeljak 7.5.
Za BUKU DRUMSKOG SAOBRAĆAJA: francuska nacionalna metoda proračuna "NMPB-Routes-96 (SETRA-CERTU-LCPC-CSTB)" na koju se poziva "Arrété du 15 mai 1995 relatif au bruit des infrastructures routiéres, Službeni list od 10. maja 1995., Član 6" i francuski standard "XPS 31-133". Za ulazne podatke u pogledu emisije, ovi se dokumenti pozivaju na "Guide du bruit des transports terrestres, fascicule prévision des niveaux sonores, CETUR 1980".
Za BUKU ŽELEZNIČKOG SAOBRAĆAJA: Holandska nacionalna metoda proračuna objavljena u "Rekenen Meetvoorschrift Railverkeerslawaai "96, Ministerie Volkshuisvesting, Ruimtelijke Ordening en Milieubeheer, 20. novembar 1996".
Ove metode se moraju prilagoditi definicijama osnovnih indikatora.
1.2. Ocenjivanje osnovnih indikatora na osnovu merenja
Određivanje osnovnih indikatora na osnovu merenja vrši se u skladu sa standardima SRPS ISO 1996-1 i SRPS ISO 1996-2.
2. Ocenjivanje dodatnih indikatora
Određivanje merodavnog nivoa buke vrši se u skladu sa standardima SRPS ISO 1996-1 i SRPS ISO 1996-1.
METODE ZA OCENU UZNEMIRAVANJA I ŠTETNIH EFEKATA BUKE
Za ocenu uznemiravanja i štetnih efekata buke na stanovništvo primenjuje se odnos doza buke-efekat, koji predstavlja:
- vezu između ometanja bukom i Lden za buku drumskog, železničkog i vazdušnog saobraćaja, kao i za industrijsku buku;
- vezu između remećenja sna i Lnight za buku drumskog, železničkog i vazdušnog saobraćaja, kao i za industrijsku buku.
Procenat stanovništva ugroženog bukom od saobraćaja u toku dana, se u državama evropske zajednice procenjuje sledećim jednačinama:
a) buka drumskog saobraćaja
% A = 1.795·10-4·(Lden-37)3 + 2.110·10-2·(Lden-37)2+0.5353· (Lden-37)
% HA = 9.868·10-4·(Lden-42)3 - 1.436·10-2·(Lden-42)2+0.5118· (Lden-42)
b) buka železničkog saobraćaja
% A = 4.538·10-4·(Lden-37)3 + 9.482·10-2·(Lden-37)2+0.2129· (Lden-37)
% HA = 7.239·10-4·(Lden-42)3 - 7.851·10-3·(Lden-42)2+0.1695· (Lden-42)
v) buka vazdušnog saobraćaja
% A = 8.588·10-6·(Lden-37)3 + 1.777·10-2·(Lden-37)2+1.221· (Lden-37)
% HA = 9.199·10-5·(Lden-42)3 + 3.932·10-2·(Lden-42)2+0.2939· (Lden-42)
U toku noći, procenat stanovništva koji može biti uznemiren bukom saobraćaja, procenjuje se sledećim jednačinama:
a) buka drumskog saobraćaja
% A = 13.8 - 0.85 Leq + 0.01670 Leq2
% HA = 20.8 - 1.05 Leq + 0.01486 Leq2
b) buka železničkog saobraćaja
% A = 12.5 - 0.66 Leq + 0.01121 L eq2
% HA = 11.3 - 0.55 Leq + 0.00759 L eq2
v) buka vazdušnog saobraćaja
% A = 13.714 - 0.807 Leq + 0.01555 Leq2
% HA = 18.1478 - 0.956 Leq + 0.01482 Leq2
gde je:
%A - procenat ugroženog stanovništva
%HA - procenat veoma ugroženog stanovništva









