UREDBA O USLOVIMA I POSTUPKU IZDAVANJA DOZVOLE ZA UPRAVLJANJE OTPADOM, KAO I KRITERIJUMIMA, KARAKTERIZACIJI, KLASIFIKACIJI I IZVEŠTAVANJU O RUDARSKOM OTPADU("Sl. glasnik RS", br. 53/2017) |
Ovom uredbom bliže se uređuju uslovi i postupak izdavanja dozvole za upravljanje otpadom, kao i kriterijumima, karakterizaciji, klasifikaciji i izveštavanju o rudarskom otpadu.
Pojedini izrazi upotrebljeni u ovoj uredbi imaju sledeće značenje:
1) otpad je svaka materija ili predmet koji držalac odbacuje, namerava ili je neophodno da odbaci;
2) opasan otpad je otpad koji po svom poreklu, sastavu ili koncentraciji opasnih materija može prouzrokovati opasnost po životnu sredinu i zdravlje ljudi i ima najmanje jednu od opasnih karakteristika utvrđenih ovom uredbom i/ili posebnim propisima kojima se uređuje upravljanje otpadom, uključujući i ambalažu u koju je opasan otpad bio ili jeste upakovan;
3) inertni otpad je otpad koji nije podložan bilo kojim fizičkim, hemijskim ili biološkim promenama, ne rastvara se, ne sagoreva ili na drugi način fizički ili hemijski reaguje, nije biološki razgradiv ili ne utiče nepovoljno na druge materije sa kojima dolazi u kontakt na način koji može da dovede do povećanja zagađenja životne sredine ili ugrozi zdravlje ljudi, a ukupno izluživanje i sadržaj zagađujućih materija u otpadu i ekotoksičnost izluženih materija ne smeju biti značajni, a posebno ne smeju da ugrožavaju kvalitet površinskih i/ili podzemnih voda, ako su ispunjeni svi navedeni kriterijumi, u kratkoročnom i dugoročnom periodu:
- otpad neće pretrpeti nikakvo značajno raspadanje ili rastvaranje ili drugu značajnu promenu koja može izazvati bilo kakav štetan uticaj na životnu sredinu ili naneti štetu zdravlju ljudi, ukoliko su sadržaji supstanci navedenih u alineji četvrtoj ove tačke ispod granice za inertan otpad predviđene posebnim propisima o kategorijama, ispitivanju i klasifikaciji otpada;
- otpad ima maksimalni sadržaj sulfidnog sumpora od 0,1%, ili otpad ima maksimalni sadržaj sulfidnog sumpora od 1% i srazmeru potencijala neutralizacije, koji je definisan kao srazmera između potencijala neutralizacije i kiselinskog potencijala i kada se odredi na osnovu statičnog ispitivanja prEN 15875, iznosi više od 3;
- otpad ne predstavlja rizik od samozapaljivanja i neće goreti;
- sadržaj supstanci u otpadu koje su potencijalno štetne za životnu sredinu ili zdravlje ljudi, a posebno As, Cd, Co, Cr, Cu, Hg, Mo, Ni, Pb, V i Zn, uključujući u zasebnim finim česticama u otpadu, dovoljno je nizak da rizik za ljude i životnu sredinu bude zanemarljiv, u kratkoročnom i dugoročnom periodu (da bi se smatrao dovoljno niskim da ne predstavlja rizik za ljude ili životnu sredinu, sadržaj tih supstanci ne sme da prelazi nacionalne granične vrednosti za prostore za koje je utvrđeno da nisu zagađeni ili relevantne za činioce životne sredine);
- otpad ne sadrži u većoj meri proizvode koji se koriste za iskopavanje ili pripremu, a koji bi mogli naneti štetu životnoj sredini ili zdravlju ljudi;
4) jalovište jeste prirodan ili izgrađen objekat koji služi za odlaganje sitno zrnastog otpada, jalovine, zajedno sa različitim količinama slobodne vode nastale pri pripremi mineralne sirovine i izbistravanjem i recirkulacijom procesne vode;
5) nezagađena otkrivka je površinski sloj zemljine kore, koji je uklonjen tokom aktivnosti otkopavanja mineralnih sirovina i koji se ne smatra zagađenim na osnovu propisa iz oblasti zaštite zemljišta;
6) prostor za odlaganje rudarskog otpada (u daljem tekstu: deponija rudarskog otpada) jeste svaki prostor određen za sakupljanje ili odlaganje rudarskog otpada, u čvrstom ili tečnom stanju, kao rastvor ili suspenziju, u sledećim vremenskim periodima:
- bez vremenskog ograničenja za deponije za upravljanje otpadom kategorije A i deponije za upravljanje opasnim otpadom, koja su navedena u planu upravljanja rudarskim otpadom;
- duže od šest meseci za deponije za neočekivano nastali opasni rudarski otpad;
- duže od tri godine za deponije za nezagađeno zemljište, neopasan rudarski otpad od geoloških istraživanja, otpad nastao iskopavanjem, obradom ili skladištenjem treseta i inertni rudarski otpad;
U deponije za upravljanje rudarskim otpadom uključene su i svi nasipi/brane i drugi objekti koji služe za kontrolisanje, zadržavanje, ograđivanje ili na drugi način osiguravaju stabilnost deponije i takođe uključuju, između ostalog, jalovišta i akumulacije, kao i sve druge objekte koji služe zadržavanju, spremanju ili osiguravaju stabilnost deponije, ali isključuju eksploataciona polja izbrisana iz katastra eksploatacionih polja u koje se otpad vraća nakon otkopavanja mineralnih sirovina, u svrhu saniranja ili izgradnje;
7) veliki udes jeste događaj na lokaciji tokom aktivnosti koja uključuje upravljanje rudarskim otpadom u bilo kom objektu na koji se primenjuju odredbe ove uredbe, koji dovodi u ozbiljnu opasnost zdravlje ljudi i/ili životnu sredinu, odmah ili tokom vremena, na lokaciji ili izvan nje;
8) vodni recipijent jesu površinske vode, podzemne vode, vodna ušća i/ili obalna voda odnosno prirodni i veštački vodotoci, jezera, akumulacije i zemljište, u koje se ispuštaju otpadne i atmosferske vode kako je utvrđeno u propisima iz oblasti voda;
9) sanacija, odnosno remedijacija jeste proces preduzimanja mera za zaustavljanje zagađenja i dalje degradacije životne sredine do nivoa koji je bezbedan za buduće korišćenje lokacije uključujući uređenje prostora, revitalizaciju i rekultivaciju prostora;
10) nasip/brana jeste objekat izgrađen za zadržavanje vode i rudarskog otpada unutar akumulacionog prostora;
11) javnost jeste jedno ili više fizičkih ili pravnih lica, i u skladu s propisima ili praksom, njihova udruženja, organizacije ili grupe;
12) zainteresovana javnost jeste javnost na koju utiče ili na koju može uticati ili koja ima interes pri donošenju odluka u vezi sa zaštitom životne sredine, shodno odredbama ove uredbe kojima se uređuje sprečavanje velikog udesa i informisanje javnosti i zahtev i dozvola. U smislu ove definicije smatra se da nevladine organizacije koje promovišu zaštitu životne sredine i ispunjavaju bilo koje primenjive zahteve iz propisa, imaju interes pri donošenju odluka;
13) operater jeste privredno društvo odnosno drugo pravno lice i preduzetnik, odgovorno za upravljanje rudarskim otpadom u skladu sa zakonom kojim se uređuje oblast rudarstva i geoloških istraživanja (u daljem tekstu: Zakon), uključujući i privremeno skladištenje rudarskog otpada, kao i tokom perioda rada deponije i nakon njenog zatvaranja;
14) držalac rudarskog otpada je proizvođač rudarskog otpada, odnosno privredno društvo ili drugo pravno lice i preduzetnik, koje je u posedu otpada, koje je steklo svojstvo nosioca eksploatacije i/ili nosioca istraživanja u skladu sa odredbama Zakona;
15) lokacija jeste celokupno zemljište na određenoj geografskoj lokaciji kojom upravlja operater i koja je pod njegovom upravljačkom kontrolom.
Operater odlaže rudarski otpad i upravlja rudarskim otpadom na osnovu dozvole za upravljanje otpadom (u daljem tekstu: dozvola) koju izdaje ministarstvo nadležno za poslove rudarstva (u daljem tekstu: Ministarstvo) odnosno nadležni pokrajinski organ.
Dozvola se izdaje u skladu sa planom upravljanja rudarskim otpadom i drugom pratećom dokumentacijom, kojom operater definiše vrstu, način upravljanja i izveštavanja, kao i druge obaveze po pitanju upravljanja rudarskim otpadom.
Dozvola se izdaje rešenjem koje donosi Ministarstvo, odnosno nadležni pokrajinski organ.
Dozvola sadrži podatke o:
1) kategoriji deponije;
2) vrsti i karakteru rudarskog otpada koji će se odlagati;
3) okvirnoj količini rudarskog otpada u m3, koji će biti odlagan na deponiji;
4) načinu odlaganja rudarskog otpada i metodama kontrole sastava rudarskog otpada;
5) postupku nadzora rada i održavanja deponije;
6) izveštavanju nadležnog organa o radu deponije;
7) uslovima koje operater mora ispuniti da bi se moglo pristupiti postupku zatvaranja deponije, kao i o sprečavanju štetnog uticaja deponije na životnu sredinu nakon zatvaranja;
8) roku u kojem operater mora nadležnom organu pri zatvaranju deponije dostaviti dokumentaciju u skladu sa odredbama ove uredbe;
9) planu upravljanja otpadom.
Plan upravljanja rudarskim otpadom operater izrađuje u skladu sa ciljevima:
1) sprečavanja ili smanjivanja nastajanja rudarskog otpada i njegovog negativnog uticaja na životnu sredinu, posebno uzimajući u obzir:
- upravljanje rudarskim otpadom u fazi projektovanja, kao i prilikom odabira metode otkopavanja i pripreme mineralnih sirovina;
- promene do kojih može doći u rudarskom otpadu u vezi s povećanjem dostupne površine i izloženosti uslovima na površini zemlje;
- vraćanje površinskog sloja zemljišta nakon zatvaranja deponije ili, ako to nije izvodljivo, njegovim iskorišćenjem na nekom drugom mestu;
- upotrebu manje opasnih supstanci pri pripremi mineralnih sirovina;
2) podsticanja iskorišćenja rudarskog otpada recikliranjem, ponovnom upotrebom ili uklanjanjem takvog otpada kada je to prihvatljivo za životnu sredinu, u skladu sa propisima iz oblasti zaštite životne sredine;
3) osiguranja kratkotrajnog i dugotrajnog sigurnog zbrinjavanja rudarskog otpada razmatranjem, posebno u fazi projektovanja, upravljanja deponijama tokom rada i nakon zatvaranja, kao i izborom projekta koji:
- zahteva minimalno, i ako je moguće, u krajnjoj meri ne zahteva praćenje, kontrolu i upravljanje zatvorenim deponijama;
- sprečava ili barem svodi na najmanju moguću meru sve dugotrajne nepovoljne uticaje na životnu sredinu, kao što su oni koji se mogu pripisati širenju zagađivača putem vazduha ili vode; i
- osigurava trajnu geotehničku stabilnost svih nasipa/brana ili jalovišta koji su iznad prethodno postojećeg nivoa tla.
Operater u plan upravljanja rudarskim otpadom unosi:
1) podatke o držaocu rudarskog otpada;
2) osnovne podatke o licima koja su učestvovala u izradi plana, o odgovornom licu, datumu izrade, potpis odgovornog lica i overu potpisa pečatom ovlašćene organizacije koja je izradila plan, kao i podatke o licu koje će upravljati deponijom;
3) opis prostora na kojem nastaje i gde se planira odlaganje rudarskog otpada, koji je određen, uzimajući u obzir posebne obaveze Evropske zajednice ili obaveze Republike Srbije u vezi sa zaštićenim područjima, i geološkim, hidrološkim, hidrogeološkim, seizmičkim i geotehničkim faktorima;
4) opis rudarskog ili geološkog projekta, prema kojem se izvode radovi za odlaganje rudarskog otpada, a koji ispunjava potrebne uslove za kratkoročno i dugoročno sprečavanje zagađenja zemljišta, vazduha, podzemnih ili površinskih voda, posebno uzimajući u obzir propise iz oblasti zagađenja izazvanog određenim opasnim supstancama koje se ispuštaju u vodenu sredinu i propise iz oblasti voda;
5) program praćenja uticaja na životnu sredinu;
6) predlog kategorije deponije u skladu s kriterijumima utvrđenim u članu 17. ove uredbe, i to:
- ako se zahteva deponija kategorije A, dokument kojim se dokazuje da će se uspostaviti politika sprečavanja velikih udesa, sistem upravljanja bezbednošću za njenu implementaciju i interni plan za zaštitu od udesa;
- ako operater smatra da se ne zahteva deponija kategorije A, dodatne podatke koji dokazuju opravdanost takvog predloga, uključujući identifikovanje mogućih opasnosti u slučaju nesreće;
7) karakterizaciju rudarskog otpada u skladu sa članom 16. ove uredbe, i izjavu o procenjenim ukupnim količinama rudarskog otpada koji će nastati tokom operativne faze;
8) opis proizvodnih postupaka kojima se generiše takav otpad i svih daljih postupaka pripreme koji će se primenjivati;
9) opis načina na koji odlaganje rudarskog otpada može štetno da utiče na životnu sredinu i zdravlje ljudi i preventivne mere koje je potrebno preduzeti kako bi se uticaj na životnu sredinu tokom rada i nakon zatvaranja deponije sveo na minimum i to posebno predlog mera za:
- smanjenje erozije uzrokovane vodom ili vetrom, u meri u kojoj je to tehnički moguće i ekonomski opravdano;
- osiguranje fizičke stabilnosti deponije, sprečavanje kratkoročnog i dugoročnog zagađenja zemljišta, vazduha, površinskih i/ili podzemnih voda, radi smanjenja moguće štete po predele na najmanju moguću meru;
- sanaciju i rekultivaciju i zatvaranje deponija;
10) predlog procedura kontrole i praćenja deponije u skladu sa odredbama ove uredbe;
11) predlog plana zatvaranja, uključujući i sanaciju, ukoliko je potrebna, procedure nakon zatvaranja i praćenje u skladu sa odredbama ove uredbe;
12) predlog perioda za koji se izrađuje i preispituje plan upravljanja rudarskim otpadom;
13) mere za sprečavanje pogoršanja stanja voda u skladu sa propisima iz oblasti voda, kao i mere za sprečavanje ili smanjenje zagađenja vazduha i zemljišta u skladu sa odredbama ove uredbe;
14) podatke o trenutnom stanju zemljišta koje može biti ugroženo radom deponije;
15) način izveštavanja Ministarstva, odnosno nadležnog pokrajinskog organa i nadležnog organa za vanredne situacije u slučaju kada operater utvrdi da postoje događaji koji bi mogli da ugroze stabilnost deponije ili na osnovu procedura kontrole i praćenja utvrdi da postoje značajni negativni efekti na životnu sredinu, najkasnije u roku od 48 sati nakon što utvrdi postojanje takvih događaja ili efekata;
16) opis internog plana za zaštitu od udesa i podatke potrebne za izradu eksternog plana zaštite od udesa;
17) način podmirenja troškova za preduzete mere, u cilju da se ispune sve obaveze iz dozvole i u pogledu deponije, uključujući i one koje se odnose na period nakon zatvaranja deponije, tako da postoje sredstva koja će biti raspoloživa u svakom trenutku za sanaciju zemljišta i drugih činioca životne sredine na koje je uticala deponija, kao što je opisano u planu upravljanja rudarskim otpadom.
Kada operater upravlja deponijom za odlaganje inertnog rudarskog otpada i/ili nezagađene otkrivke koja nastaje kao posledica istraživanja i eksploatacije mineralnih sirovina, na koji se odnose odredbe člana 25. ove uredbe, izrađuje se plan upravljanja rudarskim otpadom u sklopu rudarskog i/ili geološkog projekta urađenog u skladu sa Zakonom.
Zahtev za izdavanje dozvole sadrži podatke o podnosiocu zahteva, predlog prostora za deponiju, i podatke o rudarskom i/ili geološkom projektu prema kojem se izvode radovi na odlaganju rudarskog otpada.
Uz zahtev se dostavlja:
1) plan upravljanja rudarskim otpadom;
2) odgovarajući akt iz oblasti zaštite životne sredine, ako se zahteva procena uticaja na životnu sredinu u skladu sa propisima iz oblasti zaštite životne sredine;
3) odobrenja nosioca eksploatacije i/ili nosioca istraživanja.
Ministarstvo, odnosno nadležni pokrajinski organ, odbija zahtev za izdavanje dozvole ako:
1) operater ne dostavi sve podatke iz člana 8. ove uredbe;
2) se utvrdi da je upravljanje rudarskim otpadom u direktnoj suprotnosti, ili na drugi način ometa sprovođenje odgovarajućeg plana ili planova upravljanja otpadom prema posebnim propisima;
3) ako se utvrdi da plan upravljanja rudarskim otpadom nije u izrađen u skladu sa ciljevima određenim u članu 5. ove uredbe.
Ministarstvo, odnosno nadležni pokrajinski organ, svakih pet godina razmatra uslove za izdavanje dozvola i po potrebi ih ažurira na osnovu:
1) značajne promene u radu deponije ili u vezi sa odloženim rudarskim otpadom na osnovu izveštaja koji operater dostavlja Ministarstvu, odnosno nadležnom pokrajinskom organu;
2) rezultata monitoringa o kojima je izvestio operatera ili izveštaja geoloških i rudarskih inspekcija;
3) informacija o značajnim promenama u najboljim dostupnim tehnikama koje je objavila Evropska komisija.
Podaci sadržani u dozvoli izdatoj na osnovu ove uredbe dostavljaju se na raspolaganje organima nadležnim za statistiku Republike Srbije i statističkim telima Evropske zajednice, kada se to zahteva u statističke svrhe. Podaci čisto komercijalne prirode, kao što su podaci o poslovnim odnosima i strukturi troškova operatera, nisu za objavljivanje.
Ministarstvo, odnosno nadležni pokrajinski organ, putem javnih obaveštenja ili drugim odgovarajućim sredstvima, kao što su elektronski mediji ukoliko su na raspolaganju, na samom početku postupka izdavanja dozvole ili čim to postane moguće, dostavlja zainteresovanoj javnosti informacije o:
1) zahtevu za izdavanje dozvole;
2) nazivu i adresi operatera i lokaciji deponije;
3) odluci da zahtev za izdavanje dozvole podleže međusobnom savetovanju susednih zemalja u skladu sa čl. 21. i 22. ove uredbe;
4) podacima o nadležnim organima odgovornim za donošenje odluke, o nadležnim organima od kojih se mogu pribaviti odgovarajući podaci, o nadležnim organima kojima se mogu dostaviti primedbe ili pitanja i detaljni podaci o rokovima za dostavljanje primedbi ili pitanja;
5) vrsti predloženih dozvola;
6) prema potrebi, detaljima u vezi s predlogom za ažuriranje dozvole ili uslova dozvole;
7) vremenu i mestu gde ili medijima preko kojih se objavljuju informacije o dozvolama;
8) podacima u vezi sa organizacijom učestvovanja javnosti;
9) informaciju o delatnostima koje se obavljaju na lokaciji;
10) uobičajenim nazivima ili generičkim nazivima ili opštoj klasifikaciji opasnosti supstanci i smeša koje se nalaze u deponiji, kao i otpada koji bi mogao da prouzrokuje veliki udes, s navođenjem njihovih osnovnih opasnih svojstava;
11) opštim informacijama o prirodi opasnosti od velikih udesa, uključujući njihove moguće posledice za okolno stanovništvo i životnu sredinu;
12) odgovarajućim informacijama o tome kako će okolno ugroženo stanovništvo biti upozoreno i obavešteno u slučaju dešavanja velikog udesa;
13) odgovarajućim informacijama o merama koje stanovništvo iz tačke 12) ovog člana treba da preduzme i kako treba da se ponaša u slučaju dešavanja velikog udesa;
14) potvrdi da operater mora da uspostavi odgovarajuću saradnju na lokaciji, posebno sa službama za vanredne situacije, za postupanje u slučaju velikih udesa i radi smanjivanja njihovih posledica na najmanju meru;
15) upućivanju na eksterni plan zaštite od udesa, koji izrađuje organ lokalne samouprave kako bi se sprečile potencijalne posledice udesa izvan lokacije deponije u trenutku nesreće, u skladu sa propisima kojima se uređuju vanredne situacije;
16) detaljima o tome gde se mogu dobiti dodatne odgovarajuće informacije, u skladu sa uslovima o poverljivosti određenim ovom uredbom i drugim propisima.
Ministarstvo, odnosno nadležni pokrajinski organ, preduzima odgovarajuće mere kako bi, u skladu sa članom 12. ove uredbe, javnost bila obaveštena o izvršenoj kontroli i ažuriranim uslovima za izdavanje dozvole u skladu sa članom 10. ove uredbe.
Zainteresovana javnost ima pravo da dostavi svoje primedbe i mišljenja Ministarstvu, odnosno nadležnom pokrajinskom organu, u roku od 15 dana od dana izdavanja obaveštenja izdatih u skladu sa odredbama člana 12. ove uredbe, a pre donošenja rešenja o izdavanju dozvole.
U postupku izdavanja dozvole Ministarstvo, odnosno nadležni pokrajinski organ, razmatra i rezultate učešća javnosti koje je sprovedeno u skladu sa odredbama ove uredbe.
Ministarstvo, odnosno nadležni pokrajinski organ, obaveštava zainteresovanu javnost i stavlja joj na raspolaganje sadržaj dozvole, odnosno kopiju dozvole sa obrazloženjem na kojem se zasniva rešenje o izdavanju dozvole.
Rudarski otpad koji se odlaže u deponiji mora se karakterizovati na način kojim se osigurava dugotrajna fizička i hemijska stabilnost strukture deponije, kao i sprečavanje velikog udesa.
Karakterizacija otpada, u skladu s kategorijom deponije, uključuje sledeće:
1) opis očekivanih fizičkih i hemijskih svojstava otpada koji će se kratkotrajno ili dugotrajno odlagati, s posebnim osvrtom na njegovu stabilnost ispod površine, pod uticajem atmosferskih i meteoroloških uslova, uzimajući u obzir vrstu mineralnih sirovina koje se istražuju odnosno eksploatišu, kao i svojstva i sastav otkrivke ili jalovine koji će se odlagati na deponiji;
2) klasifikaciju rudarskog otpada u skladu sa posebnim propisima za upravljanje otpadom o kategorijama, ispitivanju i klasifikaciji, posebno u vezi s njegovim opasnim karakteristikama;
3) opis reagenasa koje se koriste tokom pripreme mineralnih sirovina i njihove stabilnosti;
4) opis postupaka odlaganja;
5) opis sistema transporta otpada koji će se primenjivati.
Karakterizacija otpada obuhvata sledeće informacije:
1) polazne informacije;
2) geološku podlogu ležišta koje će se istraživati, odnosno eksploatisati;
3) karakter otpada i planirano rukovanje rudarskim otpadom;
4) geotehničko ponašanje rudarskog otpada;
5) geohemijske karakteristike i ponašanje rudarskog otpada.
Kriterijumi za definisanje inertnog otpada uzimaju se u obzir prilikom procene geohemijskog ponašanja otpada. Otpad koji se na osnovu tih kriterijuma smatra inertnim, će biti podvrgnut jedino relevantnom delu geohemijskog testiranja.
Informacije i podaci potrebni za karakterizaciju rudarskog otpada prikupljaju se tako da:
1) se koriste postojeća istraživanja i studije, uključujući postojeće dozvole, geološka istraživanja, slične lokacije, liste inertnog otpada, odgovarajuće šeme sertifikacije i slični materijali koji zadovoljavaju tehničke uslove iz stava 7. ovog člana;
2) se evaluira kvalitet i reprezentativnost svih informacija i utvrde informacije koje eventualno nedostaju;
3) kada informacije potrebne za karakterizaciju otpada nedostaju, se plan uzorkovanja sastavlja i uzorci se uzimaju u skladu sa tim planom uzorkovanja;
4) ispitivanje rudarskog otpada vrše stručne organizacije i druga pravna lica koja su akreditovana za uzrokovanje i karakterizaciju prema obimu ispitivanja rudarskog otpada.
Planovi uzorkovanja se zasnivaju na identifikovanim informacijama, prema potrebi uključujući:
1) svrhu prikupljanja podataka;
2) program testiranja i uslove uzorkovanja;
3) mesta uzorkovanja, uključujući uzimanje uzoraka iz jezgra bušotine, sa radnog čela, transportne trake, gomile, jezera ili druga relevantna mesta;
4) procedure i preporuke za potrebni broj uzoraka, veličinu, masu, opis i rukovanje.
5) evaluaciju pouzdanosti i kvaliteta rezultata uzorkovanja;
6) dodatne informacije, koristeći istu metodu, s tim da se konačan rezultat uvrštava u plan upravljanja rudarskim otpadom.
Operateri koriste sledeće tehničke uslove za karakterizaciju rudarskog otpada:
1) polazne opšte informacije o:
(1) delatnostima bušenja, otkopavanja ili pripreme;
(2) vrsti i opisu metoda otkopavanja i pripreme koji se primenjuje;
(3) vrsti planiranog proizvoda;
2) geološku podlogu ležišta i identifikaciju jedinice rudarskog otpada koje će biti izložene otkopavanjem i pripremom, pružanjem relevantnih informacija o:
(1) prirodi okolnih stena, njihovom hemijskom i mineraloškom sastavu, uključujući hidrotermalnu promenu mineralizovanih stena i ogoljenih stena;
(2) prirodi ležišta, uključujući mineralizovane stene ili mineralizaciju okolnih stena;
(3) tipu mineralizacije, njihovoj hemiji i mineralogiji, uključujući fizička svojstva kao što su gustina, poroznost, granulometrijski sastav, sadržaj vode, prerađeni minerali, mineralni otpad, novonastali hidrotermalni minerali;
(4) veličini i geometriji ležišta;
(5) razgradnji i supergenim promenama u hemijskom i mineraloškom smislu;
3) rudarski otpad i predviđeno postupanje sa otpadom koje uključuje opis prirode svih vrsta otpada koji nastaju prilikom svakog istraživanja, otkopavanja i pripreme, uključujući nezagađenu otkrivku, otkrivku, proslojke i jalovinu, navodeći informacije o sledećim elementima:
(1) poreklu otpada na lokaciji otkopavanja i postupku dobijanja takvog otpada kao što je istraživanje, otkopavanje, usitnjavanje, koncentracija;
(2) količini otpada;
(3) opisu sistema transporta otpada;
(4) opisu reagenasa koji će se koristiti tokom prerade;
(5) klasifikaciji rudarskog otpada u skladu sa propisima o upravljanju otpadom, uključujući opasna svojstva;
(6) kategoriji predviđene deponije, konačnom obliku izlaganja otpada i metodi odlaganja otpada u deponije;
4) geotehničko ponašanje rudarskog otpada i to:
(1) određivanje odgovarajućih parametara za procenu bitnih fizičkih karakteristika otpada uzimajući u obzir vrstu deponije;
(2) relevantni parametri koje treba uzeti u obzir su: krupnoća, plastičnost, gustina, sadržaj vode, stepen zbijenosti, napon smicanja, ugao unutrašnjeg trenja, propustljivost, koeficijent poroznosti, stišljivost i konsolidacija;
5) geohemijske karakteristike i ponašanje otpada i to specifikacija hemijskih i mineraloških karakteristika otpada i svih aditiva ili ostataka koji ostaju u otpadu;
6) predviđanje pojave kiselih drenažnih voda tokom vremena za svaku vrstu rudarskog otpada, uzimajući u obzir predviđeno postupanje, a posebno:
(1) za procenu proceđivanja metala, oksidnih jona i rastvorenih soli tokom vremena koristeći test izluživanja s obzirom na pH vrednost, i/ili perkolacioni test i/ili test vremenskog otpuštanja i/ili drugo odgovarajuće ispitivanje;
(2) za otpad koji sadrži sulfide sprovode se statička ili kinetička ispitivanja u svrhu određivanja kiselih drenažnih voda i rastvaranja metala tokom vremena.
Rudarski otpad se klasifikuje i odlaže u deponiju kategorije A ako:
1) zbog kvara ili neispravnog rada, npr. rušenja jalovišta ili pucanja nasipa/brane, na osnovu procene rizika može doći do tehničko-tehnoloških nesreća-udesa, pri čemu se u obzir uzimaju faktori kao što su sadašnja ili buduća veličina, lokacija i uticaj na životnu sredinu; ili
2) je klasifikovan kao opasan otpad u skladu sa propisima za upravljanje otpadom iznad određene granične vrednosti; ili
3) sadrži supstance ili smeše koje su klasifikovane kao opasne na osnovu propisa za upravljanje otpadom iznad određene granične vrednosti.
Deponije se klasifikuju u kategoriju A u skladu sa stavom 1. tačka 1) ovog člana, ako zbog gubitka celovitosti konstrukcije ili neispravnog rada deponije posledice, kratkoročno i dugoročno, mogu dovesti do:
1) nezanemarljive mogućnosti gubitka ljudskih života;
2) ozbiljne opasnosti po zdravlje ljudi;
3) ozbiljne opasnosti po životnu sredinu.
U svrhu klasifikacije iz stava 2. ovog člana prilikom ocene potencijalne opasnosti koju predstavlja deponija u obzir se uzima celokupno vreme razdoblja rada deponije, uključujući i fazu nakon zatvaranja.
U smislu ovog člana celovitost konstrukcije deponije znači njegovu sposobnost da zadrži otpad unutar nasipa na način za koji je projektovano.
Gubitak celovitosti konstrukcije obuhvata sve moguće mehanizme kvara koji su bitni za konstrukciju predmetnih deponija.
Ocena posledica gubitka celovitosti konstrukcije obuhvata trenutni uticaj bilo kog materijala koji se prevozi iz deponije kao posledica kvara i posledičnih kratkoročnih i dugoročnih efekata.
U smislu ovog člana, neispravan rad deponije znači svako funkcionisanje koje može dovesti do velikih udesa, uključujući neuspeh u sprovođenju mera zaštite životne sredine ili pogrešan ili nedovoljno razrađen projekat deponije.
Procena ispuštanja zagađujućih materija kao rezultat neispravnog rada obuhvata efekte kratkotrajnih ispuštanja velikih koncentracija, kao i dugotrajno ispuštanje zagađujućih materija, razdoblje u kom je deponija u pogonu kao i dugoročno razdoblje nakon zatvaranja i uključuje ocenu potencijalnih opasnosti koje predstavljaju deponije koje sadrže reaktivan otpad, bez obzira na klasifikaciju otpada kao opasnog ili neopasnog u skladu sa propisima za upravljanje otpadom.
Ministarstvo, odnosno nadležni pokrajinski organ, procenjuje posledice kvara zbog gubitka celovitosti konstrukcije ili neispravnog rada deponije u skladu sa st. 10, 11. i 12. ovog člana.
Mogućnost gubitka života ili opasnost po zdravlje ljudi smatraće se zanemarljivim ili lakšom opasnošću ako se ne očekuje da drugi ljudi, trajno ili tokom dužeg razdoblja prisutni u zahvaćenom području, osim radnika koji upravljaju deponijom, mogu biti zahvaćeni. Povrede koje uzrokuju invalidnost ili dugotrajno narušeno zdravlje smatraju se ozbiljnom opasnošću po zdravlje ljudi.
Potencijalna opasnost po životnu sredinu ne smatra se ozbiljnom ako:
1) se intenzitet snage mogućeg izvora zagađenja značajno smanjuje u kratkom razdoblju;
2) kvar ne dovodi do bilo kakve trajne ili dugotrajne štete po životnu sredinu;
3) se zahvaćeno okruženje može vratiti u prvobitno stanje kroz manje čišćenje i sanaciju.
Prilikom utvrđivanja mogućnosti za gubitak ljudskih života ili opasnosti po zdravlje ljudi ili po životnu sredinu, posebne procene razmera potencijalnih uticaja se uzimaju u obzir u kontekstu lanca izvor-putanja-recipijent. Kada ne postoji putanja kretanja između izvora i recipijenta, predmetna deponija se ne klasifikuje u kategoriju A na osnovu kvara zbog gubitka celovitosti konstrukcije ili neispravnog rada.
U slučaju gubitka celovitosti konstrukcije brane na jalovištu, smatraće se da su ljudski životi u opasnosti kada nivo vode ili mulja dostigne visinu od najmanje 0,7 m iznad tla ili kada brzina vode ili mulja pređe 0,5 m/s.
Procena mogućnosti gubitka života i opasnosti po zdravlje ljudi obuhvata najmanje sledeće faktore:
1) veličinu i karakteristike deponije uključujući projekat deponije;
2) kvantitet i kvalitet zajedno sa fizičkim i hemijskim svojstvima otpada u deponiji;
3) topografiju prostora deponije, uključujući karakteristike deponovanja;
4) vreme kretanja mogućeg vodenog talasa do područja gde su prisutni ljudi;
5) brzina širenja vodenog talasa;
6) predviđena visina vode ili mulja;
7) brzina rasta nivoa vode ili mulja;
8) sve bitne faktore specifične za lokaciju koji mogu da utiču na mogućnost gubitka života ili predstavljaju opasnost po zdravlje ljudi.
U slučaju klizanja otpada, smatra se da svaka masa otpada u pokretu predstavlja opasnost po život ljudi, ako se ljudi nalaze unutar dometa mase otpada u pokretu.
Procena mogućnosti gubitka života i opasnosti po zdravlje ljudi, pri pojavi klizišta, obuhvata najmanje sledeće faktore:
1) veličinu i karakteristike deponije uključujući projekat deponije;
2) kvantitet i kvalitet zajedno sa fizičkim i hemijskim svojstvima otpada u deponiji;
3) ugao nagiba jalovišta;
4) mogućnost sakupljanja podzemnih voda unutar jalovišta;
5) stabilnost podloge;
6) topografiju;
7) blizinu vodotokova, građevina, zgrada;
8) rudarske radove;
9) sve druge faktore specifične za lokaciju koji značajno mogu da doprinesu riziku koji predstavlja deponija.
Granična vrednost navedena u stavu 1. tačka 2) ovog člana određuje se kao odnos masa, kao suve materije, za:
1) sav rudarski otpad razvrstan kao opasan u skladu sa propisima za upravljanje otpadom i za koji postoji verovatnoća da će biti prisutan u deponiji na kraju predviđenog razdoblja rada, i
2) rudarski otpad za koji postoji verovatnoća da će biti prisutan u deponiji na kraju predviđenog razdoblja rada.
Kada odnos iz stava 17. ovog člana prelazi 50% deponija će biti klasifikovana kao kategorija A.
Kada je odnos iz stava 17. ovog člana između 5% i 50%, deponija se klasifikuje u kategoriju A. Izuzetno, takva deponija se ne može svrstati u kategoriju A, ako je to opravdano na osnovu procene rizika za određenu lokaciju, s posebnim fokusom na efektima opasnog otpada, a koja se sprovodi kao deo kategorizacije na osnovu posledica kvara zbog gubitka celovitosti ili neispravnog rada, i dokazujući da deponija ne treba da bude svrstana u kategoriju A na osnovu sadržaja opasnog otpada.
Kada je odnos iz stava 17. ovog člana manji od 5%, tada se deponija ne klasifikuje u kategoriju A na osnovu sadržaja opasnog otpada.
Ministarstvo, odnosno nadležni pokrajinski organ, procenjuje da li je ispunjen kriterijum utvrđen u stavu 1. tačka 3) ovog člana u skladu sa vrednostima navedenim u st. 22-24. ovog člana.
Za planirana jalovišta koristi se sledeća metoda:
1) sastavlja se popis reagenasa koji se koriste u pripremi i koji se zatim ispuštaju zajedno sa otpadnim muljem u jalovište;
2) za svaki reagens se unapred procenjuju godišnje količine koje se koriste u procesima, za svaku planiranu godinu rada;
3) za svaki reagens se utvrđuje da li se radi o opasnoj supstanci ili opasnoj smeši u smislu propisa iz oblasti upravljanja hemikalijama;
4) za svaku planiranu godinu rada, godišnje povećanje akumulirane vode (ΔQi) u jalovištu izračunava se, u stabilnim uslovima, prema formuli datoj u stavu 27. ovog člana;
5) za svaku opasnu supstancu ili smešu koje se identifikuju u skladu sa tačkom 3) ovog stava, maksimalna godišnja koncentracija (Cmax) u vodenoj fazi procenjuje se u skladu s formulom utvrđenom u stavu 28. ovog člana. Ako se, na osnovu procene najvećih godišnjih koncentracija (Cmax), vodena faza smatra "opasnom" u smislu propisa iz oblasti voda, deponija se klasifikuje kao kategorija A.
Klasifikacija jalovišta se zasniva na metodologiji utvrđenoj u stavu 22. ovog člana ili na direktnoj hemijskoj analizi vode i čvrstih materija koje se nalaze u jalovištu. Ukoliko se vodena faza i njen sadržaj smatraju opasnim u smislu posebnih propisa iz oblasti voda jalovište se klasifikuje kao kategorija A.
U slučajevima kada se metali izdvajaju iz gomila rude luženjem, vrše se provere na opasne supstance prilikom zatvaranja na osnovu popisa korišćenih hemikalija i zaostalih koncentracija tih hemikalija nakon završenog luženja. Ako se takve procedne vode smatraju opasnim u smislu propisa iz oblasti voda deponija se klasifikuje kao kategorija A.
Odredbe st. 17 - 24. ovog člana ne primenjuju se na deponije koje sadrže isključivo inertni otpad ili nezagađenu otkrivku.
Preispitivanje kategorizacije sprovodi Ministarstvo, odnosno nadležni pokrajinski organ, ako je dozvola znatno izmenjena ili su značajno promenjeni radni uslovi i sprovodi se najkasnije na kraju razdoblja rada deponije.
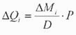
Formula za izračunavanje prosečnog godišnjeg povećanja vode u jalovištu ΔQ je:

gde je:
ΔQi = godišnje povećanje vode u akumulaciji za skupljanje jalovine (m3/god) tokom godine ‘i’ ;
ΔΜi = godišnja masa jalovine koja se deponuje (tona suve mase/godina) tokom godine ‘i’;
D = prosečna suva zapreminska gustina deponovane jalovine (u t/m3);
P = prosečna poroznost nataložene jalovine (m3/m3) definisana kao odnos zapremine pora prema ukupnoj zapremini deponovane jalovine;
s tim da ako tačni podaci nisu dostupni, treba koristiti zadate vrednosti 1,4 t/m3 za nasipnu zapreminsku gustinu i 0,5 m3/m3 za poroznost.
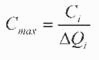
Procena maksimalne koncentracije u vodenoj fazi Cmax je:

gde je:
Ci = godišnja masa svake supstance i smeše kao što je utvrđeno u stavu 22. tač. 2) i 3) ovog člana, koji se ispuštaju u deponiju tokom godine ‘i’.
Nakon zatvaranja deponije, a u periodu određenom u skladu sa odredbama ove uredbe, operater je dužan da:
1) obaveštava, bez odlaganja, Ministarstvo, odnosno nadležni pokrajinski organ i organ nadležan za poslove zaštite životne sredine, o svim događajima ili razvoju događaja koji bi mogli da utiču na stabilnost deponije, kao i o svim značajnim štetnim uticajima na životnu sredinu koji su otkriveni postupcima kontrole i praćenja;
2) sprovodi, prema potrebi, interni plan za zaštitu od udesa za deponije kategorije A, osim za deponije rudarskog otpada na koje se primenjuju propisi kojima se uređuje zaštita od hemijskog udesa;
3) pridržava se svih drugih uputstava nadležnog organa u vezi sa korektivnim merama koje je potrebno preduzeti;
4) prihvata finansijsku odgovornost za troškove vezane za realizaciju mera iz tač. 2) i 3) ovog člana;
5) dostavlja na zahtev i u rokovima koje odredi Ministarstvo, odnosno nadležni pokrajinski organ, na temelju ukupnih podataka, sve rezultate praćenja kojima se dokazuje da je ispunio uslove iz dozvole i koji doprinose saznanjima o rudarskom otpadu i deponiji.
Prilikom dostavljanja dokumentacije Ministarstvu, odnosno nadležnom pokrajinskom organu, u svrhu ispunjenja standarda zaštite životne sredine, operater dostavlja dokaze, pre početka rada i tokom rada deponije, kojima se dokazuje, prema potrebi, usklađenost sa propisima iz oblasti voda i zagađenja zemljišta, i to:
1) procena mogućnosti nastajanja procednih voda, uključujući sadržaj zagađujućih materija u procednim vodama, u otpadu nastalom tokom rada deponije i utvrđeni bilans vode te deponije;
2) sprečavanje ili smanjenje na najmanju moguću meru nastajanja procednih voda i zagađenja površinskih i podzemnih voda i zemljišta rudarskim otpadom;
3) skupljanje i tretman zagađenih i procednih voda iz deponije za upravljanje rudarskim otpadom do ispunjavanja odgovarajućih normi za njihovo ispuštanje u vodni recipijent;
4) preduzimanje odgovarajućih mera sprečavanja ili smanjenja emisije praškastih materija i gasa.
Ministarstvo, odnosno nadležni pokrajinski organ, može da ograniči ili odustane od usaglašavanja sa zahtevima iz člana 19. tač. 2) i 3) ove uredbe, tokom operativne faze i faze nakon zatvaranja deponije, na osnovu procene uticaja deponije na životnu sredinu, posebno uzimajući u obzir propise za granične vrednosti emisije zagađujućih materija u vode i može da odluči da:
1) prikupljanje i tretman procednih voda nije neophodan; ili
2) da je utvrđeno da deponija ne predstavlja potencijalnu opasnost za zemljište, podzemne vode i površinske vode.
Ministarstvo, odnosno nadležni pokrajinski organ, dostavlja informacije iz dozvole drugoj državi u isto vreme kada se te informacije stavljaju na raspolaganje državljanima Republike Srbije ako oceni da rad deponije kategorije A može imati značajne nepovoljne efekte na životnu sredinu u drugoj državi i opasnost po ljudsko zdravlje u toj državi ili ako druga država koja može imati značajne nepovoljne efekte na životnu sredinu i opasnost po ljudsko zdravlje to zahteva, s tim da navedene informacije služe kao osnov za konsultacije koje su potrebne u vezi bilaternih odnosa između dve države na recipročnoj i odgovarajućoj osnovi.
U okviru svojih bilateralnih odnosa Ministarstvo, odnosno nadležni pokrajinski organ će osigurati da se, u slučajevima iz stava 1. ovog člana i zainteresovanoj javnosti države koja bi mogla biti izložena značajnom uticaju na životnu sredinu ostavi dovoljno vremena kako bi imala pravo da dostavi primedbe pre nego što donese odluku o izdavanju dozvole.
Ministarstvo, odnosno nadležni organ pokrajinski organ i nadležni organ za vanredne situacije, su obavezni da u slučaju velikog udesa koji uključuje deponiju, u skladu sa članom 21. ove uredbe, odmah dostave drugoj državi podatke koje je operater dostavio Ministarstvu, odnosno nadležnom pokrajinskom organu, organu nadležnom za zaštitu životne sredine i organu nadležnom za vanredne situacije, kako bi se posledice udesa po ljudsko zdravlje smanjile na najmanju meru i kako bi se procenio i na najmanju meru smanjio obim stvarne i moguće štete na životnu sredinu.
Odredbe ove uredbe primenjuju se ukoliko se rudarski otpad odlaže na deponijama određenim u ovoj uredbi kao:
- deponije kategorije A;
- deponije na kojima se odlaže opasni rudarski otpad duže od šest meseci;
- deponije za odlaganje neopasnog neinertnog rudarskog otpada duže od jedne godine;
- deponije za odlaganje nezagađene otkrivke, neopasnog rudarskog otpada nastalog geološkim istraživanjem i otpada nastalog obogaćivanjem, obradom ili skladištenjem treseta i inertnog otpada duže od tri godine.
Odredbe ove uredbe ne primenjuju se na:
- rudarski otpad koji se generiše tokom geološkog istraživanja, otkopavanja i pripreme mineralnih sirovina i rada kamenoloma, ali koji ne predstavlja direktan rezultat tih operacija;
- utiskivanje vode i ponovno utiskivanje iscrpljenje podzemne vode, uključujući slojnu vodu;
- rudarski otpad nastao tokom geoloških istraživanja mineralnih sirovina, rada kamenoloma, kao i na naftnu isplaku, ukoliko se odlaže izvan eksploatacionih polja.
Odredbe ove uredbe ne primenjuju se na upravljanje inertnim otpadom i nezagađenom otkrivkom koji su nastali kao posledica geoloških istraživanja, otkopavanja, pripreme i skladištenja nemetaličnih mineralnih sirovina sa kamenoloma, kao i otpada nastalog otkopavanjem, obradom, pripremom i skladištenjem treseta, osim ako se ne skladište u deponije određene u ovoj uredbi kao deponije kategorije A.
Odredbe ove uredbe ne primenjuju se na upravljanje neopasnim otpadom nastalim istraživanjem mineralnih sirovina, osim nafte i evaporita, gipsa i anhidrida, kao i otpada nastalog odlaganjem nezagađene otkrivke i otpada nastalog otkopavanjem, obradom i skladištenjem treseta.
Odredbe čl. 19, 20, 21. i 22. ove uredbe ne primenjuju se na neopasni otpad koji nema svojstvo inertnog otpada, osim ako se ne zbrinjava u deponije određene u ovoj uredbi kao deponije kategorije A.
Novčanom kaznom od 1.500.000 do 3.000.000 dinara kazniće se za privredni prestup pravno lice - operater, ako:
1) ne obavlja poslove u skladu sa članom 3. ove uredbe;
2) ne vrši preispitivanje plana upravljanja rudarskim otpadom (član 6. tačka 12);
3) ne postupa u skladu sa odredbama člana 16. ove uredbe;
4) ne sprovodi interni plan za zaštitu od udesa za deponije kategorije A (član 18. tačka 2).
Novčanom kaznom od 500.000 do 2.000.000 dinara kazniće se za prekršaj pravno lice - operater, ako:
1) nakon zatvaranja deponije ne postupa u skladu sa odredbama člana 18. tač. 1) i 3) do 5) ove uredbe;
2) ne postupa u skladu sa odredbama člana 19. ove uredbe.
Novčanom kaznom u iznosu od 50.000 do 150.000 dinara kazniće se fizičko lice ili odgovorno lice u pravnom licu za prekršaj iz stava 1. ovog člana.
Novčanom kaznom u iznosu od 10.000 do 500.000 dinara kazniće se preduzetnik - operater za prekršaj iz stava 1. ovog člana.
Privredna društva odnosno druga pravna lica i preduzetnici, koja upravljaju otpadom koji se stvara tokom geoloških istraživanja, eksploatacije, pripreme i skladištenja mineralnih sirovina, dužni su da usklade svoje poslovanje sa odredbama ove uredbe u roku od dve godine od dana početka primene ove uredbe.
Ova uredba stupa na snagu osmog dana od dana objavljivanja u "Službenom glasniku Republike Srbije", a primenjuje se od 1. januara 2020. godine.









