Zastava Bosne i Hercegovine

UREDBA O OPŠTIM USLOVIMA ZA EMISIJU I PRODAJU DRŽAVNIH HARTIJA OD VREDNOSTI NA PRIMARNOM TRŽIŠTU

("Sl. glasnik RS", br. 100/2014, 78/2017, 66/2018, 78/2018, 140/2020, 59/2022 i 83/2023)

 

I OSNOVNE ODREDBE

Član 1

Ovom uredbom uređuju se opšti uslovi za emisiju i prodaju državnih hartija od vrednosti na primarnom tržištu i određeni elementi primarnog tržišta državnih hartija od vrednosti.

Član 2

Pojedini izrazi, upotrebljeni u ovoj uredbi imaju sledeće značenje:

1) Državne hartije od vrednosti (u daljem tekstu: državne hartije) su finansijski instrumenti čija je vrednost iskazana u domaćoj ili stranoj valuti, o čijoj emisiji, u skladu sa zakonom, odlučuje Vlada ili ministar nadležan za poslove finansija (u daljem tekstu: ministar) ili lice koje on ovlasti, a koje se registruju u obliku elektronskog zapisa u Centralnom registru, depou i kliringu hartija od vrednosti a.d. Beograd (u daljem tekstu: Centralni registar) na emisioni račun Republike Srbije, a mogu se, u skladu sa aktom o emisiji, registrovati i u drugom registru, ako se državne hartije od vrednosti prodaju van Republike Srbije;

2) Dugoročne državne hartije su hartije od vrednosti sa rokom dospeća preko jedne godine o čijem emitovanju odlučuje Vlada;

3) Kratkoročne državne hartije su državne hartije od vrednosti sa rokom dospeća do jedne godine, o čijem emitovanju odlučuje ministar ili lice koje on ovlasti, osim u slučaju kada datum dospeća pada u narednu budžetsku godinu, kada o emitovanju odlučuje Vlada;

4) Državni zapisi su državne hartije od vrednosti sa rokom dospeća do dve godine bez kupona;

5) Obveznice su dugoročne hartije od vrednosti sa rokom dospeća jednakim ili većim od dve godine sa kuponom ili bez kupona;

5a) Štedne obveznice su dugoročne hartije od vrednosti sa rokom dospeća jednakim ili većim od dve godine sa kuponom, koje mogu kupovati samo domaća punoletna fizička lica;

6) Amortizacione obveznice su obveznice kod kojih se isplata glavnice vrši u više rata;

6a) Benčmark obveznice su dugoročne državne hartije od vrednosti kojima je dodeljen takav status aktom o emisiji na predlog ministarstva nadležnog za poslove finansija uzimajući u obzir, ali ne ograničavajući se na iznos emisije i ročnost;

7) Aukcijska platforma ministarstva nadležnog za poslove finansija je sastavni deo informacionog sistema Centralnog registra za potrebe sprovođenja aukcije (u daljem tekstu: aukcijska platforma);

7a) Pravila poslovanja Centralnog registra su opšti akt Centralnog registra u smislu zakona kojim se uređuje tržište kapitala;

8) Aukcija je proces primarne prodaje ili otkupa državnih hartija od vrednosti pre roka dospeća na aukcijskoj platformi, uz učešće ovlašćenih učesnika i poštovanje procedure i vremenskog okvira;

8a) Prospekt za državne hartije od vrednosti je dokument koji sadrži značajne informacije o emisiji i izrađuje se za potrebe izdavanja državnih hartija od vrednosti, kada je to određeno pojedinačnim aktom o emisiji;

9) Ovlašćeni učesnik je finansijska institucija, koja je, u skladu sa ovom uredbom, ispunila propisane uslove za direktno učešće na aukcijama državnih hartija od vrednosti;

9a) Primarni dileri su finansijske institucije domaće ili strane koje su zaključile ugovor sa Republikom Srbijom, kao izdavaocem državnih hartija od vrednosti, radi obavljanja određenih aktivnosti na tržištu državnih hartija od vrednosti, kao i unapređivanju primarnog i sekundarnog tržišta i drugih aktivnosti kojima se unapređuje upravljanje javnim dugom i razvoj tržišta državnih hartija od vrednosti;

10) Ovlašćeno lice je fizičko lice koje je, pored ispunjenih uslova utvrđenih zakonom kojim se uređuje tržište kapitala i podzakonskim aktima, ispunilo i uslove i kriterijume utvrđene ovom uredbom, a koje je ovlašćeni učesnik ili primarni diler ovlastio da u njegovo ime i za njegov račun učestvuje u primarnom trgovanju, kao i u postupku otkupa državnih hartija pre roka dospeća državnim hartijama preko aukcijske platforme;

11) Elektronska knjiga naloga jeste elektronska baza podataka formirana od naloga za trgovanje ispostavljenih od strane ovlašćenih učesnika preko aukcijske platforme u skladu sa ovom uredbom;

12) Korisnička aplikacija je klijentski veb orijentisana aplikacija koja omogućava pristup ovlašćenim učesnicima sistemu aukcijske platforme;

13) Nalozi za trgovanje su nalozi koje u skladu sa ovom uredbom ispostavlja ovlašćeni učesnik ili primarni diler posredstvom aukcijske platforme;

14) Konkurentni nalozi za trgovanje su nalozi ovlašćenih učesnika za kupovinu ili prodaju državnih hartija koji sadrže podatke o količini i ceni po kojoj ovlašćeni učesnik namerava da kupi ili proda državne hartije;

15) Nekonkurentni nalozi za trgovanje su nalozi ovlašćenih učesnika za kupovinu državnih hartija koji sadrže podatke o količini hartija koje učesnik namerava da kupi, bez navođenja cene;

16) Zaključnica je ugovor o kupoprodaji državnih hartija zaključen posredstvom aukcijske platforme, izrađen u elektronskoj formi;

17) Izvršna stopa prinosa kod prodaje državnih hartija predstavlja stopu po kojoj se realizuje emisija hartija, a u skladu sa kojom se utvrđuje jedinstvena prodajna cena na svakoj pojedinačnoj aukciji državnih hartija (metod jedinstvene cene), odnosno najvišu izvršnu stopu od svih prihvaćenih izvršnih stopa, na osnovu kojih se određuju izvršne stope po kojima se nalozi realizuju (metod višestruke cene);

17a) Izvršna stopa prinosa kod otkupa državnih hartija pre roka dospeća predstavlja stopu po kojoj se utvrđuje jedinstvena kupovna cena na svakoj pojedinačnoj aukciji državnih hartija (metod jedinstvene cene);

17b) Metod fiksne cene - metod aukcije gde je prodajna cena, po kojoj se realizuje prodaja državnih hartija od vrednosti, unapred određena;

18) Kupon predstavlja iznos kamate koji emitent plaća imaocu državnih hartija, periodično do roka dospeća, koji se izračunava na osnovu kuponske stope, kuponskog perioda i nominalne vrednosti hartija od vrednosti;

19) Kuponska stopa je ugovorena kamatna stopa koja se primenjuje na nominalnu vrednost državnih hartija, odnosno na ostatak nominalne vrednosti državnih hartija kod amortizacionih državnih hartija, koja može biti fiksna (utvrđena aktom o emisiji) ili varijabilna (jednaka zbiru određene referentne kamatne stope i fiksne margine);

20) Kuponski period je vremenski period između dospeća dva kupona;

20a) Prvi kuponski period je vremenski period od datuma saldiranja prvog upisa emisije za koju se isplaćuje kupon i datuma dospeća prvog kupona;

21) Fiksna margina predstavlja fiksni deo kuponske stope po kojoj se realizuje emisija kod državnih hartija sa varijabilnom kuponskom stopom;

22) Finansijska institucija je institucija definisana u skladu sa članom 2. stav 1. tačka 7) Zakona o javnom dugu ("Službeni glasnik RS", br. 61/05, 107/09, 78/11, 68/15, 95/18, 91/19 i 149/20 - u daljem tekstu: Zakon o javnom dugu);

23) Vremenski plan održavanja aukcije predstavlja utvrđene vremenske intervale u kojima se obavljaju pojedine faze trgovanja na aukciji, a koji se objavljuje u javnom pozivu za aukciju;

24) Reotvaranje emisije predstavlja prodaju državnih hartija koje ranije nisu prodate u celosti u okviru emisije u kojoj su ponuđene, kao i dodatnu prodaju državnih hartija u okviru emisije u kojoj su ranije prodate u celosti ponuđene državne hartije (povećanje obima emisije);

25) Otkup pre roka dospeća predstavlja otkup državnih hartija pre njihovog dospeća, a u skladu sa aktom o emitovanju državnih hartija kojom mora biti predviđena mogućnost prevremenog otkupa;

tač. 25a) i 25b) (brisane)

26) Otkupni okvir predstavlja definisani period u kojem Republika Srbija vrši otkup državnih hartija pre roka njihovog dospeća;

26a) Pristupni period predstavlja period u kome investitor u štedne obveznice može podneti nalog za kupovinu ovih obveznica;

26b) Prevremena isplata predstavlja opciju koja imaocu štedne obveznice omogućava da nakon isteka predviđenog vremenskog perioda ovu obveznicu naplati pre roka dospeća, pri čemu za to plaća naknadu za prevremenu isplatu;

26v) Naknada za prevremenu isplatu predstavlja iznos koji izdavalac naplaćuje od imaoca štedne obveznice prilikom prevremene isplate te obveznice;

27) Poništenje državnih hartija predstavlja poništenje cele emisije po roku dospeća ili dela emisije nakon otkupa pre roka dospeća državnih hartija koje se vrši u sistemu Centralnog registra;

28) Smart kartica je identifikaciona kartica Centralnog registra kojom se vrši pristup i korišćenje aukcijske platforme.

Član 3

Emitovanje državnih hartija vrši se u okviru limita utvrđenog budžetom Republike Srbije.

Kratkoročne državne hartije se emituju u formi državnih zapisa i prodaju se uz diskont.

Dugoročne državne hartije se mogu emitovati u formi obveznica ili državnih zapisa ročnosti do dve godine, što se utvrđuje aktom o emisiji. Dugoročne državne hartije se mogu prodavati sa diskontom ili premijom ili po nominalnoj vrednosti.

Izvršna stopa prinosa iskazuje se sa tri decimale na godišnjem nivou.

Prodajna cena na ponudi iskazuje se sa dve decimale.

Ukupna prodajna vrednost ponude predstavlja proizvod prodajne cene navedene u ponudi i količine državnih hartija koje učesnik na aukciji namerava da kupi.

Kuponska stopa kod obveznica iskazuje se na tri decimale.

Iznos prodajne cene državnih hartija emitovanih u formi zapisa izračunava se po formuli:

Prodajna cena =

nominalna vrednost

 

 

1 + izvršna stopa prinosa x

 broj dana

)

 

 

360

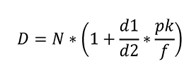
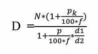
Iznos prodajne cene državnih hartija emitovanih u formi obveznica izračunava se po formuli:

pri čemu je:

D - prodajna cena

N - nominalna vrednost

pk - godišnja kuponska stopa

f - broj kupona u toku godine

p - izvršna stopa prinosa

K - ukupan broj kupona koji dospevaju od dana prodaje do dana dospeća

d1 - broj dana od datuma prodaje do dana dospeća sledećeg kupona

d2 - broj dana u kuponskom periodu kome pripada datum prodaje.

U slučaju kada se trgovanje vrši u poslednjem kuponskom periodu, iznos prodajne cene državnih hartija emitovanih u formi obveznica izračunava se po formuli:

pri čemu je:

D - prodajna cena

N - nominalna vrednost

pk - godišnja kuponska stopa

f - broj kupona u toku godine

p - izvršna stopa prinosa

d1 - broj dana od datuma prodaje do dana dospeća poslednjeg kupona

d2 - broj dana u kuponskom periodu kome pripada datum prodaje.

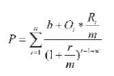
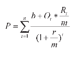
Cena državnih hartija emitovanih u formi amortizacionih obveznica po komadu na dan emisije ili na dan saldiranja koji se poklapa sa danom isplate kupona utvrđuje se po sledećoj formuli:

pri čemu je:

P - cena kuponske obveznice sa pripadajućom kamatom po komadu (prodajna cena)

t - redni broj obračunskog perioda

K - nominalna vrednost obveznice po komadu

Ot - ostatak nominalne vrednosti po komadu na početku t-tog perioda isplate anuiteta, koji se dobija po formuli Ot = K*(1-v/N), odnosno kada se od nominalne vrednosti obveznice po komadu oduzme suma otplata po komadu koji je protekao do perioda t za koji se obračunava anuitet, pri čemu je:

v - broj perioda koji je protekao do perioda t, za koji se obračunava anuitet

b - deo nominalne vrednosti po komadu koji se u jednakim iznosima isplaćuje od emisije obveznice do dospeća i računa se po formuli: b = K/N.

r - zahtevana stopa prinosa do dospeća (izvršna stopa prinosa)

Rt - kamatna stopa u periodu t koja može biti fiksna ili varijabilna (referentna kamatna stopa uvećana za fiksnu marginu)

m - broj perioda isplate kupona u toku godine

n - broj preostalih perioda isplate anuiteta do dospeća, dobija se po formuli: n = N - v

N - ukupan broj perioda isplate anuiteta od emisije obveznica.

Cena državnih hartija emitovanih u formi amortizacionih obveznica na svaki drugi dan, osim na dan emisije ili na dan saldiranja koji se poklapa sa danom isplate kupona, izračunava se po sledećoj formuli:

pri čemu je:

w =

broj dana od datuma saldiranja do datuma sledeće isplate kupona

 

broj dana između dva datuma isplate kupona

 

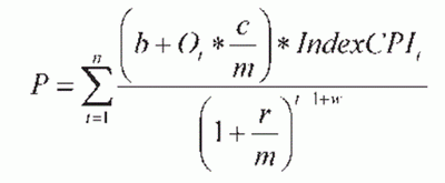
Cena državnih hartija emitovanih u formi amortizacionih inflatorno indeksiranih obveznica po komadu na dan emisije ili na dan saldiranja koji se poklapa sa danom isplate kupona utvrđuje se po sledećoj formuli:

pri čemu je:

P - cena kuponske obveznice sa pripadajućom kamatom po komadu (prodajna cena)

t - redni broj obračunskog perioda

K - nominalna vrednost obveznice po komadu

Ot - ostatak nominalne vrednosti po komadu na početku t-tog perioda isplate anuiteta, koji se dobija po formuli Ot = K*(1-v/N), odnosno kada se od nominalne vrednosti obveznice po komadu oduzme suma otplata po komadu koji je protekao do perioda t za koji se obračunava anuitet, pri čemu je:

v - broj perioda koji je protekao do perioda t, za koji se obračunava anuitet

b - deo nominalne vrednosti po komadu koji se u jednakim iznosima isplaćuje od emisije obveznice do dospeća i računa se po formuli: b = K/N.

r - zahtevana stopa prinosa do dospeća (izvršna stopa prinosa)

c - godišnja kuponska stopa

m - broj perioda isplate kupona u toku godine

n - broj preostalih perioda isplate anuiteta do dospeća, dobija se po formuli: n = N - v

N - ukupan broj perioda isplate anuiteta od emisije obveznica

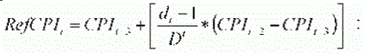
IndexCPIt - Racio indeksacije u periodu t,

IndexCPIt =

IndexCPIt

,

RefCIP0

 

pri čemu je: RefCPIt referentni indeks potrošačkih cena za period t, a RefCIP0 referentni indeks potrošačkih cena na dan emisije obveznice. Referentni indeks potrošačkih cena se računa

po sledećoj formuli:

CPIt-3 = indeks potrošačkih cena za tri meseca pre datuma isplate anuiteta ili emisije obveznice

CPIt-2 = indeks potrošačkih cena za dva meseca pre datuma isplate anuiteta ili datuma emisije obveznice

dt = dan u mesecu kada se isplaćuje anuitet ili kada se emituje obveznica

Dt = ukupan broj dana u mesecu u kome se isplaćuje anuitet ili emituje obveznica.

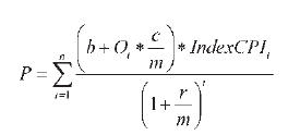
Iznos cene državnih hartija emitovanih u formi amortizacionih inflatorno indeksiranih obveznica na svaki drugi dan, osim na dan emisije ili na dan saldiranja koji se poklapa sa danom isplate kupona, izračunava se po sledećoj formuli:

 

pri čemu je:

w =

broj dana od datuma saldiranja do datuma sledeće isplate kupona

 

broj dana između dva datuma isplate kupona

 

Emitovanje državnih obveznica indeksiranih na indeks potrošačkih cena i obveznica sa varijabilnim kamatnim kuponom biće bliže uređeno aktom o njihovoj emisiji, koji će sadržati i formule za izračunavanje cena.

Za metod obračuna dana kod državnih hartija emitovanih u formi zapisa, koristi se konvencija obračuna dana ACT/360.

Za metod obračuna dana državnih hartija emitovanih u formi obveznica sa fiksnom kuponskom stopom, koristi se konvencija obračuna dana 30/360.

Za metod obračuna dana državnih hartija emitovanih u formi obveznica sa varijabilnom kuponskom stopom, koristi se konvencija obračuna dana ACT/ACT.

Kod aukcije po metodi fiksne cene, iznos cene dugoročnih državnih hartija od vrednosti utvrđuje se kao nominalna vrednost ukoliko se prodaja vrši na datum emitovanja ili dospeća kupona, u svim drugim slučajevima, cena se utvrđuje po sledećoj formuli:

pri čemu je:

D - prodajna cena

N - nominalna vrednost

d1 - broj dana od datuma prodaje do dana dospeća sledećeg kupona

d2 - broj dana u kuponskom periodu kome pripada datum prodaje

pk - godišnja kuponska stopa

f - broj kupona u toku godine.

Član 4

U postupku emitovanja i primarne prodaje državnih hartija Uprava za javni dug organizuje aktivnosti u vezi sa emitovanjem i primarnom prodajom državnih hartija u ime i za račun Republike Srbije i objavljuje informacije o rezultatima prodaje. U tom cilju uvodi se i organizuje primarno tržište zasnovano na sistemu aukcija radi prodaje državnih hartija.

Na aukcijama iz stava 1. ovog člana mogu se prodavati i državne hartije u okviru reotvaranja emisije.

Kod reotvaranja emisije sa povećanjem obima emisije - dodatna prodaja državnih hartija sa istim karakteristikama koje se odnose na valutu, kuponsku stopu i datum dospeća, državne hartije se izdaju u skladu sa aktom o emisiji i objedinjuju se u jedinstvenu emisiju sa ranije emitovanim državnim hartijama ovih karakteristika.

Član 5

Učesnici na primarnom tržištu državnih hartija jesu:

1) Uprava za javni dug;

2) ovlašćeni učesnici na primarnom tržištu;

2a) primarni dileri;

3) investitori u štedne obveznice.

Investitori aukcijskoj platformi mogu pristupiti preko ovlašćenih učesnika, osim investitora u štedne obveznice.

II OVLAŠĆENI UČESNICI I OVLAŠĆENA LICA

Član 6

Određeno pravno lice stiče svojstvo ovlašćenog učesnika zaključenjem ugovora o pristupanju aukcijskoj platformi sa Upravom za javni dug.

Ugovor o pristupanju aukcijskoj platformi Uprava za javni dug može zaključiti sa pravnim licem koje ispunjava sledeće uslove:

1) da je investiciono društvo ili kreditna institucija koja je dobila dozvolu Komisije za hartije od vrednosti u smislu zakona kojim se uređuje tržište kapitala;

2) da je član Centralnog registra;

3) da nije u postupku stečaja ili likvidacije;

4) da je dostavilo dokumentaciju u skladu sa čl. 7. i 8. ove uredbe.

O ispunjenosti uslova iz stava 2. ovog člana odlučuje direktor Uprave za javni dug na predlog Komisije za predlaganje ovlašćenih učesnika (u daljem tekstu: Komisija) koju obrazuje direktor Uprave za javni dug.

Član 7

Prijava za sticanje statusa ovlašćenog učesnika (u daljem tekstu: prijava), podnosi se Upravi a javni dug, a uz nju se podnose:

1) dozvola Komisije za hartije od vrednosti za obavljanje delatnosti investicionog društva u skladu sa Zakonom o tržištu kapitala ("Službeni glasnik RS", broj 129/21 - u daljem tekstu: Zakon o tržištu kapitala);

2) lista lica ovlašćenih za trgovanje državnim hartijama;

3) osnivački akt i prečišćeni tekst statuta;

4) rešenje sa prilozima o upisu pravnog lica u registar;

5) dokaz o članstvu u Centralnom registru;

6) kratak prikaz dosadašnjeg poslovanja i planovi delovanja na tržištu kapitala;

7) godišnji i periodični finansijski izveštaj za poslednju poslovnu godinu, ako podnosilac prijave posluje duže od jedne godine;

8) izveštaj o reviziji finansijskih izveštaja za poslednje dve godine, ukoliko posluje duže od jedne godine;

9) odgovarajuće sredstvo obezbeđenja izvršavanja obaveza po poslovima zaključenim na aukcijskoj platformi, sa ovlašćenjem za raspolaganje tim sredstvom obezbeđenja, u skladu sa ugovorom o pristupanju aukcijskoj platformi, koji zaključuje Uprava za javni dug sa ovlašćenim učesnikom.

Prijava se podnosi Upravi za javni dug na obrascu Prijava za učešće na aukcijama državnih hartija posredstvom aukcijske platforme (čiji je sastavni deo Spisak dokumentacije koja se podnosi uz prijavu), koji je odštampan uz ovu uredbu i čini njen sastavni deo.

Član 8

U slučaju da uz prijavu nije dostavljena kompletna dokumentacija iz člana 7. ove uredbe, Uprava za javni dug ostaviće podnosiocu prijave naknadni rok za dostavljanje kompletne dokumentacije, a koji ne može biti duži od osam dana od dana kada je podnosilac prijave obavešten da dokumentacija nije kompletna.

Obaveštenje o nekompletnoj dokumentaciji Uprava za javni dug dostavlja u elektronskoj formi na e-mail adresu koju je podnosilac naveo u Prijavi za učešće na aukcijama državnih hartija od vrednosti posredstvom aukcijske platforme.

U slučaju da podnosilac prijave ni u naknadno ostavljenom roku ne dostavi kompletnu dokumentaciju, Komisija dostavlja prijavu direktoru Uprave za javni dug, sa predlogom da se prijava odbaci.

Danom prijema prijave smatra se dan prijema prijave sa kompletnom i potpunom dokumentacijom u smislu ovog člana, odnosno dan isteka roka iz stava 1. ovog člana.

Član 9

Direktor Uprave za javni dug odlučuje o prijavi, najkasnije u roku od 15 dana od dana prijema prijave.

Direktor Uprave za javni dug po podnetoj prijavi može:

1) prihvatiti prijavu - u slučaju da su ispunjeni uslovi za sticanje svojstva ovlašćenog učesnika;

2) odbaciti prijavu - u slučaju iz člana 8. stav 2. ove uredbe;

3) odbiti prijavu - u slučaju da nisu ispunjeni uslovi za sticanje svojstva ovlašćenog učesnika na aukcijskoj platformi.

Akt iz stava 2. ovog člana, Uprava za javni dug dostavlja podnosiocu prijave u roku od tri dana od dana donošenja akta.

Novu prijavu za učešće na aukcijskoj platformi podnosilac prijave može podneti najranije po isteku šest meseci od prijema akta iz stava 2. ovog člana.

Na akt se može izjaviti žalba ministru nadležnom za poslove finansija u roku od osam dana od njegovog prijema.

Član 10

Pravno lice za koje je rešenjem direktora Uprave za javni dug utvrđeno da ispunjava propisane uslove za sticanje statusa ovlašćenog učesnika iz člana 7. ove uredbe i Uprava za javni dug zaključuju ugovor o pristupanju aukcijskoj platformi, na obrascu koji propisuje ministar.

Na osnovu zaključenih ugovora iz stava 1. ovog člana Uprava za javni dug utvrđuje listu ovlašćenih učesnika, koju objavljuje na internet stranici Uprave za javni dug.

Lista iz stava 2. ovog člana ažurira se nakon svakog zaključivanja novog ugovora ili raskida već zaključenog ugovora.

Član 11

Ovlašćeno lice može biti samo lice koje ispunjava sledeće uslove:

1) da ima važeću dozvolu za obavljanje poslova brokera izdatu od Komisije za hartije od vrednosti u skladu sa članom 184. Zakona o tržištu kapitala;

2) da ne podleže primeni pravnih posledica osude, u smislu Zakona o tržištu kapitala.

Član 12

Ovlašćeni učesnik uz prijavu za učešće na aukcijskoj platformi podnosi za ovlašćeno lice sledeću dokumentaciju i dokaze:

1) važeću dozvolu za obavljanje poslova brokera izdatu od Komisije za hartije od vrednosti shodno članu 184. Zakona o tržištu kapitala;

2) (brisana)

3) potvrdu da je ovlašćeno lice zaposleno na neodređeno vreme, sa punim radnim vremenom, kod ovlašćenog učesnika na radnom mestu "broker", odnosno da obavlja brokerske poslove;

4) uverenje nadležnog organa da ovlašćeno lice nije u kaznenoj evidenciji za krivična dela i privredne prestupe, kao i overenu izjavu ovlašćenog lica da ne podleže primeni pravnih posledica osude u smislu Zakona o tržištu kapitala;

5) odluku kojom ovlašćeni učesnik imenuje ovlašćeno lice da u njegovo ime i za njegov račun obavlja poslove trgovine državnim hartijama na aukcijskoj platformi;

6) neopozivu izjavu ovlašćenog učesnika da sve obaveze koje ovlašćeno lice preuzme prihvata kao svoje;

7) neopozivu izjavu ovlašćenog učesnika da se podneta sredstva obezbeđenja plaćanja mogu koristiti kao sredstva obezbeđenja izvršavanja obaveza po poslovima koje njegovo ovlašćeno lice zaključi u poslovima sa državnim hartijama na aukcijskoj platformi;

8) karton deponovanog potpisa predloženog ovlašćenog lica.

Član 13

Na predlog Komisije direktor Uprave za javni dug daje saglasnost za obavljanje poslova ovlašćenom licu u slučaju kada su ispunjeni uslovi iz člana 11. ove uredbe i kada je podneta kompletna dokumentacija navedena u članu 12. ove uredbe.

Ovlašćeni učesnik je dužan da odmah pismeno obavesti Upravu za javni dug o svakoj promeni ovlašćenja, prava i odgovornosti koje je dao svom ovlašćenom licu, a naročito o promeni činjenica na osnovu kojih je dobio saglasnost iz stava 1. ovog člana.

Član 14

Komisija ima tri stalna člana koji se imenuju iz reda zaposlenih u Upravi za javni dug. U slučaju potrebe Komisija može imati više članova (privremeni članovi Komisije), ali ne više od sedam članova.

Stalni članovi Komisije imenuju se na period od dve godine, uz mogućnost ponovnog izbora. Privremeni članovi Komisije imenuju se na period od maksimalno tri meseca, u toku jedne godine.

Članovi komisije imaju pravo na mesečnu neto naknadu koja iznosi 10% mesečne neto zarade na nivou Republike Srbije.

Član 15

Članu Komisije prestaje svojstvo člana Komisije i pre isteka perioda na koji je imenovan u sledećim slučajevima:

1) po opozivu od strane direktora Uprave za javni dug;

2) kada podnese ostavku;

3) prestankom radnog odnosa u Upravi za javni dug.

Član 16

Komisija razmatra i utvrđuje ispravnost podnetih prijava i dokumentacije iz čl. 7, 11. i 12. ove uredbe i na osnovu toga upućuje odgovarajući predlog direktoru Uprave za javni dug.

Član 17

Ovlašćeni učesnik je dužan da:

1) se pridržava svih zakonskih i podzakonskih propisa koji regulišu trgovinu državnim hartijama na primarnom tržištu;

2) savesno i u skladu sa dobrim poslovnim običajima i poslovnim moralom obavlja poslove trgovine državnim hartijama preko aukcijske platforme;

3) ispostavi nalog za trgovanje posredstvom aukcijske platforme, odnosno obavesti Upravu za javni dug o prispelom nalogu klijenta ili o sopstvenom nalogu;

4) odmah, bez odlaganja, pismeno obavesti Upravu za javni dug o svakoj promeni svojih ovlašćenja, prava, obaveza i odgovornosti u pravnom prometu, a naročito o promenama koje se odnose na uslove na osnovu kojih je stekao učešće na aukcijskoj platformi i promenama podataka iz prijave za učešće na istoj.

5) (brisana)

Samo finansijske institucije koje imaju svojstvo ovlašćenih učesnika mogu pristupiti aukcijskoj platformi.

Samo ovlašćena lica koja su dobila saglasnost od Uprave za javni dug mogu pristupiti aukcijskoj platformi u ime i za račun ovlašćenog učesnika.

Pristup aukcijskoj platformi regulisan je Pravilima poslovanja Centralnog registra.

Član 18

Uprava za javni dug jednostrano raskida ugovor o pristupanju aukcijskoj platformi ukoliko:

1) je učesniku na primarnom tržištu oduzeta dozvola Komisije za hartije od vrednosti za obavljanje delatnosti investicionog društva;

2) je nad ovlašćenim učesnikom pokrenut prethodni stečajni postupak, odnosno otvoren stečajni postupak;

3) je doneta odluka od strane organa upravljanja ovlašćenog učesnika o njegovoj likvidaciji ili je pokrenut postupak prinudne likvidacije;

4) ovlašćeni učesnik više ne ispunjava uslove propisane prilikom sticanja ovog svojstva.

Izuzetno od stava 1. ovog člana, Uprava za javni dug može jednostrano raskinuti ugovor o pristupanju aukcijskoj platformi i ukoliko ovlašćenom učesniku budu izrečene nadzorne mere u smislu čl. 374. i 383. Zakona o tržištu kapitala, kao i mera zabrane učestvovanja u kupovini državnih hartija od vrednosti iz člana 31. Zakona o javnom dugu.

Učesnik je dužan da blagovremeno obavesti Upravu za javni dug o slučajevima iz stava 1. tač. 2) i 3) ovog člana.

Komisija za hartije od vrednosti obaveštava Upravu za javni dug o nastupanju slučaja iz stava 1. tačka 1) ovog člana u skladu sa protokolom o saradnji, koji će u roku od 60 dana od dana stupanja na snagu ove uredbe zaključiti ova dva organa.

III PRODAJA DRŽAVNIH HARTIJA

Član 19

Državne hartije se prodaju na primarnom tržištu putem aukcija organizovanih od strane Uprave za javni dug.

Dugoročne državne hartije mogu kupovati sva domaća i strana pravna i fizička lica, preko ovlašćenih učesnika. Kratkoročne državne hartije mogu kupovati samo domaća pravna i fizička lica.

Član 20

Ovlašćeni učesnici mogu da učestvuju sa konkurentnim ponudama podnošenjem propisanih naloga za trgovanje.

Naloge iz stava 1. ovog člana, ovlašćeni učesnik može da ispostavi u svoje ime i za svoj račun, kao i u svoje ime, a za račun klijenta.

Ovlašćeni učesnici takođe mogu da učestvuju sa nekonkurentnim ponudama ispostavljanjem propisanih naloga za trgovanje.

Naloge iz stava 3. ovog člana, ovlašćeni učesnik može da ispostavi samo u svoje ime, a za račun klijenta.

Član 21

Uprava za javni dug je dužna da utvrdi okvirni plan aukcija za narednu budžetsku godinu do kraja tekuće budžetske godine.

Okvirni plan aukcija objavljuje se na internet stranici Uprave za javni dug.

Član 22

Uprava za javni dug je dužna da utvrdi tromesečni kalendar aukcija tokom budžetske godine na kraju svakog kvartala za naredni kvartal.

Kalendar aukcija objavljuje se na internet stranici Uprave za javni dug.

Član 23

Uprava za javni dug objavljuje javni poziv za prodaju državnih hartija na primarnom tržištu (u daljem tekstu: javni poziv).

Javni poziv obavezno sadrži:

1) osnovne elemente emisije: naziv emitenta, opis emisije, ISIN, CFI, vrednost emisije, valuta, nominalna vrednost po komadu, datum emisije, datum dospeća, godišnja kuponska stopa, isplata kupona;

2) osnovne elemente aukcije: datum aukcije, datum saldiranja aukcije, vrstu aukcije, metod aukcije, vrstu cene, preostali iznos emisije, preliminarni plan prodaje, minimalna nominalna vrednost ponude, maksimalna nominalna vrednost ponude jednog klijenta;

3) vremenski plan aukcije.

Javni poziv objavljuje se na internet stranici Uprave za javni dug i putem aukcijske platforme tri radna dana pre aukcije.

Postupak kliringa i saldiranja po osnovu primarne prodaje državnih hartija vrši Centralni registar i/ili strano pravno lice koje obavlja poslove kliringa i saldiranja.

Član 24

Prodaja državnih hartija se obavezno sprovodi po sledećim fazama:

1) faza predotvaranja predstavlja period u kome ovlašćeni učesnik može da ispostavlja, modifikuje i povlači naloge za trgovanje;

2) faza aukcije predstavlja vremenski period u kome se, na osnovu ispostavljenih naloga za trgovanje, utvrđuje cena (jedinstvena ili višestruka) i vrši prodaja državnih hartija.

Pojedinačnim aktom o emisiji državnih hartija, može biti predviđeno da se sprovede i faza aukcije na zatvaranju, koja predstavlja vremenski period u kome ovlašćeni učesnik može da ispostavi naloge samo po izvršnoj stopi postignutoj u fazi aukcije.

Član 25

Ovlašćeni učesnici podnose svoje naloge za kupovinu državnih hartija preko aukcijske platforme, u vremenskom periodu navedenom u javnom pozivu za aukciju.

Elementi naloga za kupovinu državnih hartija su:

1) identifikaciona oznaka naloga u sistemu ovlašćenog učesnika (ID naloga);

2) ponuđena količina (broj komada državnih hartija za koje učesnik dostavlja nalog za kupovinu);

3) tip ponude (konkurentna/nekonkurentna);

4) stopa prinosa ili fiksna margina po kojoj ovlašćeni učesnik namerava da kupi državne hartije (u slučaju konkurentne ponude);

5) provizija ovlašćenog učesnika;

6) diskontovana cena, diskontovana vrednost ponude, nominalna vrednost ponude;

7) tip identifikacije (domaće pravno lice, domaće fizičko lice, strano pravno lice, strano fizičko lice, domaći kastodi račun, odnosno zbirni, strani kastodi račun, odnosno zbirni);

8) matični broj klijenta;

9) nalogodavac (naziv klijenta);

10) tip računa (vrsta računa hartija od vrednosti);

11) šifra i naziv člana kod kojeg klijent ima račun hartija od vrednosti;

12) šifra i naziv člana kod kojeg klijent ima račun novca.

Član 26

Nepotpune naloge aukcijska platforma automatski odbija.

Nalozi za kupovinu iz člana 25. ove uredbe mogu se menjati ili povući do isteka roka faze predotvaranja.

Po isteku faze predotvaranja iz člana 24. ove uredbe, svi pristigli nalozi se automatski odbijaju.

Minimalna količina državnih hartija od vrednosti koje po aukciji može da ponudi jedno pravno ili fizičko lice je pet komada.

Maksimalna vrednost državnih hartija koje može da ponudi jedno pravno ili fizičko lice po konkurentnim nalozima u toku aukcije iznosi 50% od ukupnog obima emisije, odnosno obima aukcije kod reotvaranja emisije.

Samo klijenti koji su učestvovali u fazi predotvaranja, mogu učestvovati u fazi aukcije na zatvaranju u skladu sa članom 24. stav 2. ove uredbe.

Primljeni nalozi iz člana 25. ove uredbe čuvaju se tako da se obezbeđuje tajnost podataka koje sadrže.

Član 27

Uprava za javni dug sa dostavljenim nalozima za kupovinu iz člana 25. ove uredbe postupa na sledeći način:

1) razvrstava ih prvo na konkurentne i nekonkurentne naloge;

2) rezerviše iznos za nekonkurentne naloge, i to najviše 20% od ukupnog obima emisije, odnosno obima aukcije kod reotvaranja emisije;

3) u proceduru utvrđivanja izvršne stope prinosa uvode se samo konkurentni nalozi;

4) konkurentni nalozi se rangiraju u skladu sa visinom ponuđene izvršne stope prinosa ili fiksne margine, počevši od najniže ka najvišoj.

Član 28

U postupku rangiranja naloga iz člana 25. ove uredbe, a imajući u vidu broj komada državnih hartija koje se emituju, ponuđene stope prinosa i broj komada državnih hartija koji sadrže ispostavljeni nalozi, utvrđuje se izvršna stopa prinosa državnih hartija, kada se aukcija državnih hartija vrši po jedinstvenoj ceni.

Ministar ili lice koje on ovlasti utvrđuje izvršnu stopu prinosa po kojoj će se realizovati nalozi za kupovinu iz člana 25. ove uredbe.

U slučaju više naloga kupovine sa istom izvršnom stopom, ministar ili lice koje on ovlasti može da, uz utvrđenu izvršnu stopu prinosa, utvrdi i obim državnih hartija po kojem će se izvršiti realizacija, a koji nije veći od obima aukcije. U navedenom slučaju, u postupku prihvatanja ispostavljenih naloga vrši se raspodela srazmerno učešću vrednosti svakog pojedinačnog ispostavljenog naloga u ukupnoj vrednosti ispostavljenih naloga sa istom stopom prinosa do utvrđenog obima. U slučaju postojanja ostatka nakon srazmerne raspodele među nalozima sa istom stopom prinosa, isti će biti dodeljen najvećem ispostavljenom nalogu od naloga među kojima se vrši raspodela. U slučaju da ima dva ili više jednakih naloga koji su najveći i koji učestvuju u raspodeli, ostatak će biti dodeljen nalogu koji je prvi ispostavljen putem aukcijske platforme.

Svi ispostavljeni nalozi za kupovinu koji sadrže stopu višu od izvršne stope prinosa iz stava 2. ovog člana, odbacuju se.

Član 29

Aukcija državnih hartija vrši se po jedinstvenoj ili višestrukoj ceni u skladu sa pojedinačnim aktom o emisiji državnih hartija.

Kada se aukcija državnih hartija vrši po jedinstvenoj ceni, svi prihvaćeni nalozi se izvršavaju po istoj stopi prinosa, tj. po prihvaćenoj izvršnoj stopi prinosa ili fiksnoj margini.

U slučaju kad se aukcija državnih hartija vrši po višestrukoj ceni, svaki prihvaćeni nalog se izvršava po ponuđenoj stopi prinosa do iznosa obima emisije koja se nalazi na aukciji predviđenoj za konkurentne naloge ili manjeg iznosa po odluci ministra ili lica koje on ovlasti.

U slučaju kad se aukcija državnih hartija vrši po višestrukoj ceni, ovlašćeni učesnici ne mogu učestvovati sa nekonkurentnim ponudama.

Član 30

U postupku prihvatanja ispostavljenih naloga primenjuje se princip visine ponuđene stope prinosa, odnosno prednost imaju oni ponuđači koji su ponudili niže stope prinosa.

Ukoliko dve ili više ponuda sadrže istu stopu prinosa koja je jednaka izvršnoj stopi prinosa, odnosno najvišoj prihvaćenoj stopi prinosa ako se aukcija vrši po višestrukoj ceni, a ukupan obim ponuda po stopama nižim ili jednakim izvršnoj stopi prinosa, odnosno najvišoj prihvaćenoj stopi prinosa prelazi obim emisije, u postupku prihvatanja ispostavljenih naloga vrši se raspodela preostalog dela emisije srazmerno učešću vrednosti svakog pojedinačnog ispostavljenog naloga u ukupnoj vrednosti ispostavljenih naloga sa istom stopom prinosa. U slučaju postojanja ostatka nakon srazmerne raspodele među nalozima sa istom stopom prinosa, isti će biti dodeljen najvećem ispostavljenom nalogu od naloga među kojima se vrši raspodela preostalog dela aukcije. U slučaju da ima dva ili više jednakih naloga koji su najveći i koji učestvuju u raspodeli, ostatak će biti dodeljen nalogu koji je prvi ispostavljen putem aukcijske platforme.

Ukoliko je tražena količina nekonkurentnih naloga veća od 20% od ukupnog obima emisije, odnosno obima aukcije kod reotvaranja emisije, raspoređivanje rezervisanog iznosa vrši se srazmerno učešću vrednosti svakog pojedinačnog nekonkurentnog naloga u ukupnoj vrednosti podnetih nekonkurentnih naloga.

Ukoliko je tražena količina nekonkurentnih naloga manja od 20% od ukupnog obima emisije, odnosno obima aukcije kod reotvaranja emisije, svi nekonkurentni nalozi se u celosti realizuju, a preostali iznos se pridružuje iznosu predviđenom za konkurentne naloge.

Nekonkurentni nalozi se realizuju po izvršnoj stopi prinosa.

Istovetan postupak prihvatanja ispostavljenih naloga se primenjuje i kod državnih hartija koje se realizuju po fiksnoj margini.

Član 31

Transakcija je zaključena u trenutku kada je pojedinačni nalog ispostavljen preko aukcijske platforme u skladu sa ovom uredbom realizovan u celosti ili delimično.

Za sve transakcije zaključene preko aukcijske platforme izrađuje se zaključnica u elektronskoj formi koja se dostavlja Centralnom registru i ovlašćenom učesniku koji je transakciju zaključio.

Sve transakcije zaključene preko aukcijske platforme smatraju se konačnim.

Član 32

U postupku kliringa i saldiranja transakcija zaključenih preko aukcijske platforme, ovlašćeni učesnik je dužan da u svemu postupa u skladu sa zakonom i aktima Centralnog registra.

Ukoliko dođe do prestanka rada telekomunikacionih linija, Uprava za javni dug može odlučiti da kriptovani elektronski fajl u xml formatu pošalje Centralnom registru elektronskom poštom ili na drugi način.

U slučaju da za pojedine zaključnice nisu ispunjeni uslovi za kliring i saldiranje, direktor Uprave za javni dug donosi odluku o rešavanju tog problema.

Član 33

Po dobijanju obaveštenja o prihvatanju ponude ovlašćeni učesnik na aukciji obavezan je da izvrši uplatu ukupne prodajne vrednosti ponude na svoj novčani račun kod Centralnog registra, u skladu sa terminskim planom sprovođenja aukcije državnih hartija i Terminskim planom rada Centralnog registra.

Član 34

Uprava za javni dug objavljuje izveštaj o rezultatima aukcije na internet stranici ministarstva nadležnog za poslove finansija, Uprave za javni dug i putem aukcijske platforme.

Izveštaj iz stava 1. ovog člana naročito sadrži podatke o: obimu emitovanih državnih hartija od vrednosti, izvršnoj stopi prinosa ostvarenoj na aukciji i racio realizacije ukupnog iznosa emisije, odnosno obima aukcije kod reotvaranja.

Član 35

Ministarstvo nadležno za poslove finansija, Uprava za javni dug i Centralni registar ne odgovaraju za štetu nastalu ovlašćenim učesnicima ili primarnim dilerima, njihovim klijentima ili trećim licima, izuzev ukoliko je ista prouzrokovana krajnjom nepažnjom ili je namerno prouzrokovana greškom od strane zaposlenog u Upravi za javni dug ili Centralnom registru.

Centralni registar i Uprava za javni dug ne odgovaraju za:

1) nemogućnost delimičnog ili potpunog korišćenja aukcijske platforme, usled prestanka rada telekomunikacionih linija ili kvara na lokaciji lica ovlašćenog za trgovanje nastalog iz razloga više sile ili zbog greške, odnosno nepravilnog rukovanja opremom od strane lica ovlašćenog za trgovanje;

2) nepravilnost u radu sistemskog softvera i hardvera na lokaciji ovlašćenih učesnika, za koju je odgovornost regulisana ugovorom između učesnika i isporučioca opreme;

3) nepravilnu ili nepotpunu obradu ili prenos podataka;

4) greške ovlašćenog učesnika tokom korišćenja aukcijske platforme ili izmene na konekciji do aukcijske platforme;

5) greške u procedurama koje se koriste za omogućavanje normalnog funkcionisanja sistema u vanrednim situacijama koje obuhvataju razloge više sile;

6) druge probleme, greške ili nepravilnosti u trgovanju preko aukcijske platforme, a koji su uzrokovani radnjama trećih lica, neočekivanim okolnostima ili događajima na koje Centralni registar i Uprava za javni dug nisu mogli uticati, odnosno koji su van kontrole Centralnog registra i Uprave za javni dug.

Član 36

Ovlašćeni učesnik je u potpunosti odgovoran za ispravnost podataka unetih sa klijentskih radnih stanica u aukcijsku platformu.

Član 37

Ovlašćeni učesnik dužan je da:

1) proveri ispravnost svog pristupa svim funkcionalnostima aukcijske platforme;

2) nakon otkrivanja problema u pristupu aukcijskoj platformi o tome bez odlaganja obavesti Upravu za javni dug.

U slučaju nastanka problema za vreme održavanja aukcije, otkrivenog od strane Centralnog registra ili Uprave za javni dug, odnosno od strane bilo kog ovlašćenog učesnika, direktor Uprave za javni dug može da odluči sledeće:

1) da produži period za primanje ponuda;

2) da izda nalog Centralnom registru za hitno otklanjanje problema;

3) da u slučaju neotklanjanja problema na dan emisije omogući izvođenje aukcije državnih hartija narednog dana.

U slučaju da se problemi u radu aukcijske platforme ne otklone ni narednog dana od dana emisije, aukcija će se sprovesti putem direktne predaje ponuda Upravi za javni dug.

Uprava za javni dug može odlučiti o produženju vremena za primanje ponuda ukoliko ovlašćeni učesnik utvrdi problem u pristupu aukcijskoj platformi i o tome najmanje 15 minuta pre isteka vremena za primanje ponuda obavesti Upravu za javni dug.

O produženju vremena za primanje ponuda Uprava za javni dug je dužna da obavesti sve ovlašćene učesnike.

Ukoliko se uspešno okončanje aukcije državnih hartija ne može osigurati produženjem vremena za podnošenje ponuda, direktor Uprave za javni dug može odlučiti da se aukcija izvede putem direktne predaje ponuda. U tom slučaju ovlašćeni učesnici mogu svoje ponude doneti u Upravu za javni dug, ili ih poslati putem faksa ili elektronskom poštom. Uprava za javni dug je dužna da o ovoj odluci obavesti sve učesnike.

U slučaju kada jedan ili nekoliko ovlašćenih učesnika nije u mogućnosti da unese ponudu u aukcijsku platformu, onda Uprava za javni dug na osnovu dopisa ovlašćenog učesnika može uneti nalog u aukcijsku platformu, pri čemu ovlašćeni učesnik zadržava svu materijalnu i krivičnu odgovornost.

Ukoliko se uspešan završetak aukcije ne može osigurati na način iz st. 3. i 4. ovog člana, Uprava za javni dug može odložiti aukciju za neki drugi radni dan, o čemu obaveštava blagovremeno sve ovlašćene učesnike i Centralni registar.

IV DIREKTNA POGODBA

Član 38

Izuzetno, Vlada može odlučiti da državne hartije proda kvalifikovanim investitorima domaćim ili stranim, u zemlji ili inostranstvu. U slučaju prodaje državnih hartija direktnom pogodbom sa kvalifikovanim investitorom, transakcija će se izvršiti u skladu sa aktom o emisiji, kojim će se bliže definisati uslovi direktne pogodbe. Kvalifikovani investitor se bliže uređuje Zakonom o tržištu kapitala.

Uprava za javni dug će objaviti podatke o izvršenoj transakciji iz stava 1. ovog člana na svojoj internet stranici.

V OTKUP DRŽAVNIH HARTIJA PRE ROKA DOSPEĆA

Član 39

Uprava za javni dug može vršiti otkup državnih hartija pre roka njihovog dospeća, a u skladu sa aktom o emitovanju državnih hartija kojom mora biti predviđena mogućnost prevremenog otkupa.

Otkup državnih hartija pre roka dospeća vrši se putem aukcija organizovanih od strane Uprave za javni dug na aukcijskoj platformi.

Ovlašćeni učesnici učestvuju na aukcijama državnih hartija za otkup pre roka dospeća samo sa konkurentnim ponudama, podnošenjem propisanih naloga za trgovanje.

Predmet otkupa državnih hartija iz stava 2. ovog člana ne mogu biti založene državne hartije, kao ni one državne hartije na kojima postoji upisana zabrana raspolaganja u skladu sa zakonom.

Ministar ili lice koje on ovlasti odlučuje o otkupu državnih hartija iz stava 1. ovog člana, izuzetno po prethodno pribavljenoj saglasnosti Vlade u slučaju da se radi o operacijama vezanim za državne hartije, koje su emitovane po posebnom programu van aukcijske platforme.

U slučaju iz stava 5. ovog člana objavljuje se otkupni okvir.

Uprava za javni dug objavljuje javni poziv za otkup državnih hartija iz stava 1. ovog člana na internet stranici Uprave za javni dug i putem aukcijske platforme, tri radna dana pre dana aukcije.

Javni poziv iz stava 7. ovog člana sadrži:

1) osnovne elemente emisije koja se otkupljuje: naziv emitenta, ISIN - Tiker (CFI), vrednost emisije koja se otkupljuje, valuta, godišnja kuponska stopa;

2) osnovne elemente aukcije: vrsta aukcije, otkupljivač, obim otkupa, datum otkupa, datum saldiranja, metod aukcije, vrsta cene;

3) vremenski okvir prevremenog otkupa.

Uprava za javni dug može vršiti otkup državnih hartija, koje su emitovane direktnom pogodbom sa kvalifikovanim investitorom iz zemlje i inostranstva, pre roka njihovog dospeća nakon dobijanja odobrenja Vlade.

U slučaju da emitent državnih hartija dođe u posed cele emisije ili dela emisije državnih hartija pre roka dospeća, može se doneti odluka o poništenju cele ili dela emisije državnih hartija.

Vlada može odlučiti da se poništi cela ili deo emisije državnih hartija od vrednosti ili da se ide u ponovnu prodaju na tržištu tih državnih hartija od vrednosti.

Odluka o poništenju cele emisije ili dela emisije državnih hartija od vrednosti dostavlja se Centralnom registru na postupanje.

Postupak kliringa i saldiranja po osnovu otkupa pre roka dospeća vrši Centralni registar i/ili strano pravno lice koje obavlja poslove kliringa i saldiranja.

Član 39a

Sporazumom zaključenim između Uprave za javni dug i Centralnog registra bliže se regulišu postupanja, obaveze i odgovornosti, kao i naknade troškova u vezi sa realizacijom aukcija državnih hartija na aukcijskoj platformi.

Član 40

Ovlašćeni učesnik podnosi nalog za prodaju državnih hartija koje su predmet otkupa pre roka dospeća preko aukcijske platforme, a koji sadrži:

1) identifikacionu oznaku naloga (ID naloga);

2) ponuđenu količinu (broj komada državnih hartija za koje ovlašćeni učesnik dostavlja nalog za prodaju, a koje su predmet prevremenog otkupa);

3) stopu po kojoj ovlašćeni učesnik namerava da proda državne hartije koje su predmet prevremenog otkupa;

4) proviziju ovlašćenog učesnika;

5) diskontovanu cenu, diskontovanu vrednost ponude, nominalnu vrednost ponude;

6) tip identifikacije (domaće pravno lice, domaće fizičko lice, strano pravno lice, strano fizičko lice, domaći kastodi račun, odnosno zbirni, strani kastodi račun, odnosno zbirni);

7) matični broj klijenta;

8) nalogodavca (naziv klijenta);

9) tip računa (vrsta računa hartija od vrednosti);

10) šifru i naziv člana kod kojeg klijent ima račun hartija od vrednosti;

11) šifru i naziv člana kod kojeg klijent ima račun novca.

Rangiranje podnetih naloga iz stava 1. ovog člana vrši se počev od naloga koji sadrži najvišu stopu do naloga koji sadrži najnižu stopu.

U postupku rangiranja naloga, a imajući u vidu broj komada državnih hartija koje se otkupljuju, ponuđene stope prinosa i broj komada državnih hartija koji sadrže ispostavljeni nalozi, utvrđuje se izvršna stopa prinosa državnih hartija.

Ministar ili lice koje on ovlasti utvrđuje izvršnu stopu prinosa po kojoj će se realizovati nalozi za prodaju.

U slučaju više naloga prodaje sa istom izvršnom stopom, ministar ili lice koje on ovlasti može da, uz utvrđenu izvršnu stopu prinosa, utvrdi i obim državnih hartija po kojem će se izvršiti realizacija, a koji nije veći od ukupnog obima otkupa. U navedenom slučaju, u postupku prihvatanja ispostavljenih naloga vrši se raspodela srazmerno učešću vrednosti svakog pojedinačnog ispostavljenog naloga u ukupnoj vrednosti ispostavljenih naloga sa istom stopom prinosa do utvrđenog obima. U slučaju postojanja ostatka nakon srazmerne raspodele među nalozima sa istom stopom prinosa, isti će biti dodeljen najvećem ispostavljenom nalogu od naloga među kojima se vrši raspodela. U slučaju da ima dva ili više jednakih naloga koji su najveći i koji učestvuju u raspodeli, ostatak će biti dodeljen nalogu koji je prvi ispostavljen putem aukcijske platforme.

Svi ispostavljeni nalozi za prodaju koji sadrže stopu nižu od izvršne stope prinosa iz stava 4. ovog člana, odbacuju se.

Nakon sprovedenog postupka rangiranja podnetih naloga shodno se primenjuju čl. 31. i 32. ove uredbe.

VA ŠTEDNE OBVEZNICE

Član 40a

Investitor u štedne obveznice može biti samo domaće punoletno fizičko lice.

Član 40b

Štedne obveznice su denominovane u dinarima i evrima.

Nominalna vrednost štedne obveznice denominovane u dinarima iznosi 2.000 dinara.

Nominalna vrednost štedne obveznice denominovane u evrima iznosi 100 evra.

Jedan investitor u štedne obveznice može imati najviše 5000 komada štednih obveznica po jednoj emisiji štednih obveznica denominovanih u dinarima, odnosno 500 komada štednih obveznica po jednoj emisiji štednih obveznica denominovanih u evrima.

Podela štednih obveznica vrši se po načelu prioriteta - prioritet u podeli štednih obveznica imaju investitori koji se prvi prijave za kupovinu.

Štedne obveznice se prodaju po nominalnoj vrednosti i imaju kupon koji se isplaćuje jednom godišnje.

Član 40v

Uplata štednih obveznica vrši se kod Banke Poštanska štedionica a.d. Beograd (u daljem tekstu: Poštanska štedionica), člana Centralnog registra.

Sve naknade za upis, uplatu, otvaranje vlasničkog računa finansijskih instrumenata, isplate kupona i glavnice po osnovu štednih obveznica koje ima Poštanska štedionica i Centralni registar po osnovu štednih obveznica plaća Uprava za javni dug i one ne mogu biti veće od 0,65% od nominalne vrednosti emisije štednih obveznica, a što se bliže određuje sporazumom (ugovorom) zaključenim između Uprave za javni dug, Poštanske štedionice i Centralnog registra.

Sporazumom (ugovorom) iz stava 2. ovog člana reguliše se i postupak uplate, upisa, isplate, kao i druga pitanja u vezi sa kupovinom štednih obveznica.

Prilikom uplate štednih obveznica kod Poštanske štedionice investitoru se izdaje Potvrda o uplati štednih obveznica Republike Srbije, koja je odštampana uz ovu uredbu i čini njen sastavni deo.

Član 40g

Ministarstvo finansija i Uprava za javni dug objavljuju javni poziv za upis i uplatu štednih obveznica na svojim internet stranicama.

Javni poziv iz stava 1. ovog člana obavezno sadrži sledeće podatke:

1) obim emisije, datum emisije, datum upisa u Centralni registar, datum dospeća štednih obveznica, u skladu sa aktom o emisiji štednih obveznica;

2) nominalnu vrednost jedne štedne obveznice;

3) kuponsku stopu i datume isplate kupona;

4) trajanje pristupnog perioda, u kome su zainteresovani investitori u štedne obveznice obavezni da uplate novčana sredstva na račun Republike Srbije kod Poštanske štedionice;

5) trajanje perioda u kome nije moguće ostvariti prevremenu isplatu;

6) kamatnu stopu koja se primenjuje ukoliko dođe do prevremene isplate.

Postupak upisa štednih obveznica na vlasničke račune finansijskih instrumenata lica koja su kupila štedne obveznice vrši Centralni registar.

Član 40d

Investitor u štedne obveznice podnosi nalog za kupovinu štednih obveznica u pristupnom periodu. Novčana sredstva za kupovinu štednih obveznica uplaćuju se istovremeno sa podnošenjem naloga za kupovinu.

Nije moguće povlačenje podnetog naloga za kupovinu štednih obveznica i uplaćenih novčanih sredstava.

Pristupni period ne može biti kraći od 15 dana od dana objave javnog poziva, a datum emisije ne može biti kasnije od 21 dana po završetku pristupnog perioda.

Investitor u štedne obveznice ne ostvaruje pravo na kamatu u pristupnom periodu i periodu do emisije štedne obveznice.

Nalog za kupovinu štednih obveznica podnosi se Poštanskoj štedionici na obrascu Nalog za kupovinu štednih obveznica Republike Srbije, koji je odštampan uz ovu uredbu i čini njen sastavni deo.

Sastavni deo Naloga za kupovinu štednih obveznica Republike Srbije čini Spisak ovlašćenih lica za raspolaganje štednim obveznicama Republike Srbije u slučaju sprečenosti usled teže bolesti, koji je odštampan uz ovu uredbu i čini njen sastavni deo.

Član 40đ

Prevremena isplata je opcija koja se može primeniti nakon isteka određenog perioda nakon upisa emisije štednih obveznica od strane Centralnog registra i zavisi od ročnosti štednih obveznica.

Zahtev za prevremenu isplatu podnosi se Poštanskoj štedionici na obrascu Zahtev za prevremenu isplatu štednih obveznica Republike Srbije, koji je odštampan uz ovu uredbu i čini njen sastavni deo.

Izuzetno od stava 1. ovog člana, prevremena isplata je moguća i u roku kraćem od perioda u kome se ne može vršiti prevremena isplata u slučaju teže bolesti investitora u štedne obveznice ili nekog od njegovih članova uže porodice.

Zahtev za prevremenu isplatu u slučaju teže bolesti podnosi se Poštanskoj štedionici na obrascu Zahtev za prevremenu isplatu štednih obveznica Republike Srbije u slučaju teže bolesti, koji je odštampan uz ovu uredbu i čini njen sastavni deo. Uz ovaj zahtev dostavlja se i adekvatna lekarska dokumentacija kojom se dokazuje slučaj teže bolesti.

Pod težim bolestima smatraju se bolesti navedene u Listi težih bolesti koja čini sastavni deo obrasca Zahtev za prevremenu isplatu štednih obveznica Republike Srbije u slučaju teže bolesti.

Član 40e

Naknada za prevremenu isplatu izračunava se po sledećoj formuli:

pri čemu je:

NPI - naknada za prevremenu isplatu

N - nominalna vrednost

n - broj isplaćenih kupona

pk - godišnja kuponska stopa

pn - godišnja kuponska stopa za period od datuma emitovanja do datuma prevremene isplate

d - broj dana od datuma poslednje isplate kupona do datuma prevremene isplate.

Obračun dana vrši se primenom metode 30/360.

Godišnja kuponska stopa za period od datuma emitovanja do datuma prevremene isplate koja se primenjuje određuje se aktom o emisiji štedne obveznice i uvek je niža od kuponske stope štedne obveznice koja se prevremeno isplaćuje.

Prilikom prevremene isplate investitoru u štedne obveznice isplaćuje se iznos uložen u štedne obveznice (nominalna vrednost štednih obveznica) umanjen za naknadu za prevremenu isplatu.

Ukoliko se prevremena isplata izvrši u toku kuponskog perioda, investitor u štedne obveznice ostvaruje pravo na kamatu u periodu od datuma poslednje isplate kupona do datuma prevremene isplate.

Odluku o prevremenoj isplati donosi ministar na predlog Komisije za prevremenu isplatu koju obrazuje direktor Uprave za javni dug. Komisija za prevremenu isplatu ima najmanje pet članova i svi članovi moraju biti zaposleni u Upravi za javni dug.

Ispis i isplatu štednih obveznica vrši Centralni registar na osnovu odluke o prevremenoj isplati iz stava 6. ovog člana.

Član 40ž

Štednim obveznicama se ne može trgovati na sekundarnom tržištu.

Zahtev za promenu ličnih podataka, vrši se na obrascu Zahtev za promenu ličnih podataka investitora u štedne obveznice Republike Srbije, koji je odštampan uz ovu uredbu i čini njen sastavni deo.

VI PRELAZNE I ZAVRŠNE ODREDBE

Član 41

Danom početka primene ove uredbe prestaje da važi Uredba o opštim uslovima za emisiju i prodaju državnih hartija od vrednosti na primarnom tržištu ("Službeni glasnik RS", br. 71/05 i 6/09 - dr. uredba) i Uredba o opštim uslovima za emisiju i prodaju kratkoročnih državnih hartija od vrednosti na primarnom tržištu ("Službeni glasnik RS", br. 6/09, 8/09 - ispravka, 32/10 i 78/11).

Pravna lica koja su stekla status ovlašćenog učesnika do dana početka primene ove uredbe zadržavaju taj status, ukoliko ispunjavaju uslove za ovlašćenog učesnika u skladu sa ovom uredbom.

Prijave za sticanje statusa ovlašćenog učesnika podnete do dana početka primene ove uredbe razmatraće se po propisima koji su važili do dana početka primene ove uredbe.

Podzakonski akt iz člana 10. stav 1. ove uredbe doneće se u roku od 60 dana od dana početka primene ove uredbe.

Protokol o saradnji iz člana 18. stav 4. ove uredbe zaključiće se u roku od 60 dana od dana početka primene ove uredbe.

Član 42

Ova uredba stupa na snagu osmog dana od dana objavljivanja u "Službenom glasniku Republike Srbije", a primenjivaće se od 1. oktobra 2014. godine.

 

Samostalni članovi Uredbe o izmenama i dopunama
Uredbe o opštim uslovima za emisiju i prodaju državnih hartija od vrednosti na primarnom tržištu

("Sl. glasnik RS", br. 78/2017)

Član 4

Obrasci: Nalog za kupovinu štednih obveznica Republike Srbije, Spisak ovlašćenih lica za raspolaganje štednim obveznicama Republike Srbije u slučaju sprečenosti usled teže bolesti, Potvrda o uplati štednih obveznica Republike Srbije, Zahtev za prevremenu isplatu štednih obveznica Republike Srbije u slučaju teže bolesti, Zahtev za prevremenu isplatu štednih obveznica Republike Srbije i Zahtev za promenu ličnih podataka investitora u štedne obveznice Republike Srbije iz člana 3. ove uredbe, odštampani su uz ovu uredbu i čine njen sastavni deo.

Član 5

Ova uredba stupa na snagu osmog dana od dana objavljivanja u "Službenom glasniku Republike Srbije".

 

Samostalni član Uredbe o izmenama i dopunama
Uredbe o opštim uslovima za emisiju i prodaju državnih hartija od vrednosti na primarnom tržištu

("Sl. glasnik RS", br. 140/2020)

Član 5

Ova uredba stupa na snagu narednog dana od dana objavljivanja u "Službenom glasniku Republike Srbije".

 

Samostalni član Uredbe o izmenama i dopunama
Uredbe o opštim uslovima za emisiju i prodaju državnih hartija od vrednosti na primarnom tržištu

("Sl. glasnik RS", br. 59/2022)

Član 6

Ova uredba stupa na snagu osmog dana od dana objavljivanja u "Službenom glasniku Republike Srbijeˮ.

 

Samostalni član Uredbe o izmenama i dopunama
Uredbe o opštim uslovima za emisiju i prodaju državnih hartija od vrednosti na primarnom tržištu

("Sl. glasnik RS", br. 83/2023)

Član 28

Ova uredba stupa na snagu osmog dana od dana objavljivanja u "Službenom glasniku Republike Srbije", a primenjuje se od 1. novembra 2023. godine.

 

PRIJAVA
ZA UČEŠĆE NA AUKCIJAMA DRŽAVNIH HARTIJA OD VREDNOSTI POSREDSTVOM AUKCIJSKE PLATFORME

1. Podaci o podnosiocu prijave

Naziv pravnog lica:

 

Zemlja - domicil:

 

Sedište (mesto):

 

Adresa:

 

Broj i datum rešenja o upisu u nadležni registar:

 

Broj i datum rešenja Komisije za hartije od vrednosti:

 

Matični broj:

 

PIB:

 

Delatnosti iz člana 2. stav 1. tačka 2) Zakona o tržištu kapitala:

 

Brojevi tekućih računa i nazivi banaka kod kojih su računi otvoreni:

 

Telefon:

 

Faks:

 

E-mail adresa:

 

2. Podaci o kapitalu podnosioca prijave

Visina kapitala utvrđena u skladu sa odredbama Zakona o tržištu kapitala

 

Akcionari

 

3. Podaci o ovlašćenim licima koja će zaključivati poslove na aukcijskoj platformi sa obimom ovlašćenja

1. Ime i prezime:

 

2. Ime i prezime:

 

JMBG:

 

JMBG:

 

Obim ovlašćenja ovlašćenog lica

 

Obim ovlašćenja ovlašćenog lica

 

 

SPISAK DOKUMENTACIJE KOJA SE PODNOSI UZ PRIJAVU

Podnosilac prijave izjavljuje da je uz predmetnu prijavu podneo kompletnu i potpunu dokumentaciju u skladu sa čl. 6-12. Uredbe o opštim uslovima za emisiju i prodaju državnih hartija od vrednosti na primarnom tržištu, a prema spisku u nastavku, koji je sastavni deo ove prijave.

_________________

 

_____________________

Mesto i datum

 

Potpis ovlašćenog lica

Prilog - Spisak dokumentacije i dokaza koji se podnose uz prijavu:

1)

 

2)

 

3)

 

4)

 

5)

 

6)

 

7)

 

8)

 

9)

 

10)

 

11)

 

12)

 

13)

 

14)

 

15)

 

16)

 

17)

 

18)

 

 

 

 

NALOG ZA KUPOVINU ŠTEDNIH OBVEZNICA REPUBLIKE SRBIJE*

Da li ste vlasnik postojećih štednih obveznica Republike Srbije?

Da

Ne

Broj investitora**:

 

1. Osnovni elementi

Zaokružite ročnost štednih obveznica Republike Srbije:

Dve
godine

Tri
godine

Pet
godina

Deset
godina

Zaokružite valutu štednih obveznica Republike Srbije:

DINAR

EVRO

Datum emisije i dospeća štednih obveznica Republike Srbije**:

 

 

Kuponska stopa**:

 

Navedite broj štednih obveznica Republike Srbije:

Broj:

 

Slovima:

2. Lični podaci (potrebno je dostaviti kopiju lične karte)

Ime i prezime:

 

JMBG:

 

Broj lične karte:

 

3. Kontakt podaci

Adresa:

 

Poštanski broj i mesto:

 

Telefon:

 

E-mail adresa:

 

4. Podaci za tekući račun

Broj tekućeg računa investitora:

 

5. Saglasnost

Popunjavanjem i potpisivanjem prijave pristajem na uslove iz prijave. Potvrđujem da sam pročitao i razumeo uslove za kupovinu, definisane čl. 40a, 40b, 40v, 40g, 40d, 40đ, 40e i 40ž Uredbe o opštim uslovima za emisiju i prodaju državnih hartija od vrednosti na primarnom tržištu ("Službeni glasnik RS", br. 104/14 i 78/17).

Potpis investitora:

 

*Za svaku pojedinačnu ročnost popunjava se po jedan nalog

**Popunjava Banka Poštanska štedionica a.d. Beograd

 

 

 

_________________________________

 

 

Datum i vreme prijema naloga

 

M.P.

 

 

 

_________________________________

 

 

(Potpis zaposlenog/odgovornog lica ekspoziture)

 

 

Banka Poštanska štedionica a.d. Beograd

 

 

 

SPISAK OVLAŠĆENIH LICA ZA RASPOLAGANJE ŠTEDNIM OBVEZNICAMA REPUBLIKE SRBIJE U SLUČAJU SPREČENOSTI USLED TEŽE BOLESTI

1. Podaci o investitoru u štedne obveznice Republike Srbije

Ime i prezime:

 

JMBG:

 

Broj lične karte:

 

Broj investitora*:

 

2. Spisak ovlašćenih lica za raspolaganje štednim obveznicama Republike Srbije (samo fizička lica)

1.

Ime i prezime:

 

 

JMBG:

 

Adresa i mesto:

 

Poštanski broj:

 

Telefon:

 

Srodstvo sa investitorom u štedne obveznice Republike Srbije:

 

2.

Ime i prezime:

 

 

JMBG:

 

Adresa i mesto:

 

Poštanski broj:

 

Telefon:

 

Srodstvo sa investitorom u štedne obveznice Republike Srbije:

 

3.

Ime i prezime:

 

 

JMBG:

 

Adresa i mesto:

 

Poštanski broj:

 

Telefon:

 

Srodstvo sa investitorom u štedne obveznice Republike Srbije:

 

4.

Ime i prezime:

 

 

JMBG:

 

Adresa:

 

Poštanski broj:

 

Telefon:

 

Srodstvo sa investitorom u štedne obveznice Republike Srbije:

 

5.

Ime i prezime:

 

 

JMBG:

 

Adresa i mesto:

 

Poštanski broj:

 

Telefon:

 

Srodstvo sa investitorom u štedne obveznice Republike Srbije:

 

 

Potpis investitora:

 

*Popunjava Banka Poštanska štedionica a.d. Beograd

 

 

_________________________________

 

 

Datum i vreme prijema

 

M.P.

 

 

 

_________________________________

 

 

(Potpis zaposlenog/odgovornog lica ekspoziture)

 

 

Banka Poštanska štedionica a.d. Beograd

 

 

 

POTVRDA
O UPLATI ZA ŠTEDNE OBVEZNICE REPUBLIKE SRBIJE*

1. Osnovni elementi

Ročnost štednih obveznica Republike Srbije:

Dve godine

Tri godine

Pet godina

Deset godina

Valuta štednih obveznica Republike Srbije:

DINAR

EVRO

Datum emisije i dospeća štednih obveznica Republike Srbije:

 

 

Kuponska stopa:

 

Broj štednih obveznica Republike Srbije:

Broj:

Slovima:

Ukupno uplaćen iznos:

Broj:

Slovima:

2. Lični podaci investitora

Ime i prezime:

 

JMBG:

 

Broj lične karte:

 

Broj investitora:

 

Potpis investitora:

 

3. Pečat i potpis ovlašćenog lica Banke Poštanske štedionice a.d.

Potpis:

Datum:

*Za svaku pojedinačnu ročnost popunjava se po jedan nalog

 

 

ZAHTEV ZA PREVREMENU ISPLATU ŠTEDNIH OBVEZNICA REPUBLIKE SRBIJE U SLUČAJU TEŽE BOLESTI

1. Podaci o investitoru u štedne obveznice Republike Srbije

Ime i prezime:

 

JMBG:

 

Broj lične karte:

 

Broj investitora*:

 

Telefon:

 

2. Podaci o prevremenoj isplati štednih obveznica

ISIN štednih obveznica Republike Srbije*:

 

Zaokružite ročnost štednih obveznica Republike Srbije:

Dve godine

Tri godine

Pet godina

Deset godina

Zaokružite valutu štednih obveznica Republike Srbije:

DINAR

EVRO

Navedite datum emisije i dospeća štednih obveznica Republike Srbije*:

 

 

Kuponska stopa*:

 

Navedite broj štednih obveznica Republike Srbije za prevremenu isplatu:

Broj:

Slovima:

3. Podaci za tekući račun

Broj tekućeg računa investitora:

 

4. Podaci o težoj bolesti**

Ime i prezime obolelog:

 

Zaokružiti srodstvo:

Investitor

Član uže porodice

Naziv dijagnoze:

 

Priložen dokaz:

 

Potpis podnosioca:

 

*Popunjava Banka Poštanska štedionica a.d. Beograd

**LISTA TEŽIH BOLESTI

Maligni tumori, moždani udar, infarkt miokarda, transplantacija organa, koma, embolija pluća, bakterijski meningitis, encefalitis, paraliza/paraplegija, otkazivanje rada bubrega, benigni tumori mozga, hronično oboljenje jetre, hronično oboljenje pluća, teže posledice perforacije u gastrointestinalnom traktu, teža oboljenja žlezda sa unutrašnjim lučenjem (Adisonova bolest), slepilo, maligni tumor kože (Melanoma malignum), multipla skleroza, ankilozantni spondilitis (Bechterewa bolest), parkinsonova bolest, alchajmerova bolest, teže posledice sepse, inflamatorna bolest creva (Colitis ulcerosa i Morbus Chron), epilepsija, teža oboljenja žlezda sa unutrašnjim lučenjem (tireotoksična kriza, Kušingov sindrom i benigni feohromocitom), hronični venski ulkus i hronična venska insuficijencija.

 

 

_________________________________

 

 

Datum i vreme prijema zahteva

 

M.P.

 

 

 

_________________________________

 

 

(Potpis zaposlenog/odgovornog lica ekspoziture)

 

 

Banka Poštanska štedionica a.d. Beograd

 

 

 

ZAHTEV ZA PREVREMENU ISPLATU ŠTEDNIH OBVEZNICA REPUBLIKE SRBIJE

1. Podaci o investitoru u štedne obveznice Republike Srbije

Ime i prezime:

 

JMBG:

 

Broj lične karte:

 

Broj investitora*:

 

Telefon:

 

2. Podaci o prevremenoj isplati štednih obveznica Republike Srbije

ISIN štednih obveznica Republike Srbije*:

 

Zaokružite ročnost štednih obveznica Republike Srbije:

Dve godine

Tri godine

Pet godina

Deset godina

Zaokružite valutu štednih obveznica Republike Srbije:

DINAR

EVRO

Navedite datum emisije i dospeća štednih obveznica Republike Srbije*:

 

Kuponska stopa*:

 

Navedite broj štednih obveznica Republike Srbije za prevremenu isplatu:

Broj:

Slovima:

Broj tekućeg računa investitora:

 

Potpis investitora:

 

*Popunjava Banka Poštanska štedionica a.d. Beograd

 

 

_________________________________

 

 

Datum i vreme prijema zahteva

 

M.P.

 

 

 

_________________________________

 

 

(Potpis zaposlenog/odgovornog lica ekspoziture)

 

 

Banka Poštanska štedionica a.d. Beograd

 

 

 

ZAHTEV ZA PROMENU LIČNIH PODATAKA INVESTITORA U ŠTEDNE OBVEZNICE REPUBLIKE SRBIJE

1. Prethodni podaci o investitoru u štedne obveznice Republike Srbije

Ime i prezime:

 

JMBG:

 

Broj lične karte:

 

Adresa:

 

Broj investitora*:

 

Telefon:

 

Broj tekućeg računa:

 

2. Novi lični podaci investitora u štedne obveznice Republike Srbije

Ime i/ili prezime:

 

Broj lične karte:

 

Adresa:

 

Telefon:

 

Broj tekućeg računa:

 

Potpis investitora:

 

*Popunjava Banka Poštanska štedionica a.d. Beograd

 

 

_________________________________

 

 

Datum i vreme prijema zahteva

 

M.P.

 

 

 

_________________________________

 

 

(Potpis zaposlenog/odgovornog lica ekspoziture)

 

 

Banka Poštanska štedionica a.d. Beograd